7
7 Overbelast geheugen
De evolutie heeft de mens niet uitgerust met het vermogen om te voetballen. We kregen weliswaar benen om mee te schoppen, ellebogen om overtredingen mee te maken en monden om mee te vloeken, maar het enige wat we daarmee kunnen is misschien in ons eentje penalty’s oefenen. Om een wedstrijdje te doen met de vreemden die we op een willekeurige middag op het schoolplein aantreffen, moeten we niet alleen samenwerken met tien teamgenoten die ons misschien volslagen onbekend zijn, maar we moeten ook weten dat de elf spelers in het team tegenover ons voetballen volgens dezelfde regels. Andere dieren die aan geritualiseerde agressie met vreemden doen, doen dat grotendeels instinctief. Bij puppy’s over de hele wereld zitten de regels voor een potje stoeien ingebakken in hun genen. Maar menselijke tieners hebben geen voetbalgenen. Toch kunnen ze voetballen met totale vreemden, omdat ze allemaal dezelfde ideeën over voetbal hebben aangeleerd. Die ideeën zijn volkomen imaginair, maar als iedereen ze deelt, kunnen we allemaal voetballen.
Hetzelfde geldt op grotere schaal voor koninkrijken, kerken en handelsnetwerken, met één belangrijk verschil. De regels van het voetbal zijn relatief simpel en beknopt, net als de regels die nodig zijn om samen te werken in een groep verzamelaars of een klein dorp. Elke speler kan ze makkelijk kwijt in zijn geheugen en dan blijft er nog genoeg ruimte over voor liedjes, beelden en boodschappenlijstjes. Maar in grote samenwerkingssystemen waarbij niet tweeëntwintig, maar duizenden of zelfs miljoenen mensen betrokken zijn, moeten gigantische hoeveelheden informatie behandeld en opgeslagen worden, veel meer dan één stel menselijke hersenen kan bevatten en verwerken.
De grote gemeenschappen die we aantreffen bij sommige andere soorten, zoals mieren en bijen, zijn stabiel en veerkrachtig omdat de meeste informatie die ze voor hun voortbestaan nodig hebben ingebakken zit in hun genoom. Een vrouwelijke bijenlarve kan bijvoorbeeld opgroeien tot koningin of werkbij, afhankelijk van wat ze te eten krijgt. Het bijen-dna programmeert voor de gedragingen voor beide rollen, of het nu koninklijke etiquette of proletarische arbeid wordt. Bijenzwermen kunnen heel complexe structuren vormen met allerlei soorten werkbijen: nectarverzamelaars, verzorgsters en schoonmakers, bijvoorbeeld. Maar wetenschappers hebben nog steeds geen juristenbijen ontdekt. Bijen hebben geen juristen nodig, omdat er geen risico is dat ze zullen proberen de grondwet van de zwerm te omzeilen door schoonmaakbijen te beroven van hun recht op leven, vrijheid en het nastreven van geluk.
Maar mensen doen dat soort dingen de hele tijd. Omdat de sociale orde van de sapiens imaginair is, kunnen mensen de informatie die cruciaal is om die orde te runnen niet gewoon in stand houden door kopieën van hun dna te maken en die door te geven aan hun nageslacht. Er moet bewust moeite gedaan worden om wetten, gewoontes, procedures en manieren overeind te houden, anders zou de sociale orde razendsnel instorten. Koning Hammurabi verordonneerde bijvoorbeeld dat mensen zijn onderverdeeld in hooggeplaatste figuren, gewone mensen en slaven. Dat is geen natuurlijke verdeling, want er is geen spoor van terug te vinden in het menselijke genoom. Als de Babyloniërs deze ‘waarheid’ niet konden onthouden, zou hun maatschappij al snel niet meer functioneren. En toen Hammurabi zijn dna doorgaf aan zijn nageslacht, codeerde dat niet voor zijn decreet dat een hooggeplaatst man die een gewone vrouw doodde een boete van dertig zilveren sjekels kreeg. Hammurabi moest zijn zonen doelbewust instrueren over de wetten van zijn rijk, en zijn zonen en kleinzonen moesten hetzelfde doen.
Grote rijken genereren enorme hoeveelheden informatie. Naast wetten moet een groot rijk een administratie bijhouden van transacties en belastingen, inventarissen van militaire voorraden en koopvaardijschepen, en kalenders met feestdagen en overwinningen. Miljoenen jaren lang sloegen mensen informatie maar op één plek op: hun hersenen. Helaas zijn de menselijke hersenen geen goed opslagmedium voor databases op imperiumgrootte. Dat heeft drie belangrijke redenen.
Ten eerste is de capaciteit beperkt. Toegegeven, sommige mensen hebben een verbluffend goed geheugen en in oude tijden waren er geheugenprofessionals die de topografieën van complete landstreken in hun hoofd konden opslaan, en alle staatswetten bovendien. Toch is daar een grens aan, zelfs voor de grootste mnemonische genieën. Een jurist kan alle wetten van de staat Massachusetts uit zijn hoofd kennen, maar niet alle details van elke rechtshandeling die sinds de heksenprocessen in Salem tot nu heeft plaatsgevonden.
Ten tweede gaan mensen dood, en hun hersenen sterven mee. Alle informatie die iemand in zijn hoofd heeft zitten zal nog geen eeuw later uitgewist zijn. Het is natuurlijk mogelijk om herinneringen van het ene hoofd over te brengen op het andere, maar na een paar overdrachten raakt de informatie doorgaans vervormd of gaat deze verloren.
Het derde en belangrijkste punt is dat de menselijke hersenen zich hebben ontwikkeld om alleen bepaalde soorten informatie op te slaan en te verwerken. Om te overleven moesten de vroegere jager-verzamelaars de vorm, eigenschappen en gedragingen van duizenden planten- en dierensoorten uit hun hoofd kennen. Ze moesten onthouden dat een rimpelige gele paddenstoel die in de herfst onder een iep groeit hoogstwaarschijnlijk giftig was, terwijl een daar erg op lijkende zwam die ’s winters onder een eik werd aangetroffen een goed medicijn was voor buikpijn. Jager-verzamelaars moesten ook de meningen en onderlinge relaties van tientallen groepsleden in hun hoofd hebben. Als Lucy hulp nodig had om te zorgen dat John haar niet meer zou lastigvallen, was het belangrijk voor haar om te weten dat John een week eerder ruzie had gekregen met Mary, die daardoor waarschijnlijk een goede, enthousiaste bondgenoot zou zijn. Door deze evolutionaire noodzaak hebben de hersenen zich ontwikkeld om immense hoeveelheden botanische, zoölogische, topografische en sociale informatie op te kunnen slaan.
Maar toen de echt complexe samenlevingen opkwamen in het kielzog van de agrarische revolutie, werd ineens een compleet nieuw type informatie belangrijk, namelijk getallen. Verzamelaars hoefden nooit grote hoeveelheden rekenkundige gegevens te verwerken. Geen enkele verzamelaar hoefde bijvoorbeeld te onthouden hoeveel vruchten er aan elke boom in het bos hingen. De menselijke hersenen raakten dus niet aangepast aan het opslaan en verwerken van getallen. Maar voor het handhaven van een groot koninkrijk waren rekenkundige data van vitaal belang. Het volstond niet om alleen maar wetten uit te vaardigen en verhalen over beschermgoden te vertellen. Er moesten ook belastingen geïnd worden. Om bij honderdduizenden mensen belastingen te innen was het pure noodzaak om allerlei gegevens over die mensen te verzamelen: gegevens over hun inkomsten en bezittingen, over betalingen die voldaan waren, betalingsachterstanden, schulden en boetes, en over belastingkortingen en vrijstelling. Alles bij elkaar kwam dat neer op miljoenen gegevens die opgeslagen en verwerkt moesten worden. Anders kon de staat nooit weten hoeveel er in de schatkist zat en waarmee die schatkist verder gevuld kon worden. De meeste menselijke hersenen sloegen op tilt of vielen in slaap als ze geconfronteerd werden met de noodzaak om al die getallen op te slaan, te onthouden en te verwerken.
Deze mentale beperking was een stevige rem op de grootte en complexiteit van menselijke collectieven. Als het aantal mensen en bezittingen in een bepaalde samenleving een kritieke grens bereikte, werd het nodig om grote hoeveelheden rekenkundige gegevens op te slaan en verwerken. En omdat de menselijke hersenen deze taak niet aankonden, stortte het systeem in. Nog duizenden jaren na de agrarische revolutie bleven menselijke netwerken relatief klein en simpel.
De eersten die dit probleem overwonnen waren de oude Soemeriërs, die in het zuiden van Mesopotamië woonden. Daar brandde de zon volop op weelderige moddervlaktes, wat leidde tot overvloedige oogsten en welvarende stadjes. Toen het inwonertal groeide, groeide de hoeveelheid informatie die nodig was om de zaken van al die inwoners te coördineren mee. Tussen 3500 en 3000 v.Chr. vonden een paar onbekende Soemerische genieën een systeem uit waarmee ze informatie konden opslaan en verwerken buiten hun hersenen om, een systeem dat perfect was toegesneden op grote hoeveelheden cijfermatige data. De Soemeriërs bevrijdden hun sociale orde zo van de beperkingen van de menselijke hersenen en maakten de weg vrij voor het ontstaan van steden, koninkrijken en imperia. Het gegevensverwerkende systeem dat de Soemeriërs uitvonden noemen we ‘het schrift’.
Was getekend, Kushim
Het schrift is een methode om informatie op te slaan door middel van materiële tekens. Het Soemerische schrift deed dat door een combinatie van twee soorten tekens, die in kleitabletten werden gedrukt. De ene tekensoort stond voor getallen. Er waren tekens voor 1, 10, 60, 600, 3600 en 36.000. (De Soemeriërs gebruikten een combinatie van het zestallige en het tientallige getallenstelsel. Hun zestallige stelsel heeft ons een paar belangrijke erfenissen geleverd, zoals de verdeling van de dag in 24 uren en de verdeling van de cirkel in 360 graden.) De andere tekensoort stond voor mensen, dieren, handelswaar, gebieden, data, enzovoort. Door beide soorten tekens te combineren, konden de Soemeriërs veel meer gegevens vastleggen dan wiens hersenen dan ook konden bevatten of welke dna-streng dan ook kon coderen.
In dit vroege stadium werd het schrift alleen nog gebruikt voor het optekenen van feiten en cijfers. De grote Soemerische romanklassieker, als die er al is geweest, is nooit vastgelegd op kleitabletten. Schrijven was tijdrovend werk en het lezende publiek was klein, dus niemand zag er het nut van in om het te gebruiken voor iets anders dan het bijhouden van boekhoudingen. Wie op zoek gaat naar de eerste wijsheden van onze voorouders van vijfduizend jaar geleden, moet zich voorbereiden op een grote teleurstelling. De oudste boodschappen die onze voorouders ons hebben nagelaten luiden bijvoorbeeld als volgt: ‘29.086 maten gerst 37 maanden Kushim.’ De meest waarschijnlijke betekenis van deze zin is: ‘In de loop van 37 maanden is een totaal van 29.086 maten gerst ontvangen. Was getekend, Kushim.’ Helaas, de eerste teksten uit de geschiedenis bevatten geen filosofische inzichten, geen poëzie, legenden, wetten of zelfs maar koninklijke triomfen. Het zijn suffe economische documenten over belastingbetalingen, de cumulatie van schulden en het eigendomsrecht over bezittingen.


13. Kleitablet met een administratieve tekst uit de stad Uruk, ca. 3400-3000 v.Chr. Het tablet gaat zo te zien over een aantal van 29.086 maten gerst die in de loop van 37 maanden zijn ontvangen door Kushim. ‘Kushim’ kan een titelomschrijving zijn van een beambte, of misschien ook een eigennaam. Als Kushim inderdaad een persoon was, is hij misschien wel het eerste individu uit de geschiedenis wiens naam wij kennen! Alle namen uit de oudere geschiedenis – de neanderthalers, de Natufiërs, de grot van Chauvet, Göbekli Tepe – zijn moderne bedenksels. We hebben geen idee hoe de bouwers van Göbekli Tepe die plek noemden. Met de opkomst van het schrift beginnen we de geschiedenis te horen door de oren van de mensen die het allemaal meemaakten. Als Kushims buren hem riepen, riepen ze misschien wel echt: ‘Kushim!’ Het is veelzeggend dat de eerste vastgelegde naam in de geschiedenis toebehoort aan een boekhouder en niet aan een profeet, een dichter of een grote veroveraar.41
Er is maar één ander type tekst overgebleven uit deze oeroude tijden en die is nóg minder spannend: lijstjes met woorden die talloze malen zijn gekopieerd door klerken in opleiding, bij wijze van schrijfoefening. Al had een verveelde student een paar gedichten van eigen hand willen schrijven in plaats van een koopakte te kopiëren, dan nog had dat niet gekund. Het oudste Soemerische schrift was geen volledig schrift, maar een gedeeltelijk schrift. Een volledig schrift is een systeem van materiële tekens dat gesproken taal min of meer in zijn geheel kan weergeven. Hiermee kan dus alles uitgedrukt worden wat mensen kunnen zeggen, inclusief poëzie. Een gedeeltelijk schrift is daarentegen een systeem van materiële tekens dat alleen bepaalde soorten informatie kan weergeven, behorend tot een beperkt werkterrein. Het Latijnse schrift, de oude Egyptische hiërogliefen en braille zijn volledige schriftsystemen. Je kunt ze gebruiken om belastingregisters, liefdesgedichten, geschiedenisboeken, taartrecepten en wetboeken te schrijven. Maar het oudste Soemerische schrift is, net als moderne cijfertekens en muzieknoten, een gedeeltelijk schrift. Je kunt cijfertekens gebruiken om berekeningen te maken, maar je kunt er geen odes aan een geliefde mee schrijven.

Een gedeeltelijk schrift kan niet het hele spectrum van een gesproken taal weergeven, maar wel dingen uitdrukken die buiten het bestek van gesproken taal liggen. Gedeeltelijke schriftsystemen, zoals het Soemerische schrift en het cijferschrift, kunnen niet gebruikt worden om poëzie te schrijven, maar je kunt er heel effectief belastinggegevens mee bijhouden.
De Soemeriërs zaten er niet mee dat hun schrift ongeschikt was om poëzie mee te schrijven. Ze hadden het niet uitgevonden om gesproken taal mee te kopiëren, maar juist om dingen te doen die gesproken taal niet kon. Er waren culturen, bijvoorbeeld in de Andes voor de komst van Columbus, die nooit iets anders hebben gebruikt dan een onvolledig schrift; ze vonden de beperkingen van hun schrift geen enkel probleem en hadden geen behoefte aan een volledige versie. Dit Andesschrift verschilde sterk van het Soemerische. Het was zelfs zo anders dat veel mensen het niet eens een schrift zouden noemen. Het werd niet geschreven op kleitabletten of stukken papier, maar geknoopt op kleurrijke koordjes die quipu’s heetten. Een quipu bestond uit meerdere wollen of katoenen koordjes in verschillende kleuren. In elk koord werden op verschillende plekken knopen gelegd. Eén quipu kon honderden koordjes en duizenden knopen bevatten. Door combinaties van verschillende knopen in verschillende koorden in verschillende kleuren konden grote hoeveelheden rekenkundige gegevens vastgelegd worden over bijvoorbeeld belastinginning en eigendomsrechten.42
Honderden en misschien wel duizenden jaren lang waren quipu’s essentieel voor de economie van steden, koninkrijken en keizerrijken.43 Ze beleefden hun bloeitijd in het Incarijk, dat tien tot twaalf miljoen onderdanen had in het huidige Peru, Ecuador en Bolivia, plus delen van Chili, Argentinië en Colombia. Dankzij de quipu’s konden de Inca’s grote hoeveelheden gegevens bewaren en gebruiken. Zonder die informatie hadden ze nooit de complexe administratieve machinerie op gang kunnen houden die een rijk van zo’n omvang vergt.
Quipu’s waren zelfs zo effectief en accuraat dat de Spanjaarden in de eerste jaren na de Spaanse verovering van Zuid-Amerika ook quipu’s gebruikten om hun nieuwe rijk te besturen. Het probleem was alleen dat de Spanjaarden zelf niet wisten hoe ze quipu’s moesten maken en lezen, wat hen afhankelijk maakte van lokale vaklieden. De nieuwe heersers van het continent beseften dat ze hiermee in een heikele positie zaten, want de inheemse quipu-experts konden hun nieuwe bazen gemakkelijk misleiden en bedriegen. Zodra de heerschappij van Spanje wat steviger was gevestigd werden quipu’s dus gaandeweg afgeschaft en werden de gegevens van het nieuwe rijk alleen nog bijgehouden in Latijns schrift en cijfertekens. Heel weinig quipu’s hebben de Spaanse bezetting overleefd en de meeste die nog over zijn, zijn onontcijferbaar omdat de kunst van het quipu-lezen helaas verloren is gegaan.

14. Een twaalfde-eeuwse quipu uit de Andes.
De wonderen der bureaucratie
De Mesopotamiërs wilden op een gegeven moment toch meer dingen opschrijven dan alleen saaie numerieke gegevens. Tussen 3000 en 2500 v.Chr. werden er steeds meer tekens toegevoegd aan het Soemerische systeem, zodat het langzamerhand uitgroeide tot een volledig schrift dat we tegenwoordig het cuneïforme schrift of het spijkerschrift noemen. In 2500 v.Chr. gebruikten koningen het spijkerschrift om decreten uit te vaardigen; priesters gebruikten het om orakeluitspraken op te tekenen en minder verheven burgers schreven er persoonlijke brieven mee. Rond dezelfde tijd begonnen de Egyptenaren hun eigen volledige schrift te ontwikkelen, dat wij kennen als hiërogliefen. Andere volledige schriftsystemen werden ontwikkeld in het China van circa 1200 v.Chr. en het Midden-Amerika van 1000 tot 500 v.Chr.
Uit deze vroegste centra verspreidden de volledige schriftsystemen zich wijd en zijd en ze kregen verschillende nieuwe vormen en gebruiksmogelijkheden. Mensen begonnen poëzie, geschiedenisboeken, liefdesverhalen, drama’s, voorspellingen en kookboeken te schrijven. Maar de belangrijkste taak van het schrift bleef het opslaan van massa’s rekenkundige data en die taak bleef voorbehouden aan het gedeeltelijke schrift. De Hebreeuwse Bijbel, de Griekse Ilias, de hindoeïstische Mahabharata en de boeddhistische Tripitaka begonnen hun leven allemaal als gesproken werken. Generaties lang werden ze mondeling overgeleverd en ze hadden ook voortgeleefd als het schrift nooit was uitgevonden. Maar belastingregisters en complexe bureaucratieën zijn samen met het gedeeltelijke schrift geboren en die twee zijn nog steeds net zo onlosmakelijk met elkaar verbonden als Siamese tweelingen. Denk maar aan de cryptische entry’s in computerdatabases en spreadsheets.
Toen er steeds meer dingen werden opgeschreven en vooral administratieve archieven gigantische proporties kregen, ontstonden er nieuwe problemen. Informatie die is opgeslagen in iemands hersenen is makkelijk op te roepen. Mijn hersenen bevatten miljarden stukjes informatie, maar ik kan heel snel, bijna op slag, op de naam van de hoofdstad van Italië komen, meteen daarna terugdenken aan wat ik op 11 september 2001 deed en me vervolgens de route van mijn huis naar de Hebreeuwse Universiteit in Jeruzalem voor de geest halen. Het blijft een mysterie hoe ons brein dat precies doet, maar we weten allemaal dat het een ongelooflijk efficiënt terugvindsysteem heeft, behalve als je je probeert te herinneren waar je je autosleutels hebt gelaten.
Maar hoe zoek en vind je informatie die is opgeslagen op quipukoordjes of kleitabletten? Als je maar tien of honderd tabletten hebt, is het geen probleem. Maar wat als je er duizenden hebt verzameld, zoals koning Zimrilim van Mari, een tijdgenoot van Hammurabi?
Stel je even voor dat het 1776 v.Chr. is. Twee Mariërs hebben ruzie om een tarweveld. Jacob beweert dat hij het dertig jaar geleden heeft gekocht van Esau. Esau werpt tegen dat hij het veld alleen maar voor een periode van dertig jaar heeft verhuurd aan Jacob en dat hij het nu terug wil, omdat de huurtermijn is afgelopen. Ze schreeuwen en ruziën en gaan al bijna op de vuist, maar dan beseffen ze ineens dat ze hun geschil kunnen beslechten door naar het koninklijke archief te gaan, waar alle koop- en verkoopaktes zijn ondergebracht die betrekking hebben op al het onroerend goed in het koninkrijk. Eenmaal bij het archief worden ze van de ene naar de andere beambte gestuurd. Ze wachten geduldig de ene na de andere kruidentheepauze af, krijgen te horen dat ze morgen maar terug moeten komen en worden uiteindelijk door een mopperende klerk op sleeptouw genomen om het bewuste kleitablet te zoeken. De klerk doet een deur open en leidt ze een gigantische ruimte binnen die van onder tot boven vol ligt met duizenden kleitabletten. Geen wonder dat die klerk zo zuur kijkt. Hoe moet hij de dertig jaar oude verkoopakte van het betwiste tarweveld ooit terugvinden? En als hij die al vindt, hoe kan hij dan controleren of die akte van dertig jaar geleden het meest recente document over het bewuste veld is? Als hij hem niet kan vinden, bewijst dat dan dat Esau het veld nooit heeft verkocht dan wel verhuurd? Of bewijst het alleen dat het document kwijt is geraakt of helemaal papperig is geworden omdat er wat regenlekkage in het archief is geweest?
Zo wordt meteen duidelijk dat een document vastleggen in klei niet volstaat voor een efficiënte, accurate, hanteerbare gegevensverwerking. Daar zijn ordeningsmethodes als catalogi voor nodig, reproductietechnieken zoals kopieermachines, manieren om snel en accuraat gegevens op te roepen, zoals computeralgoritmes, en pedante (maar hopelijk opgewekte) bibliothecarissen die weten hoe ze met die hulpmiddelen moeten omgaan.
Het uitvinden van dergelijke methodes bleek veel moeilijker dan het uitvinden van een schrift. Veel schriftsystemen zijn onafhankelijk van elkaar ontstaan in culturen die qua plaats en tijd heel ver van elkaar af lagen. Elk decennium ontdekken archeologen weer nieuwe vergeten schriftsystemen. Sommige zullen misschien nog wel ouder blijken dan de Soemerische krassen in de klei. Maar de meeste blijven ons vreemd, omdat de uitvinders ervan geen efficiënte manieren hebben uitgevonden om gegevens te catalogiseren en terug te vinden. Wat zo bijzonder was aan Soemer, en ook aan het Egypte van de farao’s, het oude China en het Incarijk, is dat die culturen goede technieken hebben ontwikkeld om geschreven bronnen te archiveren, catalogiseren en op te roepen. Ze investeerden bovendien in scholen voor klerken, kopiisten, bibliothecarissen en boekhouders.
Moderne archeologen hebben een schrijfoefening van een school in het oude Mesopotamië teruggevonden die ons een inkijkje biedt in het leven van die studenten, zo’n vierduizend jaar geleden:
Ik kwam binnen en ging zitten, en mijn leraar las mijn tablet.
Hij zei: ‘Er ontbreekt iets!’
En hij gaf me met de stok.
Een van de leidinggevenden zei: ‘Waarom heb je zonder mijn toestemming je mond opengedaan?’
En hij gaf me met de stok.
Degene die over de regels gaat zei: ‘Waarom ben je opgestaan zonder mijn toestemming?’
En hij gaf me met de stok.
De poortwachter zei: ‘Waarom ga je naar buiten zonder mijn toestemming?’
En hij gaf me met de stok.
De oppasser bij de bierkruik zei: ‘Waarom heb je gedronken zonder mijn toestemming?’
En hij gaf me met de stok.
De Soemerische leraar zei: ‘Waarom spreek je Akkadisch?’4
En hij gaf me met de stok.
Mijn leraar zei: ‘Je handschrift deugt niet!’
En hij gaf me met de stok.44
De klerken uit die tijd leerden niet alleen lezen en schrijven, maar ook hoe ze catalogi, woordenboeken, kalenders, formulieren en tabellen moesten gebruiken. Ze bestudeerden en memoriseerden technieken voor het catalogiseren, terugzoeken en verwerken van informatie die sterk verschilden van de systemen die de hersenen gebruiken. In de hersenen wordt vrij geassocieerd met alle gegevens. Als ik met mijn wederhelft een hypotheek ga afsluiten voor ons nieuwe huis, moet ik denken aan de eerste woning waar we hebben samengewoond, wat me herinnert aan onze huwelijksreis naar New Orleans, wat me doet denken aan alligators, waardoor ik moet denken aan draken, die me doen denken aan Der Ring des Nibelungen en voor ik het weet zit ik het Siegfriedmotief te neuriën ten overstaan van een bevreemd kijkende bankemployé. In bureaucratieën moeten de gegevens apart gehouden worden. Er is een la voor hypotheekaktes, een voor huwelijksaktes, een voor belastingpapieren en een voor processtukken. Hoe kun je anders ooit iets terugvinden? Dingen die in meer dan één la thuishoren, zoals de opera’s van Wagner (archiveer ik die onder ‘muziek’, ‘theater’, of moet ik misschien een compleet nieuwe categorie verzinnen?), zijn een geheid hoofdpijndossier. Zodat je continu laden moet toevoegen, weghalen en herordenen.
Om goed te kunnen functioneren moeten de mensen die met dergelijke ladesystemen werken zichzelf herprogrammeren om niet meer als mensen te denken, maar als klerken en boekhouders. Zoals iedereen sinds de vroegste geschiedenis al weet, denken klerken en boekhouders op een niet-menselijke manier. Ze denken als archiefkasten. Dat kunnen ze verder ook niet helpen. Als ze niet zo denken, raken al hun laden door elkaar en kunnen ze niet meer doen wat hun regering, bedrijf of organisatie van ze verwacht. De grootste impact van het schrift op de menselijke geschiedenis is dan ook dat het stukje bij beetje de manier waarop mensen denken en de wereld zien heeft veranderd. Vrij associëren en holistisch denken hebben plaatsgemaakt voor hokjesdenken en bureaucratie.
De taal van de cijfers
Door de eeuwen heen zijn bureaucratische methodes om gegevens te verwerken steeds meer gaan verschillen van de manier waarop mensen van nature denken, en ze zijn ook steeds belangrijker geworden. Een cruciale stap daarin werd kort voor de negende eeuw gezet, toen een nieuw gedeeltelijk schrift werd uitgevonden dat cijfermatige gegevens ongekend efficiënt kon opslaan en bewaren. Dit gedeeltelijke schrift bestond uit tien tekens die voor de cijfers 0 tot en met 9 stonden. Verwarrend genoeg noemen we deze tekens Arabische cijfers, hoewel ze zijn uitgevonden door de Indiërs (en wat nog veel verwarrender is, is dat moderne Arabieren cijfertekens gebruiken die er heel anders uitzien dan westerse). Maar de Arabieren zijn met de eer gaan strijken, want toen die India binnenvielen kwamen ze het systeem tegen, begrepen hoe nuttig het was, verfijnden het en verspreidden het door het Midden-Oosten en vandaar naar Europa. Toen later nog verschillende andere tekens werden toegevoegd aan de Arabische cijfers (zoals symbolen voor optellen, aftrekken en vermenigvuldigen) was de basis van de moderne cijfernotatie een feit.
Hoewel dit schriftsysteem nog steeds een gedeeltelijk schrift is, is het de dominante taal op aarde geworden. Bijna alle staten, bedrijven, organisaties en instellingen – of er nu Arabisch, Hindi, Engels of Noors gesproken wordt – gebruiken cijfers voor het vastleggen en verwerken van gegevens. Elk beetje informatie dat vertaald kan worden in cijfers wordt zo verbluffend snel en efficiënt opgeslagen, verspreid en verwerkt.
Iemand die het beleid van regeringen, organisaties en bedrijven wil beïnvloeden, moet dus leren om in cijfers te spreken. Deskundigen doen hun best om zelfs begrippen als ‘armoede’, ‘geluk’ en ‘eerlijkheid’ in cijfers te vangen (de ‘armoedegrens’, ‘subjectief welzijnsniveau’, ‘kredietstatus’). Complete kennisdisciplines, zoals de natuurkunde en de bouwkunde, hebben het contact met de gesproken mensentaal al bijna helemaal verloren en worden uitsluitend in cijfers uitgedrukt.
Meer recentelijk heeft het cijferschrift een nog veel revolutionairder schriftsysteem opgeleverd, namelijk een gecomputeriseerd binair schrift dat uit slechts twee tekens bestaat: 0 en 1. De woorden die ik nu intik op mijn toetsenbord, worden in mijn computer geschreven als verschillende combinaties van nullen en enen.
Het schrift is geboren als het knechtje van het menselijke bewustzijn, maar het begint steeds meer onze baas te worden. Onze computers hebben moeite met begrijpen hoe Homo sapiens praat, voelt en droomt. Dus leren we Homo sapiens te praten, voelen en dromen in de taal van de cijfers, die computers wel kunnen begrijpen.
En daarmee is het verhaal nog niet afgelopen. Specialisten op het gebied van kunstmatige intelligentie proberen een nieuw soort intelligentie te creëren die helemaal gebaseerd is op het binaire computerschrift. Sciencefictionfilms als The Matrix en The Terminator gaan over een tijd waarin het binaire schrift het juk van de mensheid afwerpt. Zodra de mensen dat rebellerende cijferschrift weer onder de duim proberen te krijgen, reageert het met een poging om de mensheid uit te roeien.

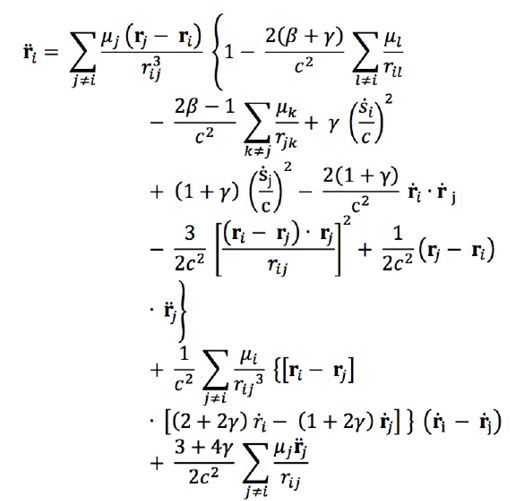
Een vergelijking waarmee de versnelling van massa i onder invloed van de zwaartekracht wordt berekend volgens de relativiteitstheorie. De meeste leken raken bij het zien van zo’n vergelijking zo in paniek dat ze verstijven als een hert dat in de koplampen van een aanstormende auto staart. Dat is een vrij natuurlijke reactie, die niet per se een gebrek aan intelligentie of nieuwsgierigheid verraadt. Een enkele uitzondering daargelaten zijn menselijke hersenen domweg niet in staat om concepten als relativiteit en kwantummechanica te doorgronden. Toch kunnen natuurkundigen het wel, omdat ze de traditionele menselijke manier van denken opzij zetten en opnieuw leren denken met behulp van externe gegevensverwerkingssystemen. Cruciale delen van hun denkproces spelen zich niet af in hun hoofd, maar in computers of op schoolborden.
4 Zelfs toen het Akkadisch de gangbare spreektaal was geworden, bleef het Soemerisch de officiële regeringstaal en daarmee de taal waarin werd geschreven. Aankomende klerken moesten dus Soemerisch spreken.