Appendix Six
The continued fraction is a strange type of fraction constructed by an infinite process of additions and divisions.
When phi is expressed as a continued fraction it looks like this:

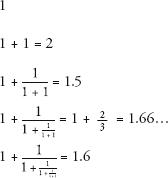
To understand how this works, let’s take the fraction line by line and see that it closes in on phi:

And so on.
Continued fractions provide mathematicians with a way of rating how irrational a number might be. Since the expression for phi contains only 1s, it is the ‘purest’ continued fraction that there is, and hence is considered the ‘most irrational’ number.