
И. В. Бородушко, Э. К. Васильева
Стратегическое планирование и контроллинг
ВВЕДЕНИЕ
В процессе становления в России рыночной экономики формируется новый тип руководителя, который организует бизнес-процесс в соответствии с жесткими законами рыночной конкуренции. Перед топ-менеджерами стоит задача гибко реагировать на быстро меняющиеся условия внутренней и внешней среды, принимать решения с учетом фактора неопределенности и предпринимательского риска, осуществлять стратегическое планирование развития организации на долгосрочную перспективу.
Овладение основами теории и методики стратегического планирования и стратегического контроллинга составляет важный элемент подготовки специалистов в области управления организациями.
Стратегическое планирование развития организации является одним из основных условий успешности бизнеса в перспективе. Новые поколения специалистов должны полноценно владеть методическими основами стратегического планирования, с тем чтобы в своей будущей практической деятельности применять существующие методы эффективного управления организацией. Этим определяется актуальность материалов, представленных в данном учебном пособии.
Современный специалист в области менеджмента должен обладать широким спектром знаний, позволяющих свободно ориентироваться не только во внутрифирменных процессах, но и оценивать сложную и быстро меняющуюся внешнюю среду. Факторы внешней среды в настоящее время приобретают доминирующую роль в сохранении предприятием конкурентоспособности и возможности реализации его стратегических целей. С учетом этого в предлагаемом учебном пособии рассматриваются не только вопросы прогнозирования и планирования развития предприятия, но и организация этих процессов на мезо– и макроуровнях.
Успешный менеджер в своей повседневной деятельности должен ориентироваться на инновационный стиль работы. Это значит, что он должен владеть новейшими технологиями и применять их в сфере управления и менеджмента. К числу эффективных инструментов управления предприятием относится контроллинг. Общепризнанный в западных странах, он активно осваивается ведущими отечественными бизнес-структурами. Поэтому в данном учебном пособии интегрирована информация о планировании, как о важнейшей функции управления предприятием, и о контроллинге, как эффективном инструменте информационно-аналитического сопровождения планирования и иных функций менеджмента на предприятии.
Глава 1
ОСНОВЫ ЭКОНОМИЧЕСКОГО ПРОГНОЗИРОВАНИЯ И ПЛАНИРОВАНИЯ НА МАКРО-, МЕЗО– И МИКРОУРОВНЯХ
1.1. Макроэкономическое планирование в условиях рыночных отношений
В общепринятом понимании планирование – это «один из методов экономического управления. Заключается в разработке и практическом осуществлении планов, определяющих будущее состояние экономической системы, путей, способов и средств его достижения… Основными методами планирования являются балансовый, нормативный и программно-целевой».[1] По своему назначению и содержанию планы могут быть директивными, индикативными, стратегическими и тактическими.
В СССР в условиях жесткой централизованной системы государственного управления действовала система директивного планирования. Плановые задания устанавливались по народному хозяйству страны, далее они дифференцировались по отраслям, по территориям и по конкретным предприятиям. Россия располагает значительным историческим опытом государственного планирования развития народного хозяйства. Прежде всего, это пятилетние народнохозяйственные планы СССР и союзных республик. Примером специализированного отраслевого плана может служить план ГОЭЛРО. С 1930-х гг. стали разрабатываться крупные региональные программы развития: Ангаро-Енисейская программа, программа «Большая Волга» и др.
При переходе к рыночной экономике распался единый централизованный порядок планирования и сложились два вида субъектов экономического планирования: хозяйствующие единицы и структуры государственной власти. С одной стороны, предприятия стали самостоятельно осуществлять все управленческие функции, включая определение целей и задач деятельности, установление стратегических и текущих планов, прогнозирование будущих тенденций развития, определение методов и инструментов управления. С другой стороны, одной из функций органов представительной и исполнительной власти является определение планов и программ социально-экономического развития страны и регионов. Методы и содержание планов в каждом случае имеют свои особенности.
Процессы планирования развития экономики имеют свою специфику в зависимости от ряда конкретных условий: от формы государственного устройства; от заданных границ во времени и в пространстве; от характера конкретного объекта, субъекта и предмета планирования и прогнозирования; от уровня математического, технологического и иного ресурсного обеспечения.
Планирование представляет собой сложный процесс. Это связано с множественностью факторов внутренней и внешней среды и значительной степенью их неопределенности, а также с необходимостью выбора оптимального методического аппарата, с формированием целевых плановых показателей, которые должны быть конкретными и измеримыми.
Определяя особенности различных видов планов, следует рассмотреть прежде всего директивные и индикативные планы. Директивные планы, широко практиковавшиеся в СССР, имели силу юридического закона, адресный характер и были обязательны для исполнителя. При этом участие исполнителя в формировании плана являлось ограниченным.
В рыночных условиях директивные планы в своем традиционном виде практически не находят применения. Методы директивного планирования трансформировались в новые формы. Примерами тому могут служить планы по закупкам товаров для государственных нужд, планы развития инфраструктуры городов, производственные планы унитарных и казенных предприятий и др.
Индикативное планирование отличается тем, что цели социально-экономического развития определены в виде конкретных параметров (индикаторов), достижение которых обеспечивается специально разработанными, преимущественно косвенными, экономическими мерами государственного воздействия на поведение участников рыночных отношений. Основными индикаторами являются: 1) характеристики темпов роста, изменения структуры и эффективности экономики, развития внешнеэкономических связей; 2) показатели динамики финансовой системы и денежного обращения, развития рынка ценных бумаг, движения цен; 3) показатели изменения занятости и уровня жизни населения, развития социальной сферы и т. д.
Для хозяйствующих субъектов показатели государственного индикативного плана имеют лишь рекомендательный характер. Государство стимулирует реализацию задач индикативного плана методами косвенного воздействия через систему налогообложения, кредитования, с помощью субсидий, размещения государственных заказов и др. Таким образом, индикативный план является, по существу, планом-прогнозом.
Для составления индикативного плана требуется проведение информационно-аналитической работы, результаты которой позволяют оценить стартовый потенциал, характер влияния внутренних и внешних факторов, сформировать сценарий развития в будущем, определить количественные значения индикаторов на плановый период. Этот процесс требует использования достаточно сложного научно-методического аппарата, в нем интегрированы исследования, относящиеся к разным направлениям экономического анализа. В рамках существующей структуры органов исполнительной власти организовать подобную работу достаточно сложно. В этих условиях необходимо искать методы совершенствования индикативного планирования.
Можно предположить, что система контроллинга является тем механизмом, который способствовал бы созданию условий для развития практики индикативного планирования в сфере государственного регулирования экономики. Действительно, такие свойства контроллинга, как гибкость, адаптивность, способность собрать воедино разнородные элементы экономической системы, в наибольшей мере соответствуют сущности индикативного планирования.
Кроме разграничения директивного и индикативного планирования, широко применяется классификация планов по следующим критериям: 1) по временному горизонту планирования: долгосрочные, среднесрочные, краткосрочные (текущие); 2) по кругу решаемых проблем: стратегические, тактические.
Традиционное разграничение долгосрочных, среднесрочных и краткосрочных планов соответствует такой направленности управленческой деятельности, в которой сочетается решение текущих задач с одновременным созданием предпосылок для достижения крупномасштабных целей в будущем. Существуют принципиальные различия в содержании и способах формирования плановых значений числовых показателей в условиях долгосрочного, среднесрочного и краткосрочного планирования. Наиболее сложным является формирование долгосрочных планов, что обусловлено значительной ролью факторов неопределенности. В долгосрочных планах трудно определить точные числовые индикаторы на отдаленную перспективу.
Стратегическое планирование должно состоять в определении долгосрочных основополагающих целей и установлении путей их достижения. При составлении стратегического плана необходимо учитывать наиболее вероятные изменения внешней и внутренней среды планируемого объекта, разрабатывать комплексы мероприятий, направленных на смягчение действия негативных и усиление влияния позитивных факторов. В практике государственного управления экономикой России представлены лишь отдельные элементы стратегического планирования. Предстоит большая работа по определению способов решения организационных, методических и ресурсных задач, возникающих при создании системы стратегического планирования на федеральном и региональном уровнях. Тактическое (оперативное) планирование распространяется на частные вопросы, решение которых необходимо для достижения стратегических целей. Оно осуществляется в форме разработки краткосрочных планов развития конкретных элементов социальной инфраструктуры, отдельных аспектов развития экономических систем.
При разработке планов, относящихся к разному территориальному уровню, важным условием является их взаимосогласование. Необходимость единства федерального и территориального аспектов планирования и прогнозирования развития экономики четко выражена в следующей формулировке: «Экономика России – не монообъект, а пространственный (многорегиональный) организм, функционирующий на основе вертикальных (центр – регионы) и горизонтальных (межрегиональных) экономических взаимодействий и входящий в систему мирохозяйственных связей».[2]
В отраслевом аспекте актуальным является дифференцированный подход к планированию. Прежде всего речь идет о таких сферах, как космические исследования, сырьевой и аграрный сектор, обрабатывающая промышленность, область высоких технологий, фундаментальная наука, образование, здравоохранение. Главная проблема заключается в том, что существенно различаются, а подчас и трудно совместимы цели развития указанных сфер. Таким образом, государственное планирование социально-экономического развития сопряжено с необходимостью взаимного согласования интересов разных сторон общественной жизни и обоснования выбора приоритетных задач.
В практике планирования важнейшей предпосылкой качественного выполнения этих работ является использование научно обоснованной методологии. Последняя включает вопросы методики формирования целей и приоритетных задач развития экономики, определение принципиальных требований, которым должен отвечать процесс планирования.
Вопрос о принципах планирования относится к числу основных при формировании методологии планирования. В научных трудах, затрагивающих вопросы государственного планирования, этому вопросу всегда уделяется внимание, но рассматривается он с разной полнотой его охвата и степенью детализации.[3] Комплекс принципов планирования, рассматриваемых в научных публикациях, может быть изложен в виде следующего перечня.
1. Научность – означает научную объективность и достоверность; применение методов, отвечающих целям исследования; правильность выбранной методологии.
2. Целенаправленность – обоснование приоритетных направлений социально-экономического развития и стратегического выбора; формирование комплекса стратегических целей развития; определение приоритетных функций видов деятельности.
3. Социальность – при формировании стратегических целей и механизмов их реализации приоритетными являются решения, обеспечивающие повышение качества жизни и защиту интересов населения.
4. Комплексность – означает необходимость рассмотрения всех элементов планирования во взаимосвязи; рассмотрение всех факторов и социально-экономических характеристик в их целостности; на представительные и исполнительные органы управления ложится вся полнота ответственности за разработку и осуществление комплексного развития; реализация принципов комплексности неразрывно связана с соблюдением принципов иерархичности.
5. Системность – означает, что системный подход является одним из методов стратегического планирования, который обеспечивает соблюдение требований устойчивости, динамичности, гибкости, структурной сбалансированности. Стратегическое социально-экономическое планирование является подсистемой системы управления государством, регионом, муниципальным образованием. При разработке плана необходимо учитывать внешние и внутренние факторы, все предпосылки и ограничения в условиях социально-экономического развития, взаимозависимости в развитии стран мира и регионов страны. Также существует необходимость рассмотрения сложной социально-экономической системы, состоящей из множества взаимосвязанных элементов (подсистем, компонентов) различного иерархического уровня. Принцип системности тесно связан с принципом комплексности.
6. Адаптивность – возможность при планировании и формировании стратегического выбора учитывать происходящие изменения внешней среды путем гибкой корректировки целей, приоритетов и способов их реализации, модификации механизмов обратных связей.
7. Вариантность – означает, что при разработке концепции и при прогнозировании развития социально-экономических систем необходима вариантная проработка, вытекающая из реально существующей ситуации и предполагаемых изменений внутренних и внешних условий развития системы на перспективу; в каждом варианте должны быть согласованы оценки условий, цели развития и механизмы их достижения; в конечном итоге отбирается наилучший из всех возможных вариантов развития.
8. Эффективность – понимается как необходимость доказательства того, что сформированный набор целей экономического развития, приоритетных функций, намеченных путей реализации плана обеспечит наилучший результат при наименьших затратах.
9. Минимизация риска – означает, что при формировании плана должны быть оценены различные риски в будущем, необходимо прогнозирование рисков и их учет при сравнительном анализе вариантов плана, при принятии решения о конечном выборе варианта плана.
10. Баланс интересов – это многозначное понятие, предполагающее нахождение консенсуса между властными структурами, властью и бизнесом, профессиональными и общественными группами населения по вопросам о выборе приоритетных стратегических целей и механизмов их практической реализации, обеспечение согласованности и непротиворечивости федеральных, региональных и местных интересов.
11. Легитимность – это обязательность рассмотрения и принятия разработанных проектов концепций, программ, планов социально-экономического развития органами представительной власти соответствующего уровня государственного управления.
12. Демократичность – означает гласность и открытость хода и результата работ по формированию концепций, программ, планов с привлечением научной общественности и населения к рассмотрению и экспертизе проектов документов. Принцип демократичности тесно связан с принципами легитимности и баланса интересов.
13. Профессионализм – обеспечивается специальной подготовкой участников работ, созданием необходимой методологической и информационной базы, организацией независимой экспертизы с привлечением к разработке профессионалов, специализирующихся по соответствующей проблематике.
14. Принцип «первого руководителя» – означает участие в ходе работ или их оценке «первых лиц» соответствующего уровня государственного управления. Вопросы сравнительной оценки стратегических альтернатив и окончательного выбора являются прерогативой высших руководителей соответствующих органов управления, несущих, в конечном счете, всю полноту ответственности за результаты социально-экономического развития отрасли, региона, страны.
15. Принцип инновационности – означает использование в процессе планирования технологических инноваций, особенно современных информационных технологий; создание эффективных организационных форм выполнения работ; обоснование и обеспечение механизмов экономического взаимодействия между заинтересованными субъектами управления и хозяйствования; обеспечение нормативной базы планирования, отвечающей международным стандартам; научные инновации, основанные на результатах фундаментальных и прикладных исследований в области проблем стратегического планирования и социально-экономического развития.
Комплекс рассмотренных принципов является достаточно полным, но неоднородным по содержанию. Поэтому необходимо классифицировать эти принципы (см. табл. 1).
Таблица 1. Классификация принципов планирования.[4]

Обязательным требованием к государственным институтам (органам), ответственным за разработку экономических планов, является обеспечение прозрачности и подконтрольности обществу процесса планирования. Обеспечение прозрачности планов должно достигаться путем их публикации в открытой печати, обсуждения в СМИ, а также посредством соблюдения четкости, конкретности и ясности формулировок основных положений и пунктов плана. Для достижения подконтрольности планов обществу было бы целесообразно привлекать общественность к обсуждению планов, к их критической оценке, поощрять инициативу населения, предпринимательских структур, представителей науки по соучастию в процессе государственного планирования. Важно было бы создавать условия для оценки общественностью хода выполнения плана и для анализа причин отклонения от плановых заданий. Естественно, не все виды планов в равной мере целесообразно выносить на суд общественности. В наибольшей мере достоянием общественности должны становиться социальные планы, непосредственно затрагивающие личные интересы всех членов гражданского общества.
Качество разрабатываемых планов социально-экономического развития зависит от ряда условий, важнейшими среди которых являются:
1) степень обеспеченности (высокая, ограниченная, нестабильная и т. д.) материальными, природными, научно-техническими, финансовыми, интеллектуальными и иными ресурсами;
2) уровень конкурентоспособности страны, региона, отрасли, вида производства (наличие конкурентных преимуществ, недостаточная или низкая конкурентоспособность на внутреннем рынке, на различных видах внешних рынков);
3) соотношение механизмов рыночного саморегулирования и государственного регулирования и возможности его оптимизации;
4) особенности соотношений роли рыночных и нерыночных (государственных, общественных и др.) институтов;
5) наличие и характер комплекса инструментов, используемых на разных этапах планирования, что также является одним из существенных условий успешного процесса разработки планов; к числу таких инструментов следует отнести метод контроллинга.
Внедрение метода контроллинга в практику государственного планирования можно было бы рассматривать как одно из направлений совершенствования методологии государственного планирования в сфере макроэкономических процессов. Учитывая, что основы контроллинга разработаны и достаточно широко используются в мировой практике на уровне хозяйствующих единиц, задача его внедрения в сферу государственного управления ограничивалась бы определением способов адаптации традиционной модели контроллинга к новой сфере его использования. Применение метода контроллинга, при условии соответствующей его корректировки, позволило бы организовать подготовку планов на основе качественной методической и информационной поддержки по ключевым вопросам макроэкономического планирования. В рамках контроллинга можно было бы интегрировать, более тесно согласовать и координировать такие функции предплановых разработок, как анализ, диагностика, а также осуществлять мониторинг, контроль и оценку исполнения планов.
Только на уровне государственных планов было бы возможно обеспечить согласование и взаимный компромисс интересов субъектов экономической деятельности в различных сферах. Конфликт интересов лежит, прежде всего, в области распределения ресурсов: материальных, финансовых, организационно-правовых, интеллектуально-кадровых. Аналогичные противоречия возникают при разграничении позиций планов федерального и регионального уровня. Эффективным средством преодоления этих противоречий и предпосылкой оптимальности планов может служить проведение предварительного комплексного анализа ситуации в рамках предплановых разработок.
При разработке государственных планов экономического развития необходимо сначала провести комплексный анализ: определить возможные траектории развития внешней среды, оценить внутренний потенциал, возможные риски и преимущества и т. д. Итоги такого анализа обретают наибольшую ценность, если они интегрированы в единую систему взаимосвязанных информационно-аналитических блоков. Решение этих задач могло бы быть наиболее успешным в рамках контроллинга.
От правильности решений, которые принимаются на государственном уровне в порядке реализации долгосрочных и среднесрочных планов социально-экономического развития, зависит успех в реализации таких первостепенной важности задач, как минимизация внутренних и внешних угроз и безопасное устойчивое развитие экономики страны. К числу наиболее актуальных относятся следующие задачи:
♦ определение потенциальных возможностей развития экономических систем;
♦ оптимизация способов использования ресурсов: финансовых, материально-технических, людских и интеллектуальных;
♦ оценка возможных внутренних и внешних угроз;
♦ получение информации о влиянии основных факторов на экономическое развитие, таких, как производственная инфраструктура, конкурентная среда, структура и емкость внутренних и внешних рынков сбыта, обеспеченность финансовыми ресурсами и др.
Не менее сложным процессом является реализация плана, которая включает: а) размещение и приведение в действие ресурсной базы, которая должна использоваться с наибольшим эффектом; б) решение организационных вопросов государственного менеджмента; в) структурирование внешних и внутренних связей как механизма функционирования объектов планирования. На этапе реализации плана служба контроллинга могла бы обеспечивать оперативный контроль и мониторинг хода выполнения плана.
Наиболее совершенной базой для формирования плана социально-экономического развития является предварительно разработанный прогноз.
1.2. Прогнозирование и его роль при составлении планов развития экономических систем
В современной науке и практике сформировалось достаточно конкретное и однозначное понимание сущности прогноза и прогнозирования. В Федеральном законе «О государственном прогнозировании и программах социально-экономического развития Российской Федерации»[5] представлено следующее определение: Государственное прогнозирование социально-экономического развития Российской Федерации – система научно обоснованных представлений о направлениях социально-экономического развития Российской Федерации, основанных на законах рыночного хозяйствования.
Развернутая формулировка содержится в проекте Федерального закона «О государственном прогнозировании, индикативном планировании и программах социально-экономического развития Российской Федерации».[6] Прогноз социально-экономического развития Российской Федерации – система научно обоснованных представлений о направлениях социально-экономического развития Российской Федерации на перспективу, основанных на законах рыночного хозяйствования и анализе сложившихся тенденций, факторов и условий функционирования экономики и общества. Государственное прогнозирование социально-экономического развития Российской Федерации – деятельность органов государственной власти Российской Федерации по разработке, утверждению, исполнению, корректировке указанных прогнозов и их использованию в управлении развитием экономики, ее территориальных и отраслевых подсистем, предприятий и организаций.
Достаточно близкими к приведенным выше формулировкам являются следующие определения:
«Экономическое прогнозирование следует рассматривать как систему научных исследований количественного и качественного характера, направленных на выяснение тенденций развития экономических отношений и поиск оптимальных решений по достижению целей этого развития».[7]
«Прогноз – это научно обоснованное суждение о возможных состояниях объектов в будущем и (или) об альтернативных путях и сроках их осуществления. Процесс разработки прогнозов называется прогнозированием».[8]
«Прогноз представляет собой предвидение, предсказание, основанное на определенных данных».[9]
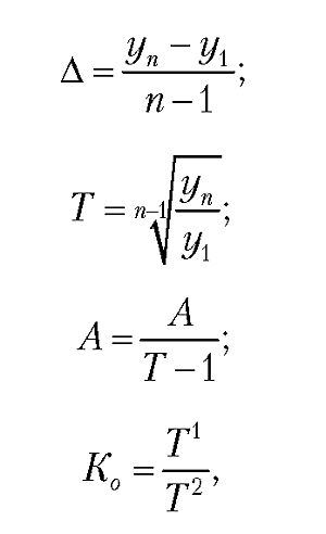
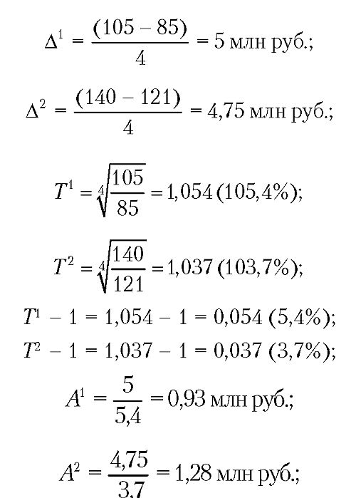
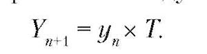
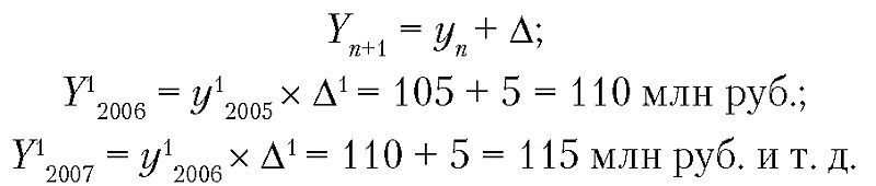
«Большое значение для составления стратегического плана имеют инструменты планирования. Наиболее значимыми из них являются прогнозирование и составление перечня операций, подлежащих выполнению. Прогнозирование – это способ выявления тех процессов и событий, которые могут произойти в будущем в среде организации и оказать влияние на ее действия».[10]
«Прогноз – научно обоснованная гипотеза о вероятном будущем состоянии экономической системы и экономических объектов и характеризующих это состояние показателей. Разборку, составление прогнозов называют прогнозированием».[11]
Сопоставляя приведенные определения, можно выделить следующие общие положения. Во-первых, прогноз является научным представлением, гипотезой, способом предвидения будущего. Во-вторых, содержанием прогноза является информация о направлениях и тенденциях развития и о способах достижения поставленных целей.
Эти положения определяют сущность прогноза, но они недостаточны при оценке роли прогноза в процессе планирования. Необходимо акцентировать внимание на том, что прогноз, во-первых, формирует поле объективно достижимых целевых показателей развития экономической системы, за пределы которых не должны выходить показатели плана; во-вторых, прогноз ценен тем, что определяет возможные сценарии будущего развития, сравнительный анализ которых позволяет выбрать оптимальный вариант для планирования, в котором наилучшим образом сочетаются следующие критерии: соответствие целям, ресурсная обеспеченность, эффективность и минимизация рисков.
Из такого понимания связи плана и прогноза вытекает ряд требований к прогнозу.
1. Прогноз должен быть многовариантным.
2. В основе определения вариантов прогноза должны лежать:
♦ гипотезы об альтернативных моделях поведения субъектов экономических отношений;
♦ гипотезы о возможных изменениях внешнеполитических и внешнеэкономических условий;
♦ оценки возможных социально-экономических последствий реализации каждого варианта прогноза;
♦ оценки вероятности рисков и масштабов последствий наступления рисковых ситуаций для каждого варианта прогноза.
3. Оценка уровня достоверности прогноза (достоверный, относительно достоверный, возможный).
4. Взаимосогласование прогноза и будущего плана по временному и пространственному горизонту, по объекту планирования и прогнозирования.
5. В основе прогноза должна лежать научно обоснованная информация трех видов:
♦ о стартовых условиях будущего развития экономической системы;
♦ о возможных вариантах интенсивности экономических процессов в будущем;
♦ о возможных сочетаниях действия внешних и внутренних факторов в будущем.
6. Прогнозирование целесообразно организовать как непрерывный процесс, в ходе которого прогнозные параметры корректируются с учетом результатов развития за истекший период.
Следует отметить многофункциональность прогнозов. Государственные прогнозы содержат информацию, на которую органы законодательной и исполнительной власти опираются при формировании социально-экономической политики государства, при разработке концепции социально-экономического развития. Они также используются в качестве информационной базы для принятия конкретных решений в области экономической и социальной жизни общества.
Различия между планом и прогнозом определяются тем, что план имеет нормативный характер, а прогноз является вероятностной моделью будущего. Планирование представляет процесс создания модели состояния объекта в будущем с позиций:
1) достижения определенной цели;
2) долженствования, т. е. обязательности исполнения;
3) установления методов и способов достижения этого состояния.
Прогноз определяет ожидаемые перспективы развития объекта с учетом:
а) эффекта саморазвития объекта;
б) результата воздействия среды;
в) возможных альтернативных вариантов развития.
Стандартная схема взаимосвязи плана и прогноза предполагает предварительное составление прогноза. Далее на его основе разрабатываются планы экономического развития. Но этим не ограничивается роль прогноза в процессе планирования. По мере прохождения планового периода необходимо разрабатывать сценарии прогнозов на оставшийся период (или также на более отдаленную перспективу) с учетом состоявшейся реализации потенциальных возможностей развития. Кроме того, на основе уже составленного плана целесообразно разработать прогноз возможных вариантов последствий реализации данного плана.
В зависимости от условий функционирования экономических систем и целей их развития в будущем определяется конкретный вид прогноза. Предварительно дадим краткий обзор возможных видов прогнозов, которые классифицируются по нескольким признакам:
1) по горизонту времени различают краткосрочные (1–2 года), среднесрочные (3–5 лет) и долгосрочные (10 и более лет) прогнозы;
2) по уровню государственного управления прогнозы могут быть федеральными, региональными и местными;
3) по предметному содержанию различают ряд частных прогнозов: демографический, экологический, научно-технический, социальный, природных ресурсов, внешнеэкономический, отраслевой и т. д.; отдельно разрабатывается прогноз развития государственного сектора экономики;
4) в зависимости от направленности и интенсивности экономических процессов в будущем формируют несколько вариантов прогнозов:
а) высокий (оптимистический), ориентированный на наиболее благоприятный ход событий;
б) средний, соответствующий наиболее вероятным перспективам развития;
в) низкий (пессимистический), который возможен при наиболее неблагоприятных условиях развития экономической системы.
В связи с большой значимостью экономических прогнозов как инструмента государственного управления, и государственного планирования в том числе, необходимо на государственном уровне создавать предпосылки эффективности прогнозирования. Важнейшей из таких предпосылок является обеспечение соответствующей нормативно-правовой базы экономического прогнозирования, хотя на практике ситуация иная. Ныне действующий Федеральный закон «О государственном прогнозировании и программах социально-экономического развития Российской Федерации» был принят в 1995 г. Проект Федерального закона «О государственном прогнозировании, индикативном планировании и программах социально-экономического развития Российской Федерации», подготовленный и представленный в апреле 2000 г. в Государственную Думу, на основании решения Президента Российской Федерации в феврале 2004 г. был снят с дальнейшего рассмотрения Государственной Думой. Отсутствуют какие-либо иные нормативно-правовые акты, регулирующие экономическое прогнозирование, что затрудняет создание единой методологии и организационной системы научно обоснованного государственного прогнозирования.
Оценивая, в какой мере рассматриваемый Федеральный закон «О государственном прогнозировании и программах социально-экономического развития Российской Федерации» (далее – Закон) выполняет функцию правового обеспечения государственного прогнозирования, можно отметить следующее. В преамбуле Закона сказано, что он определяет цели, содержание и общий порядок разработки системы государственных прогнозов социально-экономического развития Российской Федерации.
О целях социально-экономических прогнозов в законе имеются следующие указания.
1. Их результаты используются при принятии органами законодательной и исполнительной власти конкретных решений в области социально-экономической политики государства.
2. На основе прогнозов на долгосрочную перспективу разрабатываются:
а) концепция социально-экономического развития Российской Федерации на долгосрочную перспективу;
б) прогноз социально-экономического развития Российской Федерации на среднесрочную перспективу;
в) среднесрочная программа социально-экономического развития Российской Федерации.
3. Социально-экономический прогноз на предстоящий год вместе с другими документами представляется в Государственную Думу как обоснование проекта федерального бюджета.
По поводу содержания государственных прогнозов в п. 5 ст. 2 Закона указано: «Прогнозы социально-экономического развития включают количественные показатели и качественные характеристики развития макроэкономической ситуации, экономической структуры, научно-технического развития, внешнеэкономической деятельности, динамики производства и потребления, уровня и качества жизни, экологической обстановки, социальной структуры, а также систем образования, здравоохранения и социального обеспечения населения».
О порядке разработки прогнозов социально-экономического развития в Законе указано, что они разрабатываются на долгосрочную (10 лет), среднесрочную (3–5 лет) и краткосрочную (1 год) перспективу. Прогнозы разрабатываются по сферам деятельности (отраслевые, социальные, научно-технические, внешнеэкономические и др.), по территориальному горизонту (федеральные и региональные). В зависимости от влияния внешних и внутренних факторов формируется несколько вариантов прогноза. Более конкретно порядок разработки государственных прогнозов должен определяться Правительством Российской Федерации, однако среди известных нам опубликованных правительственных нормативно-правовых актов подобный документ не представлен.
Закон устанавливает периоды, на которые составляются государственные прогнозы социально-экономического развития, и определяет взаимосвязь таких экономических категорий, как: «прогноз социально-экономического развития» (прогноз); «концепция социально-экономического развития» (концепция развития); «программа социально-экономического развития» (программа); «федеральные целевые программы» (целевые программы); «планирование социально-экономического развития» (планирование).
В Законе установлена последовательность формирования основных документов по прогнозированию и социально-экономическим программам. Вместе с тем сохраняется некоторая неопределенность и неконкретность в определении понятий, содержания, взаимосвязи рассматриваемых экономических категорий. Так, в ст. 1 Закона представлена только часть основных понятий, отсутствуют такие, как «федеральные целевые программы» (п. 3 ст. 5 Закона), «планирование социально-экономического развития РФ» (ст. 5 Закона).
Как показано на рис. 1, в Законе нет четких указаний на связь среднесрочных и краткосрочных прогнозов. Не определены соотношения между краткосрочным прогнозом и федеральными целевыми программами. Статья 5 «Государственное прогнозирование и планирование социально-экономического развития Российской Федерации на краткосрочную перспективу» содержит понятие «планирование», хотя в тексте статьи оно не представлено. Таким образом, по существу утрачена связь между государственным прогнозированием и государственным планированием.

Рис. 1. Интерпретация механизмов связи экономического прогнозирования, формирования концепций и программ социально-экономического развития по Федеральному закону «О государственном прогнозировании и программах социально-экономического развития Российской Федерации».
Сведенная воедино в табл. 2 информация о хронологических периодах, по которым формируются прогнозы, концепции и программы, обнаруживает незавершенность разработки в Законе взаимосогласованных положений о перечисленных экономических категориях. В Законе вопрос о программах социально-экономического развития рассмотрен только в среднесрочной перспективе. Остается неясным, должны ли разрабатываться долгосрочные и краткосрочные программы. Федеральные целевые программы в Законе представлены как краткосрочные, хотя, как известно, такие программы разрабатываются и на более длительные периоды.
Таблица 2. Хронологические периоды государственных прогнозов, концепций и программ по Федеральному закону «О государственном прогнозировании и программах социально-экономического развития Российской Федерации».

В сфере государственного прогнозирования, как и планирования, не существует полноценного комплекса подзаконных актов, что является существенным пробелом в правовом регулировании, а также приводит к отсутствию единой системы государственного прогнозирования и планирования. Эти акты должны раскрывать и конкретизировать основные положения Закона, а также регламентировать порядок его действия. В этих условиях прогнозы, разрабатываемые министерствами и регионами, оказываются несопоставимыми, их материалы нельзя агрегировать. В Законе также нет указания о регламенте прогнозирования, т. е. о степени обязательности, о сроках, о перечне частных прогнозов и др.
В рассмотренном Законе отсутствуют какие-либо упоминания о методологических основах государственного прогнозирования. В научной литературе содержится ряд положений по этому вопросу. Прежде всего раскрываются возможные методы формирования прогноза, интерпретируемые как перечень моделей и приемов получения прогнозной информации. Обычно к таким методам относят интерполяцию, экспертные оценки, метод аналогии, методы математического моделирования. Специального решения требуют вопросы об определении системы прогнозируемых показателей и об оценке масштабов их возможного изменения. Предлагаются также способы систематизации методов. Например, можно выделить простые и комплексные, фактографические и экспертные, поисковые (исследовательские и нормативные) методы.[12]
Целостное описание процесса составления прогноза и роли методологии в этом процессе может быть представлено в форме типовой схемы (рис. 2). В схеме показаны последовательные этапы работ, выполняемых при прогнозировании, кратко определено содержание отдельных этапов и отмечены зоны, требующие методологического обеспечения. Общий принцип построения данной схемы заключается в воспроизведении в интегрированном виде взаимосвязи между этапами работ, которые намечены в Законе. Другим общим принципом является обеспечение ее соответствия сложившейся практике выполнения работ по составлению экономических прогнозов.
Существенную роль в формировании методологической основы государственного экономического прогнозирования играет решение вопросов о способах повышения научной обоснованности прогнозов и их точности, о необходимости более тесной увязки показателей долгосрочных, среднесрочных и краткосрочных прогнозов, о более строгом согласовании отдельных блоков прогнозируемых показателей между собой. При этом необходимо ориентироваться на логическую последовательность и взаимосвязь всех основных процедур, составляющих процесс прогнозирования.
Изложенные в Федеральном законе РФ «О государственном прогнозировании и программах социально-экономического развития Российской Федерации» основные положения о порядке разработки государственных прогнозов, а также материалы научных разработок в данной области находят непосредственное применение в практике определения перспектив развития экономики. Такую деятельность осуществляют федеральные и региональные органы исполнительной власти, а также местные органы власти. Наибольший интерес представляет долгосрочный прогноз роста экономики на период до 2015 г., содержащийся в подготовленном Минэкономразвития проекте Программы социально-экономического развития Российской Федерации на среднесрочную перспективу (2005–2008 гг.).[13]

Рис. 2. Типовая схема составления прогноза развития экономических систем.
Разработка этого прогноза проводилась с целью определить, в какой мере российской экономике удастся решить к 2015 г. следующие системные задачи:
1) удвоение ВВП за десятилетие;
2) преодоление бедности;
3) обеспечение населения доступным жильем;
4) создание достаточных экономических условий безопасности страны;
5) модернизация армии.
Были разработаны два сценария экономического роста:
1) базовый сценарий (инерционной динамики развития), характеризующийся снижением конкурентоспособности российской экономики, отсутствием позитивных сдвигов в инвестиционном климате, не предусматривающий реализацию новых масштабных проектов или стратегий;
2) инновационно-активный сценарий (инновационный путь развития), в котором предусматривается реализовать пакет институциональных преобразований и важнейших стратегий развития секторов экономики с использованием механизма частно-государственного партнерства.
Как видно из данных, приведенных в табл. 3, к 2015 г., по сравнению с 2004 г., рост ВВП ожидается по первому сценарию на 61 %, а по второму – на 102 %. По обоим сценариям темпы роста производства промышленной продукции будут несколько ниже, чем темпы роста ВВП. Следовательно, более быстрыми темпами, чем промышленность, будут расти непромышленные отрасли и сфера услуг. Приоритетной целью экономического развития является рост инвестиций в основной капитал, соответственно по этому показателю ожидаются наиболее высокие темпы роста. Увеличение реальных располагаемых денежных доходов населения будет опережать рост ВВП. Объем розничной торговли будет расти более интенсивно, чем объем ВВП. Импорт товаров будет расти по обоим сценариям более интенсивно, чем экспорт, разрыв между этими показателями очень велик: по второму сценарию за период 2004–2015 гг. темп роста импорта составит 335 %, а экспорта – 170 %.
Таблица 3. Основные социально-экономические показатели (темп роста, %).[14]

Группа социальных показателей по второму сценарию содержит, в частности, следующую информацию: доля лиц с денежными доходами ниже прожиточного минимума сократится с 17,8 % в 2004 г. до 4 % в 2015 г. Ожидается, что к 2010 г. будут созданы необходимые предпосылки для формирования в России широкого среднего класса, к которому предлагается относить лиц со среднедушевым доходом выше 6 прожиточных минимумов.
1.3. Практика макроэкономического планирования и государственное регулирование экономики
Цели и сущность государственного планирования определяются тем, что оно является важным инструментом государственного регулирования экономических систем. Государственное регулирование, по определению Ф. И. Шамхалова, «представляет собой систему социального, организационного, правового и политического обеспечения государством среды для нормального функционирования и развития экономики. Эта система, как и любая другая, включает в себя механизмы взаимосвязи между составными ее элементами; общую цель, заключающуюся в создании благоприятной среды для функционирования предпринимательства на уровне макроэкономики; нормативно-правовое обеспечение деятельности предпринимательских институтов; формы и средства инфраструктурного обеспечения, научного и кадрового обеспечения; структуры регулирования и поддержки внешнеэкономической предпринимательской деятельности; поддержание организационно-экономической среды деятельности предприятий, призванной содействовать повышению эффективности их работы и дающей возможность соединять интересы корпораций, общества и государства; формирование благоприятной социальной среды, обеспечивающей политическую стабильность и приемлемые для всех заинтересованных сторон правила игры, поддерживаемые силой и авторитетом государства, и т. д. Большое значение имеют меры государства, направленные на разработку и введение в действие норм, регламентирующих стандарты товаров и услуг, предоставляемых фирмами населению».[15] В приведенной цитате в исключительно компактной форме с исчерпывающей полнотой воспроизведены основные направления государственного регулирования экономики.
В системе государственного планирования центральное место занимает определение цели – целеполагание. Однако эта проблема остается недостаточно разработанной не только в практическом, но и в теоретическом плане, на что указывают авторы ряда научных публикаций.[16] О. В. Коломийченко, В. Е. Рохчин отмечают, что цель как экономическая категория остается недостаточно исследованной и в нее вкладывается разный смысл – от понимания цели как идеального устремления до формулировки конкретных конечных результатов и конечного продукта деятельности, достижимых в пределах конкретного интервала времени.[17]
Категория «цель» непосредственно связана с категориями «деятельность», «потребности», «интересы»: цели объективно отражают потребности и интересы, цель достигается в процессе определенной деятельности. Цель как сложное понятие может быть описана «деревом целей». В процессе планирования целевые установки конкретизируются и трансформируются в целевые показатели, определяющие качественные и количественные характеристики планируемых объектов и процессов. На этапе формирования целевых показателей особенно значима роль методологии, обеспечивающей научнообоснованные и корректные числовые индикаторы развития социально-экономической системы на предстоящие периоды. Целевые показатели образуют основное содержание программ и планов развития экономики.
Характерными тенденциями современного этапа в области государственного планирования в России являются: усиление внимания к этой проблеме на уровнях государственного управления; рост числа научных исследований в данной области, расширение практики разработки государственных планов социально-экономического развития на федеральном и региональном уровнях. В 1996 г. Указом Президента4 была утверждена правительственная «Концепция перехода Российской Федерации к устойчивому развитию».[18] В 2001 г. Правительством РФ была утверждена «Программа социально-экономического развития Российской Федерации на среднесрочную перспективу (2002–2004 гг.)».[19] Цели этой программы не только касались периода 2002–2004 гг., но и были ориентированы на создание долгосрочного потенциала экономического роста, что должно позволить к 2010 г. сформировать уточненную модель управления российским государством. Чтобы к 2010 г. достичь устойчивого роста уровня жизни и сократить его отставание от уровня благосостояния населения экономически развитых стран, Россия в среднесрочном периоде должна решить комплекс задач: оптимизировать участие государства в хозяйственной жизни; обеспечить стабильность законодательства; снизить зависимость экономики страны от мировой конъюнктуры; усилить роль государства как гаранта безопасности; обеспечить финансовую стабильность, осуществить структурные реформы экономики и т. д.
Завершается срок действия очередного правительственного документа Программа социально-экономического развития Российской Федерации на среднесрочную перспективу (2003–2005 гг.).[20] Этой программой был предусмотрен развернутый перечень задач, в том числе устранение институциональных и инфраструктурных ограничений, препятствующих действию рыночных механизмов саморегулирования. Такими ограничениями являлись: недостаточная эффективность принимаемых государственными органами мер, направленных на развитие конкуренции; недостаточная развитость финансовых рынков, являющаяся препятствием привлечения внутренних и внешних инвестиционных ресурсов; несовершенство корпоративного управления; недостаточная гарантия прав собственности; неэффективность функционирования естественных монополий. Решение этих проблем должно способствовать ускорению развития высокотехнологичных производств, усилению межотраслевых потоков капитала, повышению качества жизни населения.
Проект Программы социально-экономического развития Российской Федерации на среднесрочную перспективу (2005–2008 гг.),[21] опубликованный в июне 2005 г. на сайте Министерства экономического развития и торговли, содержит комплексную информацию практически по всем аспектам общественной жизни в стране. В проекте Программы уделено внимание таким вопросам, как основные условия и приоритеты социально-экономического развития; развитие «человеческого» капитала и повышение качества жизни; модернизация образования; повышение эффективности государственного управления и регулирования; реформа государственного управления; развитие механизмов частно-государственного партнерства; развитие рыночных институтов, обеспечивающих конкурентоспособность; долгосрочный прогноз роста российской экономики до 2015 г.; устранение структурных ограничений экономического роста.
На правительственном уровне основные ориентиры в деле регулирования экономических отношений сформулированы в документе «Основные направления деятельности Правительства Российской Федерации на период до 2008 г.», утвержденном Председателем Правительства Российской Федерации М. Е. Фрадковым 28 июля 2004 г.[22] Предлагаемые Правительством меры призваны создать четко действующий механизм реализации сформулированных Президентом РФ общенациональных целей: удвоение валового внутреннего продукта, уменьшение бедности, рост благосостояния людей и модернизация армии.
Комплекс предлагаемых мер включает совершенствование государственного планирования и разработку программ социально-экономического развития, совершенствование нормативно-правовой базы, институциональные преобразования.
В области законодательства необходимо установить четкие и прозрачные процедуры территориального планирования, осуществляемого органами исполнительной власти и органами местного самоуправления. Совершенствование российского законодательства должно быть направлено на создание более благоприятного правового поля для развития финансовых рынков, для защиты прав инвесторов и для развития финансовой инфраструктуры.
В сфере государственного планирования предусматривается достижение более высокого качества и системности планов и программ. Также сформулирован ряд задач по созданию национальных проектов. Одним из направлений планирования является расширение практики частно-государственного партнерства в социальной сфере.
К числу наиболее приоритетных государственных планов, разработка которых предусматривается Правительством РФ, относится долгосрочная (до 2010–2015 гг.) стратегия развития инноваций, что должно обеспечить увеличение к 2010 г. доли финансирования НИОКР в валовом внутреннем продукте до 1,5–2% как за счет государственных, так и за счет внебюджетных средств. В рамках этой долгосрочной стратегии наиболее приоритетным является развитие:
а) в среднесрочной перспективе – высокотехнологичного сектора экономики;
б) оборонно-промышленного комплекса;
в) атомной и авиакосмической промышленности;
г) связи и телекоммуникаций;
д) фармацевтики и биотехнологий;
е) производства программного обеспечения.
Правительством РФ была одобрена Стратегия развития банковского сектора Российской Федерации на 2004 г. и на период до 2008 г., а также план первоочередных мероприятий по ее реализации, которые должны способствовать ускорению банковской реформы и повышению роли банковского сектора в обеспечении высоких и устойчивых темпов экономического роста.
Важной задачей, как отмечено в принятом Правительством РФ документе «Основные направления деятельности Правительства РФ на период до 2008 г.», является формирование методов оценки государственных планов и показателей деятельности федеральных органов исполнительной власти. Далее указано, что такие оценки необходимы при подведении итогов развития экономики и для корректировки планов по отдельным направлениям экономической деятельности. Центральное место в совершенствовании государственного планирования должно занимать повышение роли перспективного финансового плана в бюджетном процессе.
Наряду с формированием общих направлений преобразования экономики Правительство РФ сформулировало задачи в области реализации нескольких конкретных проектов, имеющих особое стратегическое значение. Названным выше документом определено, что в течение ближайших двух лет должны быть завершены следующие проекты:
♦ строительство морского торгового порта Усть-Луга (Ленинградская область), реконструкция и развитие подходных каналов и акваторий морского порта Санкт-Петербург;
♦ создание железнодорожного паромного комплекса в порту Балтийск (Калининградская область);
♦ развитие портов Дальневосточного региона.
Таким образом, в этом документе определены приоритеты, которыми необходимо руководствоваться при разработке государственных планов, федеральных целевых программ и программных документов Правительства РФ.
Первоочередную роль будут играть программы социально-экономического развития Российской Федерации на среднесрочную перспективу (2005–2008 гг.) и планы действий по их реализации. Важнейшими сферами являются развитие науки и инноваций, высокотехнологичного сектора, транспортной инфраструктуры, а также жилищного сектора, образования и здравоохранения.
Федеральные органы исполнительной власти должны разрабатывать стратегии, включающие целевые количественные показатели, федеральные целевые программы, план мероприятий по реализации указанных стратегий. Эти органы должны также готовить проекты необходимых нормативных правовых актов. Все это составляет основу для разработки прогноза социально-экономического развития на среднесрочную перспективу. Приоритетная роль в системе разрабатываемых государственных планов должна принадлежать составлению перспективного финансового плана на 2006–2008 гг., который обеспечивает реальность государственных планов социально-экономического развития. Сформированный таким образом комплекс государственных планов и программы будет способствовать созданию дополнительных гарантий бизнесу, что должно стимулировать приток капиталов из-за рубежа и более рациональное распределение предпринимательского капитала по регионам страны.
Рассмотренные выше положения принятых Правительством РФ основных направлений его деятельности на период до 2008 г. находят воплощение в ряде новых документов. В июне 2005 г. Правительство РФ рассмотрело прогноз социально-экономического развития и перспективный финансовый план на 2006–2008 гг. Это явилось новым шагом в практике государственного социально-экономического прогнозирования и бюджетного планирования. В этих двух документах горизонт государственного планирования составляет три года, тем самым обеспечивается взаимосогласованность социально-экономических и финансовых показателей.
Государственные планы, формируемые на федеральном уровне, далеко не безупречны по своему содержанию. Значительные проблемы возникают при исполнении этих планов, из чего следует необходимость усиления контроля хода выполнения плана.
Еще более проблематичным является вопрос о планах социально-экономического развития регионов, которые представляют важнейший инструмент реализации государственной политики на уровне региона. Планирование в регионе представляет собой центральную функцию управления, и его значимость определяется тем, что:
1) в рамках плана реализуется задача целеполагания;
2) разрабатывается система мер по достижению намеченных к реализации целей;
3) от качества планирования в значительной мере зависит эффективность всей управленческой деятельности.
Региональное стратегическое планирование требует строго научной организации и методологического обеспечения, так как в ходе планирования решаются такие сложные задачи, как:
а) теоретическое обобщение практического опыта по осуществлению прогнозно-аналитической деятельности;
б) разработка методологии и методики регионального планирования;
в) изучение проблем формирования эффективных механизмов практической реализации планов.[23]
Получают распространение разработки концепций, стратегических планов и программ социально-экономического развития федеральных округов, субъектов РФ, муниципальных образований, отдельных городов. Так, опубликован проект документа по Северо-Западному федеральному округу «Основные направления стратегии социально-экономического развития Северо-Западного федерального округа Российской Федерации на период до 2015 г.». Правительством РФ была принята «Стратегия развития Сибири до 2020 г.». В Южном федеральном округе была принята федеральная программа «Юг России», рассчитанная на период 2002–2006 гг.
Во многих субъектах РФ разработаны документы, определяющие стратегию их развития: в Кировской области – «Основные положения концепции социально-экономического развития», в Республике Коми – «Концепция экономической безопасности», в Ставропольском крае – «Концепция становления и развития экономики», в Санкт-Петербурге и в Саратовской области – «Стратегические планы развития», в Самарской области – программа социально-экономического развития и т. д. Временной горизонт этих документов колеблется от одного года до пятнадцати лет.[24]
1.4. Правовые основы регулирования взаимосвязи социально-экономического и бюджетного планирования
Государственное социально-экономическое планирование предполагает в качестве обязательного условия учет взаимосвязи макроэкономических и финансовых показателей. Макроэкономические показатели выступают в качестве объекта социально-экономического планирования, а финансовые – сформированы в рамках государственного бюджета.
Взаимосвязь этих трех элементов государственного планирования столь важна, что основные положения по ее регулированию предусмотрены Бюджетным кодексом РФ.[25] Наиболее существенными механизмами связи между социально-экономическим развитием и бюджетной системой являются следующие.
1. Социально-экономическое развитие субъектов РФ обеспечивается не только их собственными бюджетными ресурсами, но и различными формами финансовой помощи за счет федерального бюджета. Такая практика призвана гарантировать жизнеспособность всех структурных элементов единой экономической системы страны.
2. При разработке федерального, региональных и местных бюджетов за основу принимаются показатели прогноза социально-экономического развития соответствующего уровня, что обеспечивает достоверность и реалистичность расчета доходов и расходов этих бюджетов. Тем самым обеспечивается единство всех аспектов государственного планирования, что необходимо для сохранения целостности и сбалансированности всех составляющих экономического пространства России.
Рассмотрим более детально порядок правовой регламентации в области двух указанных направлений взаимодействия.
В соответствии со ст. 136 Бюджетного кодекса РФ предоставление целевой финансовой помощи бюджетам субъектов Российской Федерации предусматривается специальным федеральным законом либо законом о федеральном бюджете на очередной финансовый год. Такая финансовая помощь предоставляется в форме субвенций и субсидий, направленных на финансирование:
а) расходов по федеральным целевым программам;
б) капитальных расходов;
в) расходов, передаваемых из бюджетов других уровней бюджетной системы РФ;
г) иных целевых расходов.
Субъектам Российской Федерации могут быть выделены средства из Федерального фонда финансовой поддержки субъектов РФ. В Бюджетном кодексе РФ указано, что этот фонд образуется в составе федерального бюджета в целях выравнивания бюджетной обеспеченности субъектов РФ. Существует также ряд других фондов, средства которых могут быть использованы для перераспределения финансовых ресурсов государства.
В научных кругах существуют разные точки зрения по вопросу о целях и механизмах перераспределения финансовых средств. Регионы с низким экономическим потенциалом объективно нуждаются в государственной финансовой поддержке. Но размер этой поддержки ограничивается двумя рисками: формирования иждивенческих настроений в дотируемых регионах и снижения стимулов к наращиванию валового регионального продукта в регионах-донорах.
Оптимальные решения по затронутым вопросам еще предстоит выработать. Так, в Бюджетном послании Президента РФ Федеральному Собранию «О бюджетной политике в 2006 г.»[26] отмечалось, что необходимо расширить круг федеральных полномочий, делегируемых в регионы с одновременным предоставлением субвенций из федерального бюджета, и осуществлять анализ практики реализации таких полномочий. Президент РФ также указал на задачу оказания содействия субъектам Российской Федерации и органам местного самоуправления в работе по оздоровлению их бюджетов. Важными задачами в области бюджетной политики, как отметил Президент РФ, является устранение практики образования бюджетной задолженности. В области межбюджетных отношений необходимо на долговременной основе определиться с направлениями использования Федерального фонда регионального развития, изменить механизм его формирования и распределения с учетом применения единых методологических принципов отбора регионов для оказания инвестиционной поддержки и порядка предоставления средств из этого фонда с учетом финансовых возможностей субъектов Российской Федерации.
Существенным аспектом взаимосвязи социально-экономической и финансовой политики государства является единство механизмов социально-экономического и бюджетного планирования. В Бюджетном кодексе РФ содержится ряд конкретных положений по этому вопросу. Последовательными этапами формирования Федерального закона о федеральном бюджете являются:
♦ определение социально-экономической и бюджетной политики государства;
♦ методологическое обеспечение в области составления проекта федерального бюджета;
♦ подготовка материалов, необходимых для составления прогноза консолидированного бюджета и проекта федерального бюджета РФ;
♦ разработка прогноза консолидированного бюджета РФ;
♦ разработка программ государственных внешних и внутренних заимствований РФ;
♦ составление проекта федерального бюджета, его обсуждение и принятие.
Базовыми предпосылками формирования федерального бюджета являются основные принципы государственной социально-экономической и бюджетной политики и обеспечение сбалансированности макроэкономических показателей с основными статьями федерального бюджета. При этом необходимо учитывать ряд прямых и обратных связей: налоговые поступления в бюджет зависят от объема налогооблагаемой базы, т. е. от результатов экономической деятельности; распределение бюджетных средств осуществляется с учетом необходимых расходов на социальные нужды, на капитальные расходы и др. В зависимости от внутренней и внешней рыночной конъюнктуры государство регулирует финансовые потоки, определяя тем самым развитие экономического потенциала и социальной сферы в регионах и стране в целом.
Основные направления совершенствования методологического обеспечения в области формирования проекта федерального бюджета включают в себя:
а) пути совершенствования бюджетной классификации;
б) формирование принципов бюджетного планирования и контроль их соблюдения;
в) определение условий и порядка применения различных форм бюджетного планирования;
г) выбор способов бюджетного планирования;
д) определение порядка организации работ по осуществлению бюджетного планирования и др.
Нужно отметить особую актуальность нового подхода к формированию принципов финансового планирования, который заключается в ориентации на достижение конкретных результатов. В этом направлении уже ведется работа в ряде федеральных органов исполнительной власти по апробации механизмов программно-целевого бюджетирования.
Составление прогноза консолидированного бюджета и проекта федерального бюджета РФ осуществляется с использованием следующих исходных материалов:
а) нормативных и директивных документов – налогового законодательства, Бюджетного послания Президента РФ и др.;
б) экономической информации – прогноза социально-экономического развития, плана развития государственного сектора экономики, прогноза сводного финансового баланса;
в) экономических нормативов – нормативов финансовых затрат по направлениям расходов.
Разработка программ государственных внешних и внутренних заимствований РФ включает определение источников заимствования, сумм заимствования, сроков погашения, цели заимствования и направления использования, оценку расходов на обслуживание государственного долга.
Порядок составления проекта федерального бюджета предполагает, что он является исключительной прерогативой Правительства РФ. Определены календарные сроки выполнения каждого этапа работы над федеральным бюджетом на очередной год. Существует установленный режим обсуждения, принятия и утверждения федерального бюджета. По аналогии с разработкой федерального бюджета установлен порядок формирования бюджетов субъектов РФ и местных бюджетов, для которых предусмотрена возможность внесения поправок соответствующими органами власти (при условии, что не будут нарушены требования Бюджетного кодекса РФ).
1.5. Возможности контроллинга как инструмента государственного планирования
В России наблюдается рост активности в сфере государственного планирования, проявляющийся как в расширении масштабов планирования, распространении его на разные сферы и уровни государственного управления, так и в совершенствовании методологии процесса планирования.[27] Несмотря на эти позитивные тенденции, сложившаяся к настоящему времени практика планирования еще далека от оптимального уровня. Качество планов и программ далеко не в полной мере соответствует потребностям управленческого процесса, важнейшим структурным элементом которого является государственный план.
В рамках сложившихся организационных форм государственного планирования трудно достичь принципиальных сдвигов в качестве планирования. Ряд объективных и субъективных факторов составляет те ограничительные условия, которые препятствуют формированию более совершенной модели государственного планирования. Необходим поиск инновационных решений в области государственного менеджмента (истеблишмента), которые позволили бы более эффективно использовать ресурсы, затрачиваемые на цикл плановых работ. В этом направлении следует осуществить комплексную разработку новой модели планового процесса, в которой последовательно соблюдались бы изложенные в табл. 1 принципы планирования.
Такая модель уже существует и вполне успешно функционирует в сфере корпоративного менеджмента и именуется контроллингом. Контроллинг является общепризнанным, эффективным инструментом управления. Его потенциальные возможности достаточны для применения на уровне государственного управления и, в частности, при реализации важнейшей функции государственной власти – планирования. Для реализации этой идеи необходимы следующие условия: профессиональное владение научными основами контроллинга, осознанная и целенаправленная деятельность по внедрению контроллинга, существенная модификация методологии контроллинга применительно к новой сфере его использования.
Принимая решение о внедрении системы контроллинга, необходимо учитывать, что, как показывает практика контроллинга на предприятиях, он может оказаться неэффективным при несоблюдении научных основ его организации.
При определении теоретической базы контроллинга как инструмента государственного планирования необходимо решить следующие основные задачи.
1. Определить статус контроллинга как структурного элемента системы планирования. При этом контроллинг как элемент единой системы обладает теми же признаками и свойствами, что и система в целом. Но, будучи относительно самостоятельным и специфическим элементом этой системы, контроллинг обладает своими особыми качествами и находится в специфических формах взаимодействия с другими элементами системы и системой планирования в целом. Контроллинг является инструментом планирования, поэтому его функции имеют форму «услуги», т. е. он призван выполнять обязанности по методическому и информационно-аналитическому сопровождению, по подготовке проектов. Контроллинг не может исполнять функцию принятия решений.
2. Определить основные признаки контроллинга, отличающие его от иных структурных элементов системы государственного управления. К числу таких признаков относятся: а) независимость службы контроллинга от иных структурных элементов системы, что должно обеспечить объективность получаемых результатов; б) отсутствие права принимать управленческие решения, ограничиваясь функцией их сопровождения, поддержки; в) наличие права запрашивать и получать необходимую для работы информацию; г) в основе работы контроллеров должны быть новейшие научные разработки в области планирования, а также необходимо осуществление самостоятельного творческого поиска и разработки новых методологических решений; д) контроллинг как централизованная система связывает воедино все звенья участников и разработчиков плана, обеспечивая функцию координации и взаимосогласования.
3. Контроллинг, будучи структурным элементом планирования, должен, как и планирование в целом, осуществляться как непрерывный процесс, включающий определенные этапы и фазы. Их характер и содержание определяются особенностями предмета и сферы планирования. Так, отраслевое планирование осуществляется по иным правилам и методам, чем региональное планирование. Соответственно будет определяться и специфика контроллинга.
4. Разработать и последовательно соблюдать определенный алгоритм (регламент) функционирования службы контроллинга, т. е. должны быть определены механизмы взаимодействия службы контроллинга с иными участниками процесса планирования, пределы полномочий и обязанностей; установлен порядок финансирования, приемки выполненной работы, контроля качества результатов и т. д.
5. Возможно существование нескольких моделей контроллинга в зависимости от принятого порядка организации и методологии процесса планирования, от особенностей предмета и объекта планирования, от величины горизонта планирования, от располагаемых информационных технологий. Конкретный вид модели контроллинга обязан соответствовать особенностям практики планирования в каждом конкретном случае, но при этом должны соблюдаться общие принципы и правила контроллинговой деятельности в планировании. Учитывая, что обычно разрабатывается и реализуется одновременно комплекс планов, модель контроллинга необходимо сориентировать на выполнение функций контроллинга по всему циклу работ в области планирования. Конкретные же исполнители осуществляют свои специализированные функции в области планирования. Главной особенностью контроллинга является то, что он интегрирует, координирует и обеспечивает единство, эффективность всего цикла выполняемых плановых процедур.
6. Координирующая и интегрирующая функция контроллинга в области государственного планирования на практике должна воплощаться следующим образом. Органы исполнительной власти представлены относительно автономными структурами – они дифференцированы по отраслевому принципу (министерства, службы) и по территориальному принципу (федеральный, региональный и местный уровень). Каждая из этих структур власти осуществляет стратегическое и текущее планирование в пределах своей компетенции. Таким образом, единый процесс народно-хозяйственного планирования распадается на отдельные блоки, которые, по существу, взаимосвязаны, пересекаются, дополняют друг друга, но в экономических планах эти связи крайне трудно воспроизвести с достаточной полнотой и точностью. Функция контроллинга в планировании, благодаря независимости его служб, призвана компенсировать указанное противоречие, т. е. контроллинг мог бы обеспечивать интеграцию всех территориальных и отраслевых планов в единый народнохозяйственный план. Эта идеальная модель государственного контроллинга может быть реализована лишь при условии преодоления ряда ограничивающих факторов. Первым таким фактором является то, что по своему статусу служба контроллинга может на основе своих научно-практических разработок формировать предложения и рекомендации. Вторым ограничивающим фактором выступает несоответствие официального территориального деления страны и фактически сложившейся практики разграничения территорий по функциям управления. Речь идет о том, что в соответствии с Конституцией Российской Федерации различают федеральный, региональный и местный уровни. На практике объектами управления и планирования являются РФ, федеральные округа, субъекты РФ, города и отдельные населенные пункты, муниципальные образования. Таким образом, федеральные округа и самостоятельные населенные пункты, будучи объектами управления и планирования, не обеспечены соответствующими официальными властными структурами, аналогичными другим объектам управления.
Контроллинг в государственном планировании должен осуществляться на основе базовых принципов, действующих в сфере планирования (см. табл. 1). Помимо этого, дополнительно необходимо принимать во внимание следующие принципы, определяемые спецификой контроллинговой деятельности.
1. Контроллинг – один из субъектов государственного планирования, выполняющий специфические функции по научно-методологическому обеспечению процесса планирования и по координации деятельности остальных субъектов планирования.
2. Функцией контроллинга является контроль и обеспечение баланса целей, т. е. на всех этапах процесса планирования – от этапа целеполагания до момента завершения планового периода – служба контроллинга обеспечивает согласование целей, управление ими и их достижение по направлениям:
а) взаимоувязка элементов системы целей;
б) баланс целей на разных этапах планирования;
в) баланс целей данного комплекса планов с планами смежных объектов планирования и с планами более высокого уровня государственного управления.[28]
3. Контроллинг призван обеспечивать в плановом процессе наличие механизмов обратных связей между объектом и субъектом планирования, обеспечивать согласованность прямых и обратных связей. Принцип обратных связей состоит в том, что на основе мониторинга от объекта планирования в регулярном режиме поступает информация о ходе выполнения плана, о возникающих отклонениях от плановых параметров и причинах этих отклонений. По каналам обратной связи может также поступать упреждающая информация о предстоящих или возможных отклонениях от плановых показателей.
4. Важнейшей особенностью контроллинга является ориентация такой деятельности на конечный результат, что в полной мере относится к контроллингу в сфере государственного планирования. Это означает, что все промежуточные этапы и все частные виды плановой деятельности должны быть подчинены и приведены в соответствие конечной цели, предусмотренной государственным планом. С этих позиций производится также оценка влияния внешних и внутренних факторов, которые непосредственно оказывают воздействие на текущие процессы. Интерпретировать же их следует с позиций оценки последствий воздействия факторов на конечный результат функционирования планируемых объектов. Стартовые условия, в которых находятся объекты планирования, также должны оцениваться с точки зрения их роли в формировании состояния объекта на конечную дату планового периода.
5. Важнейшим принципом контроллинговой деятельности является соответствие содержания этой деятельности полному кругу всех задач и процедур, представленных в процессе планирования. При этом роль контроллинга определяется его информационно-методологической направленностью, т. е. он обеспечивает научно-методологическое сопровождение, осуществляет планово-контрольные расчеты, интегрирует все блоки числовой информации и на этой основе выполняет диагностические и аналитические функции, формирует проекты управленческих решений по вопросам планирования.
Содержание контроллинговой деятельности имеет свою специфику на разных этапах планирования. При этом сохраняют актуальность на всех этапах наиболее общие принципы контроллинговой деятельности. Вместе с тем существуют частные принципы, которые наиболее важны применительно к определенным этапам процесса планирования. В частности, некоторые принципы контроллинга наиболее значимы на этапе экономического прогнозирования.
Контроллинг представляет собой один из структурных элементов системы государственного планирования и при этом обладает своими специфическими особенностями, отличающими его от других элементов. Главной особенностью контроллинга является то, что он интегрирует весь комплекс инструментов, используемых в процессе планирования. Так, в службе контроллинга интегрируются функции оперативного и стратегического контроллинга, реализуется взаимосвязь всех этапов планирования, формируются различные варианты сценария развития и прогноза. В рамках контроллинга на предприятиях эта интегрирующая функция может быть реализована двумя способами: 1) служба контроллинга может полностью принять на себя функцию планирования; 2) служба контроллинга может выполнять координацию и интеграцию функций планирования, осуществляемых соответствующими структурными подразделениями предприятия.
При условии создания службы государственного контроллинга первый способ может иметь крайне ограниченную сферу применения, так как существует сложившаяся дифференциация и относительная обособленность структур власти, осуществляющих функции управления и планирования в том числе. Более реальным является второй способ, при котором служба контроллинга, как подразделение государственного органа, осуществляет интеграцию процедур планирования. Таким образом, формируемые частные планы интегрируются службой контроллинга в единый сводный план, составные элементы которого взаимосогласованы. Такая согласованность может быть достигнута, если служба контроллинга осуществляет координацию, консультации, контроль в ходе выполнения всех этапов процесса планирования. Так, например, при составлении плана социально-экономического развития субъекта РФ необходимо обеспечить согласованность планов всех муниципальных образований, входящих в состав данного субъекта РФ. Эту функцию могла бы выполнять служба контроллинга, созданная в рамках исполнительной власти субъекта РФ.
Создание службы контроллинга должно начинаться с решения следующих основных вопросов: 1) предварительной оценки эффективности такой службы, которая производится путем сопоставления конкретных ресурсных затрат на нее и ожидаемого экономического и социального эффекта по результатам ее деятельности (методологии такой оценки не существует, поэтому при создании службы контроллинга возникнет необходимость ее разработки); 2) в случае принятия решения о создании службы контроллинга следует обеспечить нормативно-правовую базу, регламентирующую статус и функции этой службы; вид нормативно-правового документа определяется тем, на каком уровне государственной власти предполагается создание службы контроллинга; 3) при создании службы контроллинга может быть предусмотрено, что служба контроллинга выполняет функции, ограниченные исключительно сферой государственного планирования, либо служба контроллинга осуществляет сопровождение всех функций управления и функцию планирования в том числе.
1.6. Нормативно-правовое обеспечение разработки концепции социально-экономического развития на мезоуровне
Социально-экономическое развитие – это процесс, который необходимо прогнозировать, планировать, регулировать, контролировать, т. е. необходимо разрабатывать программу социально-экономического развития, обеспечивать и контролировать ее реализацию. Исходным условием для успешного решения этих задач является наличие соответствующей нормативно-правовой базы. По своему содержанию нормативно-правовые акты, регламентирующие процесс работы над программой социально-экономического развития от ее разработки до реализации, должны отвечать ряду требований.
Прежде всего необходимо законодательно закрепить принцип общего охвата всех уровней управления – федерального, регионального и местного – программами социально-экономического развития. Правовое регулирование должно распространяться на все составляющие процесса обеспечения программ социально-экономического развития.
Актуальность этих моментов, к сожалению, осознана в недостаточной мере. В научных публикациях крайне редко упоминаются проблемы нормативно-правового обеспечения государственного регулирования социально-экономического развития и тем более отсутствуют варианты разработок комплекса научных положений по этому вопросу.
Следствием такого положения являются: отсутствие унифицированных методик, бессистемность в работе над составлением программ, недостаточный контроль реализации принятых программ. Едва ли ни самым убедительным подтверждением существования указанного пробела является отсутствие единого общепринятого названия документа, в котором дано обоснование и изложено содержание программы социально-экономического развития территории страны, региона, муниципального образования. Важность единообразия в наименовании данного программного документа обусловлена тем, что название содержит ключевые слова, изначально определяющие направленность всего содержания документа.
Наиболее часто можно встретить такие термины и обозначения, как «Основные направления стратегии социально-экономического развития…», «Стратегический план развития…», «Стратегия развития…», «Концепция Генерального плана…», «Концепция развития…», «Доктрина развития.» и др.
Термин «концепция» используется для обозначения основополагающей идеи, единого замысла чего-либо. Программный документ о развитии территории должен быть по своей сущности развернутым изложением единой основополагающей идеи, которая воплощена в стратегических целях и конкретной системе частных задач, реальность которой подтверждена соответствующим ресурсным обеспечением.
Необходимо специальным нормативно-правовым актом установить общие положения о порядке составления концепции, о типовой структуре, о примерном ее содержании. Предварительно важно определить следующие исходные условия.
1. Как должны соотноситься федеральные, региональные и местные концепции социально-экономического развития по способам правового регулирования, по методам разработки, по своему содержанию.
2. В какой мере дифференцирован комплекс объективно существующих условий формирования и реализации концепции и, прежде всего, стартовых политических, экономических, социальных, финансовых, природно-географических и иных факторов.
3. Какими полномочиями в области разработки и реализации концепции должны быть наделены органы власти разных уровней, и как эти полномочия должны согласовываться с их остальными функциями и полномочиями.
4. В какой мере обязательным должно быть выполнение органами государственной власти функций по разработке и реализации концепции.
5. Каковы пределы их ответственности за качество концепции ее и реализации.
6. В каких пределах допускаются отклонения от типовой модели концепции, обусловленные спецификой конкретных условий на территории и творческой инициативой разработчиков и исполнителей концепции.
Региональные концепции социально-экономического развития должны быть в определенной мере согласованы с содержанием федеральных концепций, целевых программ, индикативных планов развития национальной экономики и социальной сферы. Но, к сожалению, сами эти документы федерального уровня остаются несовершенными. В современной практике разработки подобных федеральных документов избегают обращения к наиболее точному и обязывающему документу – индикативному плану развития, что обусловлено, видимо, желанием уклониться от принятия таких документов, за исполнение которых предусматривается более высокий уровень ответственности соответствующих органов исполнительной власти.
Можно ожидать, что в перспективе индикативное планирование на федеральном уровне займет свое должное место в числе функций федеральных органов государственной власти. Поэтому целесообразно определить примерные направления и способы гармонизации региональных концепций с федеральной концепцией, индикативным планом и иными программными документами в области регулирования социально-экономического развития страны. Основными связующими моментами в содержании региональной и федеральной концепций являются следующие:
♦ цель региональной концепции не должна вступать в противоречие с целью федеральной концепции и, более того, должна способствовать наиболее успешной реализации федеральной цели;
♦ качественные показатели, представленные в федеральной концепции, служат общим ориентиром, своего рода нормативом при формировании одноименных показателей региональных концепций; вместе с тем в каждом регионе этот «норматив» должен быть скорректирован с учетом местных условий;
♦ объемные, абсолютные показатели, представленные в региональной концепции, должны примерно соответствовать доле каждого региона в совокупном экономическом потенциале страны в разрезе рассматриваемой характеристики этого потенциала;
♦ целевые показатели темпов экономического роста на предстоящие годы, представленные в региональной концепции, должны быть согласованы с соответствующими показателями федеральной концепции с учетом специфики условий региона;
♦ необходима согласованность хронологических параметров региональных и федеральной концепций: горизонта среднесрочных и долгосрочных целевых показателей концепций, периодичности текущего контроля хода реализации концепций;
♦ следует согласовывать программы и методики социально-экономического мониторинга на федеральном и региональном уровнях;
♦ финансирование региональной концепции, как базовое условие ее ресурсного обеспечения, ориентированное в основном на финансовое самообеспечение региона, может быть расширено за счет средств федерального бюджета, если последнее предусмотрено расходной частью федерального бюджета.
Указанные моменты согласованности федеральной и региональных концепций отнюдь не означают полной их идентичности. С позиций системного подхода региональные концепции по отношению к федеральной концепции выступают как подсистемы, входящие в состав общей системы. Это означает наличие относительной автономности и качественного своеобразия каждой подсистемы при сохранении единых системообразующих свойств у всех подсистем. Тем самым создаются предпосылки для действия механизмов прямых и обратных связей в пределах системы. Эти взаимосвязи обеспечивают достижение целей и эффективность функционирования системы в целом. Таким образом, соблюдение принципов системного подхода при формировании организационно-методической базы является условием реалистичности и результативности концепций регионального развития. Создание организационно-методической базы региональных концепций включает научно-практическую деятельность по разработке проекта такой базы и последующее ее закрепление в соответствующих нормативно-правовых актах.
Пакет нормативно-правовых документов, регламентирующих порядок составления и реализации региональных концепций, должен включать:
а) нормативно-правовой акт федерального значения, содержащий общие положения о порядке разработки, содержании, способах реализации концепции, контроле и оценке итогов ее исполнения;
б) нормативно-правовой акт регионального значения аналогичного содержания, составленный с учетом положений федерального нормативно-правового акта и специфики целей социально-экономического развития каждого конкретного региона и с учетом стартовых условий социально-экономического развития в регионе;
в) прочие региональные нормативно-правовые акты, фиксирующие конкретные решения по вопросам разработки, хода реализации и результатов реализации концепции.
В указанных правовых актах необходимо предусмотреть положения о типовой форме бумажного и электронного вида текста концепции. В типовой форме определяется примерное содержание концепции, ее структуризация по разделам и подразделам. Указывается перечень обязательных реквизитов. Должна соблюдаться единая схема размещения информации на носителе. Необходимо определить примерный перечень приложений к основному документу, который может включать методические указания и инструкции, образцы сопутствующих документов и пояснительной записки к концепции. Определяется, в какие адреса рекомендуется направлять копии концепции и в какие адреса их поступление является обязательным. Например, целесообразно ознакомить с концепцией органы исполнительной власти смежных регионов и регионов, с которыми сложились тесные экономические связи. Обязательным должно быть направление концепции региона в Министерство экономического развития и торговли. Она может быть направлена и в другие ведомства по их заявкам и запросам. Должны быть предусмотрены рекомендуемые и обязательные сроки передачи копии региональных концепций, определены виды используемых средств связи. При формулировке положений правовых актов по перечисленным вопросам необходимо учитывать новые требования к правительственным документам и документам региональных органов власти, вытекающие из федеральных программ по созданию в Российской Федерации «электронного правительства».
Разработка типовой формы концепции могла бы быть одной из функций специально созданного, постоянно действующего научно-консультационного центра. Такой центр должен функционировать на федеральном уровне и поддерживать регулярные контакты с региональными службами, обеспечивающими разработку и реализацию региональных концепций. Центр должен иметь в своем составе сотрудников, работающих на постоянной основе и привлекаемых на договорных началах, высококвалифицированных специалистов в области экономической теории, макроэкономического прогнозирования и планирования, административного и гражданского права. Принятая типовая форма концепции должна быть утверждена в соответствующем порядке, что закрепляется правовым актом федерального уровня. Информация об этом должна быть доведена до сведения органов исполнительной власти всех регионов страны.
На основе типовой формы регионы разрабатывают свои варианты образцов бумажных и электронных носителей информации о концепции. При этом некоторые разделы и подразделы, не актуальные для конкретного региона, могут отсутствовать или быть представленными в сокращенном варианте. Другие разделы, напротив, могут потребовать более детальной проработки, чем это предусмотрено типовой формой.
Требует правовой регламентации вопрос об унификации процедур по составлению, обсуждению и утверждению концепций развития регионов. Это наиболее надежный способ достижения единообразия этих процедур, что необходимо для обеспечения единого уровня правовой силы концепций развития разных регионов и единой меры ответственности за качество концепций, за надлежащую их реализацию. Разработку правовых положений о порядке формирования и утверждения региональных концепций мог бы осуществлять указанный выше научно-консультационный центр на тех же началах, что и формирование типовой формы носителя информации о концепции.
В качестве принципиальных положений о процедурах по формированию концепций регионального развития необходимо предусмотреть следующие положения.
♦ Привлечение к разработке проекта концепции:
а) ведущих ученых региона, специализирующихся в области экономики и права;
б) представителей бизнеса, наиболее компетентных в вопросах социально-экономического развития региона;
в) должностных лиц региональных органов власти, свободно владеющих информацией о ситуации в регионе и обладающих необходимым для принятия нетривиальных решений творческим потенциалом.
♦ Участие общественности региона в обсуждении проекта концепции, что может быть обеспечено активным использованием средств массовой информации и привлечением к организации такого обсуждения специалистов-профессионалов по связям с общественностью.
♦ Обеспечение гласности при прохождении всех этапов формирования концепции. Это исключительно важно как одно из условий успеха в реализации концепции, так как способствует широкой поддержке проекта населением региона. Необходимо стремиться к тому, чтобы население понимало и принимало цели концепции, осознавало те конкретные позитивные результаты, которые несет реализация концепции конкретным группам жителей региона.
♦ В нормативно-правовом документе должно быть прописано, что концепция обретает юридическую силу с момента ее утверждения уполномоченным органом региональной власти. Следует определить единый для всех регионов порядок утверждения концепции: какой орган утверждает, в каком составе, какова форма голосования, на каких основаниях проект может быть отклонен или возвращен на доработку, в каком порядке вносятся поправки, в каком порядке вносятся последующие изменения и дополнения в документ.
Специальной правовой регламентации требуют вопросы текущих организационных мероприятий по реализации концепции. К числу таких вопросов относятся следующие.
♦ Комплексная оценка стартовых условий в регионе путем формирования системы базовых показателей, характеризующих состояние: а) внутренней среды региона по кругу объективно заданных стабильных параметров – природно-географическое положение, обеспеченность транспортными связями с другими регионами, разведанные и неразведанные объекты природных ресурсов; б) состояние экологии, наличный производственный и научно-технический потенциалы, количество и качество трудовых ресурсов, демографический и социальные потенциалы, состояние финансово-кредитной системы, характеристики результатов функционирования экономики – валовой региональный продукт; объем конечного потребления, уровень производительности труда, степень вовлеченности во внешнеэкономическую деятельность – объем экспорта и импорта.
♦ Формирование системы стандартов, нормативов и классификаторов, которые должны быть заложены в основу разработки комплекса целевых показателей концепции.
♦ Определение конкретного списка ответственных исполнителей по этапам реализации концепции, по каждому разделу и подразделу концепции с указанием конкретных функций и формы ответственности.
♦ Поэтапный календарный план реализации концепции с обозначением содержания этапов, конкретных дат или интервалов времени выполнения работ.
♦ Расчет потребности в ресурсах, необходимых для реализации концепции, раздельно по видам ресурсов: финансовых, материальных (по их видам), кадровых, информационных, инновационно-технологических, интеллектуальных. По материальным и финансовым ресурсам составляется смета расходов на основе калькуляции. При формировании денежной оценки расходов необходимо предусмотреть последующую корректировку с учетом инфляции и изменения курса валют.
♦ Профессионально-квалификационный уровень разработчиков региональных концепций социально-экономического развития в целом ниже, чем у разработчиков федеральных программ развития. В этих условиях особенно важно обеспечить наличие и доступность нормативно-правовых, методических и информационно-консультационных материалов и документов, позволяющих должностным лицам на местах ознакомиться с общими правилами и нормами разработки региональных концепций развития.
♦ Планирование социально-экономического мониторинга хода реализации концепции, включающего текущую регистрацию результатов, их обобщение и анализ, оценку позитивных и негативных отклонений от намеченных значений показателей, выявление причин и последствий этих отклонений.
♦ Осуществление корректировки значений целевых показателей в случае необходимости, с обоснованием ее целесообразности и правомерности.
♦ Текущая оценка изменений факторов внешней среды, влияющих на ход реализации концепции.
♦ Оценка конечных результатов реализации концепции, оценка эффективности реализации концепции с позиций: а) измерения суммы результата в расчете в среднем на рубль затрат, б) оценки степени достижения цели концепции.
По существу, практическая реализация концепции является делом рук занятого населения региона. Поэтому на всех этапах реализации концепции необходимо обеспечивать классность и стабильную связь с общественностью. Тем самым будет обеспечиваться лояльность населения к реализации концепции и будут действовать механизмы обратной связи, что позволит организаторам своевременно внести необходимые коррективы в план мероприятий с учетом отношения населения к проводимым работам.
Существенным фактором повышения эффективности процесса реализации концепции могло бы стать использование метода государственного контроллинга, который целесообразно сформировать по аналогии с используемым на практике контроллингом в управлении организациями.[29]
Существенным разделом нормативно-правовых документов, регламентирующих формирование и реализацию региональной концепции, должен быть комплекс положений о государственном контроле и формах ответственности. Функция контроля должна охватывать все этапы работы над концепцией. Первоначально необходим контроль качества самого документа (концепции), определяющего цели и содержание программы социально-экономического развития региона. Оценка производится с позиций достижимости целей и обеспеченности ресурсами, оптимальности предполагаемого способа использования этих ресурсов, целесообразности выбора хронологических сроков выполнения каждого этапа и т. д.
Контроль должен осуществляться на каждом этапе реализации концепции с оценкой отклонений от намеченных промежуточных результатов. Контроль в значительной мере опирается на результаты мониторинга, что обеспечивает достоверность выводов.
Все выявленные в результате этих мероприятий отклонения от намеченных параметров должны подразделяться на две группы: обусловленные объективными причинами и вызванные ошибочными действиями, непрофессионализмом, недобросовестностью исполнителей. В каждом из этих случаев корректировка ситуации осуществляется специфическими методами. Различными должны быть решения и о мерах ответственности лиц, в чьи обязанности включалось исполнение конкретных функций в рамках концепции. Особое значение имеет упреждающий контроль, призванный предупредить возможность возникновения нарушений в ходе реализации концепции.
Практическую реализацию изложенных выше соображений и предложений о нормативно-правовом регулировании разработки региональных концепций социально-экономического развития следует начинать с анализа действующих нормативно-правовых актов, регламентирующих данную сферу общественных отношений.
1.7. Сущность прогнозирования и планирования деятельности предприятия в условиях рыночной экономики
В течение ХХ в. сформировались базовые принципы управления организациями, был разработан ряд концепций, определены методики. Ведущая роль в этом процессе принадлежит планированию и прогнозированию. По мере накопления и практического закрепления опыта и знаний новые технологии управления стали одним из решающих факторов успешного функционирования предприятий в условиях непредсказуемости конъюнктуры и жесткой конкуренции на современных рынках.
Базой планирования является предварительно разработанный прогноз развития. Под прогнозированием деятельности организации понимается оценка перспектив ее развития на основе анализа конъюнктуры рынка, изменения рыночных условий на предстоящий период. Основная цель прогноза – определение наиболее вероятных тенденций развития и определение ожидаемого влияния внутренних и внешних факторов на функционирование предприятия в будущем.
Центральной проблемой планирования производства является внедрение принципиально новых инструментов в самые разнообразные структурные элементы предпринимательской деятельности: освоение новой продукции, новых промышленных технологий, новых методов менеджмента. В частности, заслуживает внимания такой революционный путь перестройки системы управления, как реинжиниринг и реализация процессного подхода в управлении бизнес-процессом. Действительно, общественный прогресс возможен лишь в той мере, в какой продуцируются инновации в разных сферах общественной жизни, и прежде всего в управлении предпринимательской деятельностью.
Нововведения составляют основу развития экономических систем, определяют темпы роста и качественные сдвиги в их эволюции, определяют структурные изменения в них. Ход и направление развития экономических систем определяются внедрением в них новых средств и способов человеческой деятельности, позволяющих эффективно и систематически преодолевать ограниченность наличных ресурсов. Инновации порождают новые потребности, цели, ценности и формы их экономической реализации. Воплощению в жизнь этих закономерностей способствует целенаправленная деятельность по составлению прогнозов и научно обоснованных стратегических и оперативных планов.
Существует ряд обязательных предварительных условий, на которые должен опираться план. Необходимо учитывать, что базовые цели в деятельности предприятия формируются как отражение целей и интересов различных групп людей, так или иначе связанных с деятельностью предприятия и вовлеченных в процесс его функционирования. Основными субъектами, чьи интересы наиболее тесно сопряжены с деятельностью предприятия и соответственно должны быть учтены при определении целей и при формировании стратегических планов организации, являются:
♦ учредители, собственники данной организации;
♦ персонал данной организации;
♦ потребители продукции, услуг;
♦ деловые партнеры организации;
♦ органы исполнительной власти и муниципальные органы и др.
Миссия фирмы и ее стратегические, оперативные планы должны в определенной мере отражать интересы всех вышеназванных субъектов. Миссия организации, воплощенная в ее планах, должна вырабатываться с учетом следующих факторов и условий:
♦ история становления и развития организации;
♦ сложившийся стиль делового поведения организации;
♦ наличные производственные ресурсы организации;
♦ индивидуальные особенности организации и профиля ее деятельности;
♦ состояние внешней среды организации.
Существует тесная связь между стратегией предприятия и разрабатываемым им планом деятельности на перспективу. Вместе с тем не существует общепринятого понимания стратегии. Одной из трактовок понятия стратегии предусматривается, что она представляет единство следующих элементов:
♦ план развития организации;
♦ приемы управления организацией как тактические ходы;
♦ типовая поведенческая модель организации;
♦ позиция организации в области ее взаимодействия с другими субъектами экономических отношений;
♦ оценка перспектив развития организации.
Таким образом, план – это понятие, которое непосредственно связано со стратегией. Под планом понимают заранее спроектированные условия и действия, которые контролируются в течение всего периода исполнения плана. Эти соотношения, как правило, отражаются в бизнес-стратегии организации.
Техника составления планов заключается в разработке внутренней документации, в которой представлен последовательно весь ход деятельности компании на определенный период времени. План представляет комплекс документов, включающий текстовую часть, расчетные таблицы с показателями, графики с изображением наиболее существенной информации, ряд приложений. Например, план обязательно содержит данные о выпуске продукции, в том числе новой, данные о ресурсном обеспечении и многое др. Содержание планов значительно отличается в зависимости от вида плана, вида основной деятельности предприятия и других факторов.
Вопросы составления планов предприятия достаточно детально разработаны в научной литературе, что не исключает сохранения ряда дискуссионных и нерешенных вопросов, о чем будет сказано в последующих главах в связи с рассмотрением конкретных аспектов планирования деятельности предприятия.
При разработке проекта плана должны учитываться стратегия организации, прогнозы на перспективу, наиболее существенные проблемы в деятельности предприятия в настоящем и возможные проблемы в будущем, предполагаемые пути и условия их решения. Конкретные процедуры разработки плана могут быть исключительно разнообразными. Как отмечает Питер Друкер (Peter F. Drucker) в своей книге «Практика менеджмента»: «Существуют сотни, если не тысячи книг об управлении различными функциями бизнеса, такими как производство и маркетинг, финансы и инженерные разработки, материально-техническое снабжение, управление персоналом, связи с общественностью и т. д.».[30]
Содержание планов, принципы и методы их разработки определяются, в целом, условиями рыночных отношений. Рынок – это интегральное понятие, включающее систему экономических отношений между людьми, которые охватывают процессы производства, распределения, обмена и потребления. Рынок является сложным механизмом функционирования экономики, основанной на разнообразных формах собственности, на товарно-денежных связях и на финансово-кредитной системе. Если раскрывать более детально сущность рыночных отношений, то следует отметить, что они также включают:
♦ отношения, связанные с взаимодействием отечественного и иностранного бизнеса в различных формах и в различных сферах деятельности;
♦ отношения, определяемые взаимодействием бизнес-структур и государства в таких формах, как совместные предприятия, предоставление предпринимателям различных льгот, кредитов, заключение договоров на поставки для государственных нужд и др.;
♦ процесс функционирования рыночной инфраструктуры управления, включающей в себя товарные, фондовые, валютные биржи и другие подразделения.
Исходя из сущности рынка можно сделать вывод о том, что участники рынка принимают решения и действуют в условиях значительной неопределенности и разнообразных экономических и финансовых рисков. Из этого следует, что при разработке планов и прогнозов необходимо учитывать эту специфику рыночных отношений. Она заключается в вероятностном характере не только прогноза, но в известной мере и плана.
Сущность рынка как среды функционирования бизнеса наиболее полно проявляется в его функциях, которые также подтверждают наличие факторов неопределенности и риска в рыночной среде, затрудняющих обеспечение точности прогнозов и планов. Важнейшими функциями рынка являются:
♦ обеспечение саморегулирования товарного производства;
♦ стимулирование предпринимательской деятельности;
♦ оценка общественной значимости произведенного продукта (работ, услуг) и затрат труда;
♦ регулирование экономических отношений между участниками рынка;
♦ развитие принципов самоуправления в сфере бизнеса.
Рынок – это сложная экономическая система, в составе которой представлены элементы, различные по своей экономической природе: участники рынка, разнообразные виды рыночных отношений, различные инструменты и механизмы. Характер элементов рынка должен учитываться при составлении прогноза и плана, с тем чтобы минимизировать ошибки прогноза и ошибки плана. В полной мере этого достичь невозможно, поэтому по мере прохождения планового периода тщательно отслеживаются возникающие отклонения от плановых показателей и корректируется план на последующие годы.
К числу наиболее значимых элементов рынка относятся:
♦ производители товаров, работ, услуг;
♦ потребители товаров, работ, услуг;
♦ наличие государственной, муниципальной, частной, смешанной форм собственности;
♦ цены;
♦ спрос на товары, работы, услуги;
♦ предложение товаров, работ, услуг;
♦ конкуренция;
♦ рыночная инфраструктура.
Важнейшей особенностью рынка является его свойство саморегуляции, выражающееся в механизме взаимодействия спроса и предложения. Движение цен и конкуренция обеспечивают гибкость и адаптивность рыночных отношений. С точки зрения планирования эти свойства являются факторами, затрудняющими достаточно точную оценку конъюнктуры рынка на перспективу и соответственно – достижение высокой точности плана.
Специфика внутрифирменного планирования определяется особенностью места предприятия в системе общественных отношений. Это находит выражение в следующем:
♦ в предпринимательском секторе экономики функционируют частные владельцы, несущие полную ответственность (вплоть до разорения) за достижение успеха;
♦ предприниматель действует в условиях гарантированной законом свободы выбора вида деятельности, выбора партнеров по сделкам и согласования с ними цены продажи;
♦ объективно реальность плана предприятия постоянно проверяется спросом покупателей;
♦ формирование плана деятельности предприятия осуществляется на базе всей социально-экономической информации, которая должна быть собрана, интерпретирована и представлена соответствующими службами предприятия тому лицу, которое принимает решения и полностью отвечает за их рациональность;
♦ при формировании плана необходимо учитывать роль экономической среды, к которой нужно приспосабливаться хозяйствующим субъектам.
Контрольные вопросы
1. Сформулируйте понятие планирования.
2. В чем состоит принципиальное различие между планированием в условиях административно-командной системой управления и в условиях рыночной экономики?
3. Раскройте сущность директивного планирования.
4. Что понимается под индикативным планированием?
5. Какие свойства контроллинга определяют возможность его использования в процессе индикативного планирования?
6. Какова взаимосвязь стратегических и тактических планов?
7. Какие виды планов выделяются по хронологическому признаку?
8. Как классифицируются принципы планирования?
9. Какими факторами определяется успех в разработке планов социально-экономического развития?
10. Раскройте сущность прогнозирования.
11. Каким требованиям должен отвечать прогноз?
12. Дайте сравнительную характеристику плана и прогноза.
13. По каким признакам классифицируются прогнозы?
14. Каковы цели разработки социально-экономических прогнозов?
15. Разработка каких видов прогноза предусматривается Федеральным законом «О государственном прогнозировании и программах социально-экономического развития Российской Федерации»?
16. Каким вопросам уделяется наибольшее внимание в государственных программах социально-экономического развития?
17. Каковы механизмы связи социально-экономического и бюджетного планирования?
18. Раскройте задачи и содержание бюджетного планирования.
19. Какую роль может выполнять контроллинг как инструмент государственного планирования?
20. Охарактеризуйте основные принципы государственного контроллинга.
21. Раскройте смысл концепции социально-экономического развития.
22. Какова связь между концепциями социально-экономического развития регионального и федерального уровней?
23. Какими нормативно-правовыми актами должен быть регламентирован порядок разработки и реализации региональных концепций социально-экономического развития?
24. Каковы цели планирования деятельности предприятия?
25. Какие особенности рыночных отношений наиболее актуальны в связи с планированием деятельности предприятий?
26. В чем заключается специфика внутрифирменного планирования?
Глава 2
ТЕОРЕТИКО-МЕТОДОЛОГИЧЕСКИЕ ОСНОВЫ ВНУТРИФИРМЕННОГО ПРОГНОЗИРОВАНИЯ И ПЛАНИРОВАНИЯ
2.1. Место прогнозирования и планирования в системе управления организацией
На начальных стадиях формированиях рыночных отношений в России руководство предприятий не было готово самостоятельно осуществлять прогнозирование и планирование деятельности на краткосрочную и долгосрочную перспективу.
Такое положение определялось отсутствием опыта планирования и общей нестабильностью, непредсказуемостью рыночной конъюнктуры. Первоначально заимствовался опыт зарубежных фирм. Потом постепенно накапливался собственный опыт, и вырабатывался подход к прогнозированию и планированию, особенно на крупных предприятиях. Позитивную роль сыграла и стабилизация экономических отношений в стране. Немаловажным фактором, стимулирующим обращение к практике прогнозирования и планирования, являлась необходимость соответствовать требованиям и уровню зарубежных партнеров по бизнесу.
Стратегическое планирование является более сложным, чем оперативное. Поэтому первоначально российские предприятия стали формировать бизнес-планы, которые к настоящему времени стали обязательным и полноценно освоенным элементом управленческой деятельности на предприятии. В результате проводимой методической работы были сформированы типовые планы, отвечающие мировым стандартам. Они принимались за основу при формировании конкретных бизнес-планов на предприятиях.
По мере приобретения опыта планирования стали более широко практиковаться разработки среднесрочных планов, а позже и долгосрочных (стратегических) планов. Для разработки стратегических планов необходим предварительно составленный прогноз. Таким образом сложилась практика прогнозирования деятельности предприятий.
Пока отсутствуют единые правила и порядок формирования планов и прогнозов, что в определенной мере оправдано большим разнообразием содержания и условий деятельности предприятий.
Исходным моментом в управлении предприятием является определение стратегии его развития, которая должна быть ориентирована на миссию организации. Как указано в книге «Концепция контроллинга»: «Миссия объясняет, какую роль компания хотела бы играть и какие задачи в связи с этим она собирается выполнять. В миссии содержится указание на основную цель существования компании – кто мы? почему мы существуем? кому мы приносим пользу? – из которой выводятся цели последующих уровней. Кроме того, миссия информирует об основополагающих ценностях компании и может быть дополнена базовыми принципами поведения».[31]
Стратегия предприятия понимается как описание целей и путей их достижения, которые разрабатываются в рамках стратегического планирования. Стратегическое планирование определяет исходные предпосылки для оперативного планирования. Эти предпосылки должны систематически выверяться таким инструментом, как стратегический контроль. Стратегическое планирование устанавливает ориентиры для будущей деятельности предприятия, включая продолжение уже сложившихся направлений развития и определение новых ключевых направлений бизнеса. На основе стратегического разрабатываются краткосрочные планы и планы отдельных подразделений предприятия.
Процесс планирования включает ряд последовательных процедур. Первоначально формируются реальные задачи предприятия, устанавливаются соответствующие этим задачам целевые количественные показатели, оцениваются имеющиеся ресурсы, необходимые для реализации плана. Далее подтверждается реальность поставленных задач, происходит уточнение плановых показателей, определяются конкретные методы и способы реализации плана.
Осуществление этих процедур дает наилучший результат при условии использования контроллинга, который уже обрел большую популярность в зарубежных странах и постепенно получает признание в российском бизнесе. Контроллинг представляет собой совокупность видов деятельности по координации управления и обеспечения руководства предприятия информацией для принятия оптимальных решений и достижения целей предприятия.
Контроллинг является профессиональной системой оказания помощи руководству предприятия и характеризуется обращением к будущему. Контроллинг позволяет анализировать, прогнозировать и корректировать деятельность организации по достижению плановых целей с учетом интересов деловых партнеров и конечных потребителей.
Каждое конкретное предприятие является элементом общей хозяйственной системы страны. Поэтому разрабатываемые и реализуемые предприятиями планы в конечном счете определяют состояние экономики страны. Чем более планы предприятий отвечают одновременно интересам предпринимателей и интересам общества в целом, тем более успешными являются бизнес-процессы и экономический рост страны в целом. Индикативное государственное планирование экономики является более реальным, если оно максимально согласуется с целями предприятий, которые воплощены в их стратегических планах.
Коммерческие отношения диктуют предприятию необходимость использования планирования как механизма управления, способствующего выбору эффективных путей его деятельности. По своей сути процесс планирования является фактором, направленным на достижение рыночного равновесия. Внутрихозяйственное планирование имеет ряд принципиально общих черт, независимо от конкретного вида предприятия. Планирование ориентировано на формирование алгоритмов оптимизации деятельности на предстоящие периоды. Это достигается при условии наличия строгого теоретического смысла и математического выражения конкретных целей предприятия.
План предприятия представляет формируемый с учетом прогнозных данных документ, призванный обеспечивать на будущие периоды финансовую устойчивость предприятия и повышение потенциала предприятия за счет обновления технологии, производственных мощностей, продукции.
Содержание плана должно быть ориентировано на соблюдение баланса выделяемых ресурсов. Так, например, необходимы равновесие и сбалансированность таких параметров, как номенклатура обновляемой продукции, смена технологий, инновации, объем инвестиционных затрат. Не должны нарушаться разумные пропорции между собственными средствами и долговыми обязательствами. Таким образом, для успешного выполнения задач предприятия необходимо осуществлять эффективное планирование всех видов его деятельности. Сущность планирования можно определить как создание модели желаемого будущего и определение эффективных путей его достижения.
В системе управления предприятием план является рабочим инструментом для достижения субъектом предпринимательства своих целей. План является не самоцелью, а средством достижения цели. Арсенал средств достижения цели, представленных в плане, может включать экономические, психологические, коммерческие, организационные, кадровые, технологические и иные действия. Эти средства могут меняться, что требует систематического уточнения их в соответствии с изменившимися условиями ведения бизнеса.
Качественный план, особенно стратегический, должен формироваться на основе конъюнктурного прогноза. При разработке прогноза учитываются наряду с факторами внутренней среды предприятия объективные закономерности внешней среды, механизмы рынка, оцениваются коммерческие риски и др.
Структура плана должна в полной мере согласовываться с организационной структурой предприятия. Это позволяет «расписать» план по исполнителям, по срокам исполнения и по источникам ресурсов – материальных, трудовых, финансовых и интеллектуальных. Реальность плана определяется учетом имеющихся ресурсных ограничений, сбалансированностью разделов плана по исполнителям, по времени, по ресурсам, оценкой вероятности коммерческих и иных рисков и др.
План как документ, содержащий комплексную модель будущей деятельности предприятия, должен обладать следующими свойствами:
♦ он представляет собой числовую модель будущего развития;
♦ в соответствии с планом предполагается ответственность за осуществление будущего;
♦ в плане учитываются условия внешней среды хозяйствования, в том числе конъюнктура рынка;
♦ рассматриваются возможности внутренней среды хозяйствования, в том числе имеющиеся ресурсы;
♦ план должен быть реальным, т. е. выполнимым;
♦ он отражает представление о рациональном соотношении внешней и внутренней среды хозяйствования;
♦ план устанавливает порядок поведения исполнителей при достижении целей предприятия;
♦ он является мотивированной схемой действий на будущее;
♦ положения плана являются первопричиной мотивации персонала и оценки его работы;
♦ в нем предусмотрены резервы на случай форс-мажорных обстоятельств;
♦ в плане определены меры ответственности для исполнителей;
♦ в нем отражаются интересы всех структурных подразделений предприятия;
♦ план является стабильным по времени и одновременно допускает возможности корректировок и адаптации к новым условиям работы.
Процесс планирования является органичной частью управленческой деятельности и служит средством экономического обоснования рационального поведения субъекта хозяйствования при достижении своих целей. Планирование должно основываться на определении приоритетов, средств и методов достижения целей.
Прогноз, на который опирается разрабатываемый план, является многовариантным. В процессе планирования принимаются решения на основе выбора одного из вариантов прогноза. Планирование как инструмент управления создает возможности для:
♦ достижения результата с меньшими затратами;
♦ использования будущих преимуществ среды хозяйствования;
♦ улучшения координации действий исполнителей;
♦ рационального использования имеющихся ресурсов;
♦ эффективного контроля действий исполнителей плана и т. д.
Вместе с тем процесс планирования и исполнения плана сопряжен с определенными трудностями, к которым относятся:
♦ невозможность отразить в плане все многообразие условий хозяйствования;
♦ ограниченные возможности гибкого и оперативного реагирования на изменения конкретных обстоятельств бизнеса;
♦ потребность в значительных затратах финансовых средств и рабочего времени на разработку качественного плана;
♦ невозможность в полной мере предусмотреть роль неопределенности, многомерности и стохастичности среды хозяйствования;
♦ действие фактора авторитарности руководства предприятия, который может приводить к искажению содержания плана и хода его исполнения;
♦ субъективизм взглядов исполнителей, который может нарушить соблюдение плановых предписаний.
Внутрифирменное прогнозирование и планирование, являясь органическим элементом системы управления, представляет собой процесс проектирования желаемого будущего и эффективных путей его достижения. Плановые решения должны быть обеспечены совокупностью организационно-технических, экономических, финансовых и социальных условий.
2.2. Принципы планирования и прогнозирования деятельности предприятия в условиях транзитивной экономики
В теории планирования важным аспектом является система принципов, которыми следует руководствоваться при выполнении всех этапов планирования. Принципы прогнозирования в своей основе близки, а частично полностью совпадают с принципами планирования.
Важнейшим принципом как планирования, так и прогнозирования является системность, что означает требование взаимоувязки и соподчиненности трех составляющих:
1) характеристик предприятия как объекта планирования и прогнозирования;
2) характеристик таких элементов, как виды деятельности;
3) инструментов обеспечения внутренних связей и взаимодействия предприятия с внешней средой.
Принцип комплексности прогнозирования и планирования реализуется путем построения системы индикаторов, охватывающих весь комплекс элементов и условий функционирования предприятия или осуществления конкретного вида деятельности. Например, при формировании прогноза и плана обновления оборудования необходимо предусмотреть не только технический аспект решения задачи, но и организационный, кадровый, финансовый, технологический, экономический, психологический аспекты.
Принцип целенаправленности предполагает ориентацию на четко сформулированную цель деятельности предприятия. Все планируемые организационно-финансовые мероприятия должны обеспечивать достижение именно заданной цели. Реализация данного принципа обеспечивается применением метода дерева целей – совокупности соподчиненных и структурированных целей, начиная с генеральной цели и завершая целями первого уровня управления. При этом необходимо учитывать ограниченность финансовых и иных ресурсов.
Принцип единства означает, что используемые в планировании и прогнозировании показатели должны представлять единую взаимосвязанную систему. Разработку показателей нужно осуществлять в соответствии с едиными целями деятельности предприятия. Соблюдение принципа единства показателей, представляющих содержание плана, требует, чтобы при реализации плана осуществлялась координация и интеграция действий служб и подразделений предприятия, которые будут обеспечивать выполнение плановых заданий. Показатели плана, составляющие единую систему, взаимосвязаны, поэтому необходимо контролировать их согласованность и непротиворечивость.
Существенным принципом прогнозирования и планирования является методологическая преемственность, т. е. сохранение всего прогрессивного и полезного из прошлого опыта, сложившихся традиций.
Эффективность прогнозирования и планирования определяется превышением экономического эффекта от использования прогноза и плана над затратами по их разработке.
Принцип экономичности предполагает достижение поставленных целей при минимальных затратах. Для этого используются экономические индикаторы для сравнительной оценки эффективности разных вариантов плановых решений. Экономические индикаторы формируются в соответствии с содержанием целей предприятия. Так, например, если плановые задания направлены на повышение платежеспособности и финансовой устойчивости предприятия, то используются коэффициенты ликвидности, показатели длительности погашения кредиторской и дебиторской задолженностей, коэффициенты оборачиваемости оборотных средств.
Обоснованный выбор всех хронологических параметров также является одним из принципов планирования. Такими параметрами являются: горизонт планирования, продолжительность периода разработки плана и момент начала действия плана. Выбор горизонта планирования определяется общими задачами управления предприятием. Продолжительность периода работы по составлению плана определяется путем компромисса двух условий. С одной стороны, необходим достаточный срок для сбора и обработки информации, для моделирования развития в будущем. С другой стороны, нельзя чрезмерно затягивать этот период ради получения наиболее полной исходной информации, так как сам материал устаревает и из-за потери времени план не вступит в действие своевременно.
Принцип непрерывности означает систематическую корректировку прогнозирования и планирования по мере прохождения перспек тивных сроков и в соответствии с поступлением новой информации об объекте прогнозирования и планирования. Принцип непрерывности выражается также в том, что планирование является непрерывным процессом: после завершения выполнения одного плана вступает в действие следующий план, который, в свою очередь, будет замещен новым планом и т. д. Другим аспектом принципа непрерывности является воплощение содержания долгосрочного плана в содержании нескольких среднесрочных и краткосрочных, охватывающих период долгосрочного плана. При этом каждая следующая ступень плана является более детальной и конкретной. Принцип непрерывности распространяется также на взаимосвязь плана и прогноза. С одной стороны, план есть производная от прогноза. С другой стороны, реализация плана обеспечивает информацию для составления прогноза на следующий период, а на основе нового прогноза будет оставлен новый план. Таким образом, план и прогноз взаимно сменяют друг друга.
Принцип своевременности означает, что формирование плана должно осуществляться в такие сроки, чтобы обеспечивать принятие плановых решений к моменту осуществления необходимых действий по управлению предприятием и его структурными подразделениями. Тем самым обеспечивается своевременная реализация плана и соответственно повышается степень определенности в соблюдении сроков получения конечного результата деятельности предприятия.
Принцип точности выступает как критерий качества плановых показателей, которые должны быть обоснованными, в достаточной мере детализированными и конкретными. Степень детализации показателей наиболее высока в оперативных планах, а в долгосрочных планах должны преобладать показатели более высокой степени агрегирования. Точность плановых показателей означает их соответствие имеющимся ресурсам, включая материальные ресурсы, финансовые ресурсы, трудовые ресурсы и интеллектуальный потенциал. План не должен быть чрезмерно напряженным, так как предприятие не будет располагать резервными фондами на случай ухудшения условий деятельности. Нерационален и так называемый заниженный план, при котором неэффективно используются наличные ресурсы.
Обязательным принципом является комплексная проверка плана на соответствие требованиям обеспечения экономической безопасности и финансовой устойчивости.
Принцип обоснованности означает такое качество планирования и прогнозирования, при котором вся плановая и прогнозная информация максимально приближена к реальной ситуации и получена научно подтвержденными методами. Тем самым обеспечивается повышение обоснованности плановых решений.
Принцип информативности состоит в необходимости создания системы информационного обеспечения процесса принятия плановых решений. Информационная система обеспечивает формирование массивов информации, с учетом требований различных уровней управления, и организацию информационных потоков. Информационные системы включают в себя базы и банки данных, программное обеспечение, современные информационные технологии. Соблюдение данного принципа создает предпосылки для повышения обоснованности и оперативности принятия плановых решений, а также контроль и мониторинг их реализации.
Сбалансированность в прогнозировании означает необходимость согласования разных категорий прогнозов, таких как:
1) научно-поисковые и нормативные прогнозы;
2) частные прогнозы по различным блокам целевых показателей;
3) прогнозы с разным периодом упреждения – краткосрочные, среднесрочные, долгосрочные;
4) варианты прогноза – оптимистический, средний, пессимистический.
Принцип сбалансированности в планировании понимается как взаимосогласованность:
1) общего и частных планов;
2) планов с разным сроком упреждения – краткосрочных, среднесрочных, долгосрочных.
В условиях быстро меняющейся внешней рыночной среды предприятие должно создавать систему гибкого, адаптивного планирования, обеспечивая текущую корректировку плана в соответствии с меняющимися реальными условиями хозяйственной жизни. Поэтому в настоящее время развитие предприятий представляет собой непрерывный процесс, направленный на адаптацию плановых решений, относящихся к будущему, с учетом постоянного обновления информации о состоянии дел на предприятии и условиях его деятельности.
Принцип гибкости означает такое свойство плана, при котором обеспечивается его способность менять свою направленность и числовые показатели в соответствии с изменившимися условиями деятельности. Практически это реализуется в форме текущей корректировки плана по мере прохождения планового периода. Для создания возможности таких корректировок в план должны быть заложены определенные резервы, которые выполняют также функцию своеобразного страхового фонда на случай ухудшения условий деятельности предприятия. Реализация принципа гибкости диктует необходимость специальных методик изменения плановых величин.
Принцип участия означает, что в формировании плана и в разработке системы плановых показателей должны в определенной мере участвовать все специалисты предприятия, а в отдельных случаях – также и партнеры по бизнесу. Это необходимо для того, чтобы будущие исполнители осознавали свою причастность и ответственность за выполнение плана. Широкое участие менеджеров и специалистов в разработке и обсуждении плана ценно также тем, что люди, обладающие своим видением проблем, способны предложить оригинальные и продуктивные идеи. Открытость процесса разработки плана важна и с тех позиций, что в нем участвуют представители всех структурных подразделений организации и сам план будет более реальным и исполнимым.
Необходимым принципом является учет особенностей организационно-правовой формы предприятия, его экономического потенциала, вида производственной деятельности при определении методики разработки плана и его содержания. Следует соблюдать принцип специализации структуры плана с учетом специфики направлений и форм деятельности предприятия. Например, на тех предприятиях, где предусматривается внедрение инновационных проектов, в процессе планирования должны наряду с базовой системой показателей формироваться показатели эффективности инвестиций в инновации: рентабельность инвестиций, срок окупаемости и др.
Соблюдение указанных важнейших принципов прогнозирования и планирования особенно актуально в связи с тем, что в современной России становление рыночных отношений не завершено. В России представлена транзитивная экономика, т. е. экономика переходного периода. При этом условия хозяйствования для предприятий таковы, что рыночные механизмы и инструменты не могут достаточно полноценно функционировать. Эти ограничения накладывают определенный отпечаток на способы и методы прогнозирования и планирования деятельности предприятия.
Несоблюдение любого из принципов планирования может привести к снижению надежности и эффективности плановых решений. Перечисленные принципы представляют единую систему, в которой от соблюдения одних принципов зависят возможность и эффективность реализации других.
Нельзя создать раз и навсегда единую рациональную систему планирования, так как качественный план требует периодического уточнения его методологической базы. Важным методическим принципом является корректировка плана, которая зависит не только от поступающей новой информации, но и от опыта, подготовленности и интуиции руководства, менеджеров. Действенность плана определяется его соответствием объективным условиям функционирования предприятия и целям предприятия.
Общий порядок разработки плана заключается в том, что первоначально разрабатываются варианты плана, затем они передаются для рассмотрения на высшем уровне управления и принятия одного из вариантов к реализации.
2.3. Специфика планирования в зависимости от экономического потенциала предприятия
Общие принципы и типовая методология планирования должны быть адаптированы к таким особенностям предприятий, как их размеры, масштабы производства, номенклатура и интенсивность обновления продукции (услуг), уровень ее наукоемкости, внедрение инновационных технологий.
Малые, средние и крупные предприятия, а также различные формы интеграции предприятий требуют механизма прогнозирования и планирования, соответствующего особенностям и принципам управления каждым из этих видов предприятий. Рассмотрим специфические условия планирования на малых, средних и крупных предприятиях.
В условиях малого бизнеса практически отсутствует разделение труда в сфере управления, все функции управления, в том числе планирование, осуществляет предприниматель. Из-за ограниченности финансовых ресурсов и относительно небольшого производства нет возможности иметь в штате высокопрофессиональных специалистов в области планирования и иных функций управления. Малое предприятие имеет свои преимущества и недостатки. С точки зрения планирования малые предприятия обладают следующими преимуществами:
♦ относительная простота организационно-управленческих связей, что предопределяет достаточно простую структуру плана;
♦ немногочисленность управленческого персонала, что облегчает взаимосогласование разделов плана;
♦ мобильность и гибкость перехода к новациям, легкость смены видов деятельности;
♦ узкая специализация по видам бизнеса, вследствие чего в плане также не требуется дифференциация по видам деятельности;
♦ относительная легкость переориентации вида деятельности в соответствии с меняющейся конъюнктурой рынка;
♦ высокая возможность приспособления бизнеса к местным условиям.
К числу свойств малого бизнеса, затрудняющих процесс планирования, относят:
♦ ограниченность финансовых, материальных, трудовых ресурсов;
♦ низкую кредитоспособность;
♦ высокую степень зависимости от рыночной конъюнктуры;
♦ необходимость адаптации к целям крупного бизнеса;
♦ большую трудовую нагрузку на персонал;
♦ условия труда и социальное обеспечение хуже, чем на крупных предприятиях;
♦ относительно невысокую оплату труда.
Особенностью малых предприятий является достаточно быстрая смена видов деятельности, частые случаи возникновения новых и ликвидации ранее действовавших предприятий. В связи с этим планы малых предприятий оказываются менее стабильными, чем планы средних и крупных предприятий. Возникновение новых малых предприятий может быть обусловлено обстоятельствами, которые не имеют столь же решающего значения для средних и крупных предприятий. Причины возникновения малых предприятий достаточно разнообразны:
♦ наличие оригинальной идеи (или патента), позволяющей создать новый продукт или услугу, привлекательные для потребителя;
♦ наличие достаточной суммы начальных инвестиций, позволяющих открыть новое дело;
♦ благоприятные перспективы сбыта продукции (услуг);
♦ наличие ресурса потенциальных наемных работников, необходимого для конкретного малого бизнеса, профессионального состава.
Малое предприятие отличается простейшей структурой управления, при которой каждый работник, включая собственника предприятия, обычно выполняет несколько функций. Главный собственник выполняет функции разработки стратегического, текущего и оперативного планов, а также организации деятельности предприятия, контроля, мотивации труда. При формировании плана малого предприятия обычно стоит стратегическая задача увеличения товарооборота и своей доли на рынке сбыта, так как каждое малое предприятие стремится к увеличению своего капитала и к переходу в группу предприятий среднего бизнеса.
Помимо собственника ведущую роль в малом предприятии играет главный бухгалтер, который кроме прямых обязанностей по учету хозяйственной деятельности и ведению баланса проводит анализ финансово-экономической деятельности, контролирует движение финансовых потоков и эффективность использования ресурсов.
На малом предприятии, как и на любом предприятии, должна быть обеспечена взаимосвязь текущего и стратегического планов. Основными показателями, включаемыми в бизнес-план малого предприятия, являются следующие характеристики производственной программы, дифференцированной по видам деятельности:
♦ в научно-техническом бизнесе – объем заказов на НИОКР (научно-исследовательские опытно-конструкторские разработки);
♦ в консалтинговых фирмах – объем заказов на консалтинговые услуги;
♦ в оптовой торговле – план закупок;
♦ в бытовых услугах – объем заказанных услуг;
♦ в турбизнесе – объем продаж путевок.
На основе этих базовых показателей производственных программ разрабатываются частные плановые показатели: потребность в оборотных средствах и основных фондах, необходимых для реализации производственной программы; определяются потребность в кадрах и плановый фонд оплаты труда при действующей на предприятии системе мотивации и оплаты труда.
При планировании на малых предприятиях необходимо ориентироваться в первую очередь на финансовые возможности и кредитные ограничения. В этих условиях нужно тщательно контролировать расходование средств, так как экономия всех видов ресурсов и эффективное использование имеющегося потенциала предприятия являются источниками экономического роста организации и базой для перехода в средний по размерам бизнес.
Принципиально иные цели и условия планирования существуют на средних, и особенно на крупных предприятиях. К средним предприятиям принято относить организации с численностью персонала до 500 чел. Уровень аналитической работы, качество планирования и эффективность контроллинга финансово-экономической, маркетинговой, производственной, кадровой деятельности объективно повышаются по сравнению с малым бизнесом.
На средних предприятиях план маркетинга становится базовым для планирования остальных видов деятельности, при этом необходимо предварительно определить емкость целевого рынка, возможные каналы сбыта. Производится расчет ожидаемых объемов продаж по каждому виду продукции с учетом конъюнктуры рынка. На базе полученной информации разрабатываются остальные разделы плана. В соответствии с ростом объемов производства повышается степень неопределенности в достижении конечных результатов из-за более высокой конкуренции, растет уровень хозяйственного риска, который должен учитываться в процессе планирования. Повышается актуальность разработки стратегии предприятия, которая формируется в процессе стратегического планирования.
Особенностью организации управления в среднем бизнесе является то, что генеральный директор делегирует выполнение определенных функций управления и направлений деятельности соответствующим менеджерам: по маркетингу, по финансовому и экономическому управлению, по производству, по управлению кадрами и т. п. Создаются соответствующие специализированные функциональные группы управления. Для выполнения этих работ привлекаются профессионалы, владеющие современными технологиями управления, принятия решений и ведения бизнеса.
В стратегическом плане среднего предприятия актуальными являются проблемы роста активов и уставного капитала как основы повышения залоговых гарантий и соответственно расширения возможностей привлечения инвестиций для развития фирмы. Для этих компаний характерно стремление к увеличению доли рынка, развитию сети дилеров. В целом следует отметить, что в среднем бизнесе становятся актуальными практически все процедуры и механизмы профессионального внутрифирменного планирования.
В наиболее совершенной форме современные технологии управления, в том числе планирование и прогнозирование, представлены в крупном бизнесе. Характерными особенностями крупного бизнеса являются: концентрация капитала, интеграция структурных элементов, возрастание роли внутрифирменного планирования как важнейшего элемента управления компанией. Крупным компаниям свойственны как значимые преимущества, так и определенные недостатки.
К преимуществам крупных компаний, которые должны учитываться в процессе планирования, относятся:
♦ большие производственные мощности;
♦ высокий научно-технический уровень;
♦ взаимосвязь научно-исследовательских и производственных процессов;
♦ широкая номенклатура товаров (работ, услуг);
♦ систематическое обновление ассортимента товаров (работ, услуг);
♦ освоение принципиально новых видов товаров (работ, услуг);
♦ большая возможность выпуска конкурентоспособных товаров (работ, услуг);
♦ относительно низкие удельные затраты;
♦ финансовая устойчивость;
♦ высокий уровень социальной защиты персонала. Вместе с тем у крупного бизнеса есть и свои слабые стороны:
♦ сложность внутренних и внешних коммуникационных связей;
♦ организационная инерционность структур;
♦ большая численность управленческого персонала;
♦ относительная сложность, длительность, недостаточная оперативность в принятии управленческих решений;
♦ высокие предпринимательские риски, обусловленные широким ассортиментом продукции, динамикой ее обновления.
Основными стимулами для формирования крупных предприятий выступают: большая емкость целевого рынка, высокая наукоемкость продукции, наличие реальных перспектив для извлечения сверхприбылей, наличие перспектив длительного, стабильного выпуска продукции, обладающей длительным жизненным циклом.
К категории крупных предприятий относят не только отдельные компании, но и различного типа интегрированные структуры: концерны, финансово-промышленные группы (ФПГ), холдинги, транснациональные корпорации (ТНК). К формам интеграции относятся также картель, консорциум, пул, синдикат, трест, комбинат.
Интеграция предприятий в этих структурах может быть вертикальной и горизонтальной. При вертикальной интеграции объединяются предприятия, осуществляющие последовательные операции единого цикла производства продукции – от этапа формирования источников сырья до стадии получения готовой продукции (заготовка, обработка, сборка). В условиях горизонтальной интеграции объединяются технологически однородные предприятия, например группа заготовительных предприятий, либо обрабатывающих, либо сборочных.
Особой формой интеграции является широко представленная в мировой практике диверсифицированная интеграция, при которой объединяются разнородные по отраслевой принадлежности предприятия.
Процесс прогнозирования и планирования в интегрированных компаниях имеет ряд специфических особенностей, обусловленных их организационной структурой, профилем деятельности и спецификой функций управления. В частности, большая численность работников в интегрированных компаниях предопределяет необходимость такого раздела плана, как социальная защита работающих и создание благоприятного социально-психологического микроклимата в трудовых коллективах.
Другой существенной особенностью планирования деятельности интегрированных компаний является необходимость контроллинга на всех стадиях разработки и реализации планов. Это обусловлено риском больших материальных потерь из-за недостаточного уровня аналитической работы. При принятии плановых решений необходимы данные мониторинга наметившихся тенденций воздействия внешних и внутренних факторов.
Все отмеченные особенности планирования деятельности крупных компаний предопределяют необходимость привлечения высококвалифицированных специалистов – менеджеров и контроллеров, а также необходимость создания соответствующих структурных подразделений в системе управления компаниями.
2.4. Классификация прогнозов и планов развития предприятия
Конечным результатом процесса планирования деятельности предприятия является система планов. Каждый план является элементом единого планового комплекса и решает задачи на перспективу по отдельным направлениям деятельности предприятия, по отдельным этапам развития предприятия и т. д. Множественность планов означает необходимость разграничивать разные виды планов и способность владеть методикой построения каждого из них. Однако следует помнить, что любая научная классификация несет в себе элемент условности.
Классификация планов производится путем их систематизации по типовым признакам, это позволяет определить место каждого из них в едином комплексе планов. Дифференциация планов по их видам является отражением сущности планирования и позволяет лучше понять его природу.
Любая научная классификация, подобно другим методам обобщения информации, несет в себе элемент условности. Каждый конкретный план обладает множеством свойств и особенностей, однако в основу классификации закладываются лишь несколько наиболее существенных признаков плана. Условным является также определение границ между планами разных видов. Например, определение хронологических границ между краткосрочными, среднесрочными и долгосрочными планами является субъективным решением и не имеет строго научных обоснований.
Среди всех возможных классификационных признаков наиболее важными являются: цель, период, предмет, уровень, содержание.
По целевой ориентации разграничивают стратегические и оперативные (тактические, бизнес-планы) планы, которые должны быть взаимосогласованы. Оперативные планы являются базой для регулирования производства и ежедневной деятельности фирмы.
В зависимости от горизонта планирования различают краткосрочные, среднесрочные и долгосрочные планы. В практике планирования деятельности предприятий и в научной литературе встречаются различные варианты определения сроков для каждого вида планов. Обычно краткосрочными считают планы на период до одного года или до трех лет. Бизнес-план может быть текущим (сроком на один год) и перспективным (сроком от трех до пяти лет). Долгосрочными принято считать планы на период от трех и более лет, от пяти и более лет, от десяти и более лет. Такая неопределенность затрудняет информационно-аналитическую работу, направленную на сопоставление данных по своему предприятию с характеристиками предприятий конкурентов и сопоставление со средними отраслевыми показателями. Возникают также трудности в случаях, когда стоит задача агрегирования данных в пределах отрасли или территории.
Классификация планов по признаку «предмет планирования» основана на разграничении частных планов по функциям управления, среди которых выделяются следующие функциональные планы:
♦ службы менеджмента, ответственной за управлением производством;
♦ маркетинга;
♦ финансовый, в том числе прибыли, инвестиции, рентабельности;
♦ персонала;
♦ ресурсный;
♦ организационный и др.
Классификация планов по признаку «содержание плана» предусматривает разграничение частных планов по принципу определения объекта планирования. Она близка к классификации по предмету планирования, но не идентична ей. Определяющим при данном подходе является не признак сферы планирования, а конкретные материальные объекты, такие как основные фонды предприятия, оборотные средства предприятия, виды производимой продукции, рабочая сила и др.
Современное предприятие является сложной системой, состоящей из ряда элементов, в качестве которых представлены структурные подразделения предприятия. Существуют вертикальные и горизонтальные связи между отдельными структурными подразделениями. Такая сложная организация предприятия требует составления частных планов для каждого подразделения. Из этого вытекает необходимость планирования по уровням иерархической организационной структуры. Кроме плана по предприятию в целом, разрабатываются самостоятельные планы для каждого подразделения, а в отдельных случаях – даже для отдельных исполнителей. Для каждого уровня формируются планы, которые существенно различаются по своему содержанию. Так, высший уровень руководства (топ-менеджмент) в соответствии с планом отвечает за миссию предприятия, стратегию развития, стратегические цели и стратегическое планирование. План для среднего уровня управления (функционального менеджмента) содержит прежде всего обязанности, связанные с решением вопросов тактического характера. Менеджмент среднего уровня участвует в разработке стратегических планов. Первый уровень управления (линейный менеджмент) осуществляет формирование и реализацию оперативных планов и принимает участие в годовом и стратегическом планировании.
Существование различных видов планов не означает, что на каждом предприятии обязательно представлены все виды планов. Перечень планов определяется в зависимости от особенностей предприятия, его размеров, видов основной деятельности, организационно-правовой формы и формы собственности. Таким же образом определяются различия в степени детализации и масштабах агрегирования информации. Наиболее значимыми являются возможные различия в методике составления плана. По методике разработки плана различают:
♦ матричное планирование затрат производства на основе матриц «затраты—выпуск» (модели Леонтьева);
♦ оптимальное планирование, включающее в себя целевую функцию, набор ограничений и др.;
♦ адаптивное планирование, учитывающее динамику ресурсов предприятия.
Функция планирования тесно связана с функцией разработки прогнозов развития предприятия. Виды прогнозов и их содержание в основных чертах должны быть сходны с характером планов, лишь при этом условии прогноз может служить базой для составления плана. Вместе с тем прогноз представляет особую модель будущего, принципиально отличающуюся от плана, и в силу этого имеет ряд существенных отличий от плана. Рассмотрим наиболее существенные принципиальные особенности прогнозирования деятельности предприятия.
При составлении прогноза следует четко разграничивать две группы характеристик: характеристики объекта прогнозирования и характеристики прогнозного фона. К объекту прогнозирования относятся процессы, явления и события, составляющие основные аспекты деятельности самого предприятия. Прогнозным фоном является совокупность внешних по отношению к предприятию условий, существенно влияющих в перспективе на деятельность предприятия.
Прогнозы, как и планы, классифицируются по ряду признаков. Ряд направлений классификации экономических прогнозов совпадает с классификацией планов. Рассмотрим лишь те аспекты классификации прогнозов, которые отличны от классификации планов.
По признаку проблемно-целевой ориентации выделяют поисковый и нормативный прогнозы. Поисковый прогноз определяет возможное состояние экономики предприятия в будущем в предположении, что сохранятся действующие тенденции. Основным методом разработки поискового прогноза является экстраполяция современных тенденций (трендов) на предстоящие годы.
Нормативный прогноз (программный, целевой) разрабатывается с целью определения тех путей и сроков, которые могли бы обеспечить в будущем достижение такого состояния предприятия и таких результатов его деятельности, которые желательно достигнуть в будущем, т. е. определить, что необходимо сделать для достижения цели. Основным методом нормативного прогнозирования является интерполяция, при которой заданы параметры на две даты – текущий период и дата прогноза. На годы, разделяющие эти две даты, необходимо рассчитать прогнозные значения показателей.
В зависимости от выбора хронологических точек фиксации показателей различают прогнозы дискретные, для которых характерен тренд со скачкообразными изменениями в фиксированные периоды времени, периодические – для них свойственна непериодическая функция времени и циклические – с периодической функцией времени.
2.5. Методологические основы прогнозирования и планирования
В управлении предприятием центральным звеном является разработка стратегии его развития, опирающейся на стратегический анализ стартовых условий, на оценку возможностей реализации долговременных целей и направлений развития. Прогнозирование является одним из важнейших инструментов стратегического анализа. Прогнозирование как функция управления предприятием направлено на научное исследование и оценку вероятных перспектив его развития и складывается из ряда последовательных этапов. Прогноз составляет основу для разработки планов развития предприятия.
Исходным является формирование общей концепции создания системы прогнозирования. Предприятие должно выработать концепцию прогнозирования, опирающуюся на стратегические цели, на комплекс базовых условий и ресурсов, которые будут составлять объективный фон для его деятельности в прогнозируемом периоде. В концепции прогнозирования необходимо также принимать во внимание характер и качество ожидаемых в будущем структурных, пространственных, временных, обратных связей в средах функционирования предприятия.
Так, например, системный подход к перспективной диагностике внутренних и внешних условий функционирования предприятия должен основываться на учете прямых и обратных связей. Применительно к факторам внешней среды это означает, что предприятие не только выступает объектом воздействия внешних сил, но и само способно участвовать в формировании более благоприятной для себя конъюнктуры рынка. Интенсивность такой обратной связи тем выше, чем значительнее занимаемая предприятием доля рынка, чем больше его производственный и научно-технический потенциал и др. Тем самым будет определяться преимущественная ориентация будущей маркетинговой политики предприятия на каждом конкретном этапе развития: либо на адаптационные механизмы приспособления к условиям внешней среды (только реагирование), либо на активное участие в ее формировании (держать ситуацию под контролем в возможных пределах).
Существенным концептуальным вопросом прогнозирования развития предприятия является оценка ожидаемого эффекта самоорганизации в управлении предприятием. Самоорганизация как фактор эффективности призвана обеспечить переход от простого использования производственных ресурсов к системному, расширенному их воспроизводству.
Предприятие как целостная, открытая система, являющаяся структурным элементом хозяйственных систем более высокого порядка, включено в сложную систему региональных, национальных и мирохозяйственных связей. Одна из задач прогнозирования – разработка сценариев ожидаемого в будущем развития этих связей.
Актуальность разработки концепции построения системы прогнозирования на предприятии обусловлена:
♦ усложнением структуры деятельности предприятия и его хозяйственных связей;
♦ возрастанием потребности высшего менеджмента предприятия в наиболее точном моделировании будущего;
♦ приоритетностью функции стратегического планирования в управлении предприятием, реализация которой основана на прогнозировании как на предплановой процедуре;
♦ необходимостью создания формализованного цикла прогнозных операций, основанных на расширяющихся возможностях информационного и математического обеспечения процессов прогнозирования и планирования.
На базе концепции системы прогнозирования формируются его методологические основы, определяемые сочетанием таких факторов, как целеполагание, состояние информационной базы, математического, программного и кадрового обеспечения, наличие и качество компьютерной техники. Разработка плана и прогноза осуществляется на основе общих правил, приемов и технических процедур, которые в своей совокупности образуют методологию. Основными элементами методологии планирования и прогнозирования являются система социально-экономических показателей и методы расчета числовых индикаторов на перспективу.
К основным методам планирования относятся: балансовый, экономико-статистический, нормативный, экономико-математический.
Балансовый метод планирования состоит в установлении материально-вещественных и стоимостных пропорций между показателями деятельности предприятия. Метод предполагает использование взаимно уравновешивающихся, т. е. балансовых расчетов. В одной части плановой балансовой таблицы приводится перечень ресурсов, а в другой – направления их использования.
Экономико-статистический метод планирования характеризуется ориентацией на информацию, представленную трендом динамики экономических показателей предприятия за предшествующий период. На основе этих данных осуществляется тем или иным методом экстраполяция на последующие годы, и таким образом определяется плановое значение искомого показателя. Этот метод планирования является достаточно простым с точки зрения расчетных операций. Но он имеет существенные недостатки: плановый показатель, рассчитанный таким образом, что воспроизводит тенденции, сложившиеся в прошлом, включает негативные моменты: недоиспользование резервов и иные погрешности управления предприятием в прошлом.
Нормативный метод планирования (или метод технико-экономических расчетов) заключается в расчете плановых показателей на основе использования нормативов. Под последним понимается научно обоснованная величина какого-либо показателя, либо разработанная в централизованном порядке, либо установленная законодательно, либо определяемая самим предприятием. Отраслевые нормативы не всегда способны учесть особенности различных типов предприятий.
В планировании деятельности предприятия обычно используются нормативы следующих показателей: нормативы запасов и удельных расходов сырья, материалов, топлива, электроэнергии, а также нормативы удельных капиталовложений, финансовых затрат на единицу продукции, нормы амортизации, транспортных тарифов, ставок арендной платы, ставок процентов по займам, естественной убыли материальных ресурсов.
Группа экономико-математических методов планирования отличается тем, что обеспечивает возможность оптимизации плановых решений. Эти методы также применяются в прогнозировании. Экономико-математические методы в планировании позволяют оценить и принять во внимание эффект от определенных действий работников по достижению цели, в том числе:
а) можно произвести расчеты по отдельным трудовым операциям работников с учетом производительности труда и производительности оборудования;
б) можно произвести экстраполяцию тенденций эффективности труда в прошлом на предстоящий период и др.
Сущность экономико-математических методов планирования состоит в определении количественной меры взаимосвязи между сложными социально-экономическими, технологическими и иными явлениями и процессами, измеряемыми экономическими показателями. Так, можно определить оптимальную зависимость между:
1) объемом партии товаров, сроками поставки и издержками на их транспортировку и хранение;
2) объемом выпуска продукции и издержками в сфере производства и обращения;
3) объемом капиталовложений и прибылью.
Практически любой экономический показатель предприятия может быть запланирован посредством экономико-математического метода. Применение этой группы методов способствует преодолению субъективизма в планировании и повышает научный уровень и обоснованность плана. Однако применение этих методов возможно при условии профессионального владения математическим аппаратом, наличия компьютерных программ, умения обеспечить постановку и формализацию экономических задач, а также осуществлять интерпретацию и обязательную экспертную оценку полученных данных.
Таковы основные аспекты определения методов планирования. Одновременно с методами, необходимо формировать систему плановых показателей. Показателем плана является выраженная числом с определенной единицей измерения характеристика свойства (явления, процесса, решения) экономического объекта. Показатели, используемые в плановых расчетах и экономическом анализе, классифицируются по следующим основаниям и признакам.
1. По роли в управлении различают показатели:
а) директивные, обязательные для исполнения;
б) расчетные, необязательные для исполнения, в том числе те, которыми обосновывают директивные показатели. Их количество намного больше директивных.
2. По способу измерения показатели могут быть:
а) натуральные, выраженные в физических единицах – тоннах, метрах, литрах и др.;
б) стоимостные, выраженные в денежной форме, которая является универсальной мерой оценки экономических явлений и процессов;
в) трудовые, выраженные в трудозатратах на производство товаров, работ, услуг;
г) выражены в условных единицах, применяемых для однородных, но имеющих некоторые различия, видов товаров.
3. По способу построения показатели бывают:
а) абсолютные (объемные, количественные), характеризующие объем деятельности, инвестиций и др., например, товарная продукция, грузооборот, торговая площадь, объем строительно-монтажных работ;
б) качественные (относительные), определяемые как соотношение двух абсолютных показателей.
Относительные показатели характеризуют интенсивность процесса или значимость характеристики, например, производительность труда, себестоимость продукции, средняя заработная плата, рентабельность производства, продукции, активов и др. Относительные показатели имеют много разновидностей: средние величины, индексы, показатели интенсивности динамики, оценки дисперсии, показатели структуры.
4. По роли в экономическом анализе различают показатели:
а) прогнозные;
б) плановые;
в) фактические;
г) ожидаемого выполнения.
Ожидаемое выполнение показателя определяется в период, когда еще отсутствуют фактические данные в целом за изучаемый период, но имеются результаты процесса за часть периода. Показатель ожидаемого выполнения представляет собой нечто среднее между плановым заданием и его фактическим выполнением. При расчете этого показателя учитывают, как правило, сумму фактических данных за истекшую часть планового периода и сумму плановых данных на оставшийся период планового срока.
5. По направленности показатели могут быть:
а) адресные (индивидуализированные), т. е. ориентированные на конкретного исполнителя;
б) обезличенные, предназначенные для всех исполнителей, например нормативы.
6. По формам учета и отчетности различают показатели:
а) оперативные, получаемые в процессе текущего наблюдения за процессами;
б) статистические, предусмотренные статистическим учетом и отчетностью;
в) бухгалтерские, представленные в документах бухгалтерского учета и бухгалтерской отчетности.
В заключение сформулируем несколько положений общеметодологического характера, актуальных при планировании и прогнозировании развития предприятия. Методический аппарат и выбор показателей должны быть ориентированы на реализацию принципов системного подхода. В методологическом аспекте это предполагает необходимость комплексного, разностороннего воспроизведения всех наиболее существенных аспектов работы предприятия в количественно измеренных показателях. Каждый отдельно взятый показатель является лишь частной характеристикой и способен полноценно выполнять свою аналитическую функцию, будучи включенным в общую систему показателей. Таким образом, система экономических показателей – это комплекс взаимосвязанных характеристик объекта. Эти характеристики могут быть взаимосвязаны функционально, технологически, организационно или каким-то иным образом.
Система экономических показателей отражает организацию, объем, результаты и структуру, динамику процессов; реальные связи элементов и объектов хозяйствующих единиц. Эти характеристики формируются на основе единой стандартизированной и обязательной для применения методики расчетов, установленной либо директивными документами, либо решениями на уровне самого предприятия.
Показатели бухгалтерского и статистического учета на предприятии, регламентированные государством, в основном унифицированы по отраслям и видам деятельности согласно кодам Росстата РФ и положениям по бухгалтерскому учету, разработанным Минфином РФ. В настоящее время решается задача сближения методологии расчета этих показателей с международными стандартами системы экономических показателей.
Следующим общеметодологическим положением, актуальным при проведении планирования и прогнозирования на предприятии, является обеспечение сопоставимости показателей в следующих аспектах:
а) по методике расчета;
б) по ценам, тарифам, нормативам;
в) по хронологическим параметрам;
г) по границам объектов планирования и прогнозирования и др.
Такая сопоставимость показателей достигается специальными расчетами: переводом в сопоставимые цены, в сопоставимость по времени учета, по иным аспектам.
Методология прогнозирования в основе своей близка к методологии планирования, но имеет ряд специфических особенностей. При прогнозировании существенную роль играет ряд математических и логических операций, направленных на получение оценок наиболее вероятной ситуации в будущем с учетом различных вариантов интенсивности процессов и влияния комплекса факторов. Наиболее распространенными методическими приемами, используемыми при подготовке исходной информации для прогнозирования, являются сглаживание или выравнивание динамических рядов, расчет средних значений показателей. Основными методами определения значений прогнозируемых показателей выступают: экстраполяция, нормативные расчеты, интерполяция, экспертные оценки, метод аналогии, математическое моделирование. Кратко охарактеризуем суть каждого из этих методов.
Экстраполяция – метод, при котором прогнозируемые показатели рассчитываются как продолжение динамического ряда на будущее.
Следовательно, экстраполяция является переносом закономерностей и тенденций прошлого на будущее на основе взаимосвязей показателей одного ряда. Она эффективна для краткосрочных прогнозов, если уровни динамического ряда отличаются устойчивостью.
Метод интерполяции заключается в вычислении искомой величины, которая находится между двумя известными величинами. Простейшим способом является ее определение как половины от суммы предыдущего и последующего значения. Могут применяться более сложные способы расчетов, основанные на использовании техники коэффициентов.
Экспертные оценки определяются как коллективное мнение группы специалистов-экспертов. Область применения экспертных оценок определяется в зависимости от ограничений, связанных с трудностями или невозможностью сбора информации обычным путем (отчетность, сплошные или выборочные обследования и т. д.). Разработаны специальные методики получения экспертных оценок, проверки их надежности. Наиболее известными являются Дельфи-метод, метод мозгового штурма, синектики и др. Упрощенную разновидность экспертных оценок представляют конъюнктурные совещания. Качество экспертных оценок в значительной мере определяется профессиональным опытом экспертов. Экспертные оценки могут по своей форме быть описательными и количественными.
Метод аналогии заключается в формировании экономической информации на основе аналогичных данных по другим объектам. В случае необходимости вводятся поправочные коэффициенты. Целесообразно оценить вероятную погрешность данных, полученных методом аналогии.
Математическое моделирование может осуществляться с использованием целого ряда специальных моделей, например, основанных на теории множеств, теории графов, теории вероятности и т. д. Экономико-математические методы и модели применяют с целью выбора наилучшего решения из нескольких возможных вариантов, измерения влияния комплекса факторов и условий на исследуемый параметр, классификации объектов и для решения ряда других задач экономического анализа, связанных с планированием и прогнозированием. Существуют экономико-математические модели, предназначенные непосредственно для выполнения операций по прогнозированию и планированию.
Таким образом, методология планирования и прогнозирования выступает как специальный блок приемов и действий в рамках базового комплекса методов экономического анализа. По мере эволюции экономической науки совершенствуются методы планирования и прогнозирования, обеспечивая их более высокую достоверность и научную обоснованность.
2.6. Организация планирования на предприятии
Внутрифирменное планирование является составной частью системы управления объектом хозяйствования и соответственно элементом общей организационной структуры управления предприятием. Предприятие как первичное звено экономики обладает правом самостоятельно разрабатывать планы своей деятельности. Кроме определения методологии планирования компания устанавливает последовательность этапов работы при планировании. Функция планирования в значительной мере обеспечивается системой контроллинга. Контроллер осуществляет организацию и координацию процесса планирования на всех его этапах.
Процесс планирования рассматривается представителями разных научных школ в форме моделирования стратегического плана. Наиболее известными являются концептуальные модели, разработанные представителями западных школ: модель Гарвардской группы, модель Г. Стейнера (G. A. Steiner) и др.
В отечественной литературе также представлен ряд концептуальных подходов к формированию стратегического плана предприятия. Контур стратегического планирования разработан авторами книги «Стратегический менеджмент» под редакцией А. Н. Петрова.[32] В основе этой модели лежат три постулата. Во-первых, процесс стратегического планирования рассматривается как последовательность трех этапов: анализ, целеполагание и выбор. Во-вторых, стратегия предприятия строится по иерархическому принципу, т. е. каждое подразделение предприятия имеет собственную стратегию развития, которая, как и стратегии всех остальных подразделений, интегрирована общей стратегией предприятия. В-третьих, стратегическое планирование является непрерывным процессом, включающим реализацию плана, его корректировку в случае необходимости или даже новую формулировку.
Последовательность разработки плана фирмы предполагает выполнение следующих этапов работы:
1) обоснование целей деятельности;
2) сбор экономической информации;
3) проведение комплексного экономического анализа;
4) составление прогнозов;
5) контроллинг методологии планирования;
6) собственно планирование – составление проектов общего и частных планов;
7) утверждение планов;
8) доведение планов до исполнителей;
9) выполнение плана исполнителями;
10) контроллинг и мониторинг исполнения плана;
11) корректировка плана;
12) оценка итогов выполнения плана;
13) подготовка к разработке планов на следующий период.
Планирование в широком смысле можно определить как деятельность по «формированию будущего». Такое созидание будущего состоит в целенаправленной систематической работе по построению гипотетической модели предприятия на перспективу, по определению альтернативных вариантов комплекса средств и способов достижения целей, по выбору оптимального варианта сценария развития предприятия, по выработке и реализации конкретной системы мероприятий, обеспечивающих достижение целей.
Процесс планирования можно представить как последовательный поток действий, в котором представлены следующие этапы:
1) формулировка целей;
2) постановка проблемы;
3) поиск возможных вариантов действий;
4) оценка вариантов действий;
5) принятие решения в форме определения плановых параметров;
6) руководство организацией выполнения плана;
7) реализация плановых заданий;
8) контроль хода реализации плана;
9) диагностика и тестирование результатов выполнения плана на основе сравнения плановых и фактических параметров, анализ причин отклонений.
Представленная в перечне последовательность этапов не является жестко фиксированной. За счет эффекта многообразных обратных связей может возникнуть необходимость в корректировке итогов предыдущего этапа, в согласовании решений по сопредельным разделам плана. «Неприкосновенной» остается ориентация на миссию предприятия, а конкретные средства и способы ее реализации могут видоизменяться в зависимости от динамично меняющихся условий внешней и внутренней среды предприятия.
Как видно из перечня этапов, планирование является непрерывным процессом, в котором соблюдаются принципы преемственности и непрерывности. Условность приведенного перечня состоит в том, что этапы могут разграничиваться с разной степенью детализации, а различные операции (этапы) – чередоваться в различной последовательности; возможен возврат к предыдущим этапам с целью корректировки или параллельная работа по нескольким операциям.
В рамках приведенного перечня этапов рассмотрим содержание каждого из них. Планирование начинается с выбора приоритетов в развитии предприятия, что соответствует определению целей и методов их достижения.
Работа по сбору данных при осуществлении прогнозирования и планирования во многом одинакова. Однако при планировании используется преимущественно информация о внутренней среде хозяйствования, в то время как при прогнозировании велика значимость данных о факторах внешней среды функционирования предприятия.
Комплексный экономический анализ осуществляется в форме оценки информации о настоящем и прошлом в деятельности предприятия, что необходимо для определения будущего. В процессе экономического анализа изучаются данные об экономическом, коммерческом, технологическом, кадровом и ином состоянии в прошлом и настоящем с целью оценки будущих условий и результатов деятельности предприятия. Экономический анализ является обязательным начальным этапом планирования. Он включает: расчеты экономических показателей; содержательный анализ, т. е. определение позитивных результатов деятельности; выявление негативных аспектов в итогах деятельности предприятия; общую оценку деятельности; разработку рекомендаций по улучшению экономического положения предприятия.
Разработаны стандартные процедуры и методики экономического анализа. К основным методам экономического анализа относятся: сравнение; группировка; индексный метод; метод цепных подстановок; графический метод; балансовый метод; корреляционный и регрессионный анализ; факторный анализ; маржинальный анализ; дисперсионный анализ; морфологический анализ; дельфийский метод экспертных оценок; теории игр; теория массового обслуживания и др.
На основе данных комплексного экономического анализа разрабатываются прогнозы в виде многовариантных моделей (высокий, средний, низкий варианты).
Существенную роль в обеспечении высокого качества планирования играет контроллинг, призванный обеспечить оптимизацию методики планирования и формирование исходной базы данных на основе материалов экономического анализа для составления планов. На этапе комплексного экономического анализа также используются методы контроллинга.
Следующий этап организации работ – собственно планирование, т. е. составление проектов общего и частных планов. Содержанием планирования является выполнение серии расчетов в соответствии с принятой методологией и получением системы итоговых плановых показателей.
Процесс утверждения плановых показателей включает предварительное обсуждение проекта плана заинтересованными службами фирмы, его рассмотрение высшим руководством предприятия, которое утверждает план либо возвращает его на доработку. Утверждение официальных планов фиксируется документально протоколом, приказом или распоряжением.
После утверждения планы доводятся до исполнителей: структурных подразделений, отделов, служб и отдельных работников. Необходимо обеспечить правильное понимание всеми исполнителями своих функций.
Следующим этапом является деятельность по выполнению планов, в этой работе заметную роль играют менеджеры. Важным условием успеха на этом этапе является взаимная согласованность и координация деятельности подразделений предприятия. При возникновении отклонений в отдельных звеньях производственной цепи нарушается общий цикл выполнения работ.
Весь ход выполнения плана необходимо держать под контролем. Для этого осуществляются контроллинг и мониторинг исполнения плана, включая все элементы производственного процесса и его конечный результат. Осуществляется мониторинг расходования всех видов ресурсов, проверяется соблюдение сроков выполнения производственных операций, оценивается экономический эффект по отдельным операциям и производственному процессу в целом.
При проведении контроллинга и мониторинга могут обнаружиться отклонения от плановых заданий либо изменения условий хозяйствования, что может потребовать корректировки плана по объемам, срокам, ассортименту. Сложной дилеммой в теории планирования является конфликт двух требований: адекватности и стабильности плана. С одной стороны, при разработке плана необходимо обеспечить возможность непрерывной его адаптации к изменяющимся условиям деятельности фирмы. С другой стороны, план должен быть относительно стабильным, чтобы он действительно мог служить ориентиром в работе предприятия. Разрешение данного противоречия состоит в принятии компромиссного решения на основе корректировки плана (постоянно либо эпизодически, по мере накопления его оперативных изменений). Но оба плана – первоначальный и скорректированный – должны иметь неизменные конечные параметры-критерии, позволяющие оценить степень достижения конечных целей деятельности.
При завершении планового периода подводятся итоги выполнения плана, выявляются причины и факторы отклонений, если они имели место, что должно быть учтено при планировании на следующий период.
После завершения очередного планового периода должен непосредственно включаться в действие новый план на следующий плановый период. Очевидно, что подготовка и разработка нового плана должна была осуществляться заблаговременно в период действия предыдущего плана.
Решающим фактором успешной организации деятельности по планированию является качество работы персонала, выполняющего комплекс операций в пределах перечисленных ранее этапов планирования. Качество планирования во многом определяется профессиональными качествами работников фирмы, осуществляющих функции планирования, основными из которых являются:
♦ профессиональное владение основами теории рыночной экономики;
♦ уровень интеллектуального потенциала;
♦ квалификация;
♦ опыт работы;
♦ знание современных методик экономического анализа, прогнозирования и планирования;
♦ владение информацией о зарубежном опыте планирования;
♦ осознанное и ответственное отношение к принимаемым решениям;
♦ умение предвидеть последствия принимаемых решений;
♦ способность абстрагироваться от второстепенного и выделять главное;
♦ новаторский, творческий стиль работы и мышления;
♦ склонность к поиску новых идей, полезных для фирмы;
♦ умение выявлять тенденции и закономерности, обосновывать выбор оптимального варианта плана.
Управление персоналом, занятым на разных этапах планирования, должно включать ряд обязательных мер:
1) построение системы стимулирования труда работников с учетом промежуточных результатов и конечных итогов планирования;
2) своевременное доведение до исполнителей общих целей планирования и конкретных, решаемых ими задач; необходим дифференцированный подход к информированию участников процесса планирования, выполняющих функции высшего, среднего и низшего звена в данном процессе;
3) четкое распределение функций между участниками планового процесса.
Основной объем работы по планированию выполняют сотрудники планово-экономического отдела, которые осуществляют в этой области следующие основные функции:
♦ составление и анализ статистической отчетности с целью формирования информационной базы для планирования;
♦ разработка проектов плана, расчет плановых показателей и представление их руководству предприятия;
♦ доведение плановых заданий до исполнителей;
♦ составление экономического обзора по итогам выполнения плана;
♦ определение экономического эффекта от исполнения плановых заданий.
Сотрудники планово-экономического отдела должны взаимодействовать в процессе работы над планом с работниками других служб и отделов фирмы по вопросам, связанным с планированием: получение информации, координация действий, проверка исполнения и др. Так, работники планово-экономического отдела при осуществлении плановых расчетов тесно взаимодействуют с:
♦ руководством предприятия – по вопросам определения общей стратегии развития и по организационным вопросам;
♦ финансовым отделом – по вопросам финансового планирования;
♦ бухгалтерией – по вопросам учета и отчетности;
♦ отделами маркетинга – по вопросам планирования сбыта;
♦ транспортным отделом – по вопросам планирования перевозок грузов;
♦ отделом главного инженера, технологическим и производственным отделами – по вопросам планирования производства;
♦ отделом кадров – по вопросам планирования персонала и др.
В плановой работе необходимо рациональное сочетание принципов демократизма и подчинения. Важно не подавлять творческую инициативу работников, воспитывать у них самодисциплину труда. Возможно создание временных поисковых групп, включающих работников разных служб для исследования подходов к решению специальных проблем планирования. Особенно значима роль контроллера, который является не только экономистом-исследователем, но и консультантом для руководства фирмы по различным экономическим вопросам деятельности предприятия, в том числе по вопросам планирования. Такая роль контроллера фирмы начинает проявляться и в российской экономической жизни.
Существенным организационным вопросом планирования является создание условий и определение мер по обеспечению выполнения плановых заданий. Основными из них являются:
♦ детальное и конкретное описание необходимых действий;
♦ определение перечня исполнителей с указанием решаемых ими задач;
♦ установление календарных сроков выполнения плановых заданий;
♦ определение центров ответственности по каждому разделу плана и плану в целом;
♦ ресурсное обеспечение, включая финансирование, материальное обеспечение, организационное обеспечение, технологическую базу, маркетинговую деятельность, кадровый потенциал и др.
Важным ориентиром при планировании является поддержание баланса целей и ресурсов. Это означает, что при определении перечня задач нельзя выходить за пределы реальной ресурсной обеспеченности производственного процесса. Должна быть также обеспечена сбалансированность разных видов ресурсов: финансовых, трудовых, материальных, инновационных, интеллектуальных. Нерационально сохранять владение ресурсами, которые не находят практического применения, за исключением необходимых страховых запасов.
Рассмотрим более конкретно один из вопросов ресурсного обеспечения, связанный с состоянием и качеством основных фондов предприятия. Круг вопросов, решение которых должно быть предусмотрено планом, включает:
♦ поиск источников инвестиций на выгодных условиях;
♦ модернизацию, реконструкцию и расширение основных фондов;
♦ увеличение доли производственных основных фондов;
♦ плановые меры по повышению уровня автоматизации и механизации труда;
♦ профилактический ремонт и своевременную замену изношенных частей оборудования, частичную или полную модернизацию узлов;
♦ применение оправданной ускоренной амортизации.
Плановые задачи в сфере управления персоналом должны включать:
♦ создание новых систем мотивации труда;
♦ определение мер по повышению производительности труда;
♦ разработку новых нормативов и норм труда;
♦ план по приему квалифицированных работников;
♦ меры контроля по соблюдению должностных инструкций;
♦ переподготовку и повышение квалификации персонала;
♦ мероприятия по сокращению потерь рабочего времени.
Комплекс мер по обеспечению выполнения плана должен согласовываться с общей направленностью и содержанием политики развития предприятия. Политика отражает общие подходы к осуществлению деятельности фирмы в соответствии со стратегическими целями и задачами создания преимуществ и благоприятных условий развития предприятия. Не следует пренебрегать рядом условий, связанных с психологическим настроем и установками как сотрудников предприятия, так и контрагентов, конечных потребителей производимых предприятием продукции и услуг. Для эффективного ведения бизнеса важно осуществлять мониторинг их удовлетворенности деятельностью предприятия. В частности, важно осуществлять на функциональном уровне планирование гибкой системы организации отношений с клиентами и потребителями с учетом их интересов и требований на основе концепции привлечения и удержания клиентов и контрагентов.
Общая экономическая политика управления предприятием включает следующие частные аспекты: политика сбыта, политика цен, политика инвестиций, политика технологий, кадровая политика и др. Все эти направления хозяйственной политики предприятия должны быть полноценно и непротиворечиво отражены в планах предприятия.
При определении конкретных значений планируемых показателей и при составлении самого перечня планируемых параметров необходимо принимать во внимание действующие нормы, стандарты и правила. Эти нормативные критерии имеют два источника. Часть из них установлена государством в правовых нормах и обязательна к соблюдению для определенных категорий предприятий. Остальные формируются самим предприятием. Основными требованиями к стандартам, устанавливаемым предприятием, являются:
♦ достижимость;
♦ объективность;
♦ непротиворечивость;
♦ измеримость и др.
Следует структурировать план путем выделения отдельных модулей (групп) показателей, дифференцированных по функциональному признаку:
1) ресурсы, необходимые для осуществления деятельности;
2) промежуточные показатели, характеризующие сдвиги в модели поведения и результатах функционирования объектов управления;
3) конечные показатели, являющиеся индикаторами достижения конечных целей предприятия.
Эффективный контроль хода реализации плана возможен при наличии полноценной системы мониторинга ключевых показателей, четкой организации информационных потоков и баз данных.
Совокупный полезный результат планирования развития предприятия складывается из следующих составляющих:
♦ планирование позволяет снизить неопределенность условий функционирования предприятия;
♦ благодаря структуризации плановых задач удается преодолеть трудности, обусловленные сложностью предприятия как объекта управления;
♦ при использовании метода прогнозирования как элемента предплановых разработок повышается научная обоснованность и реальность плана;
♦ на основе предварительно разработанных сценариев производится выбор оптимального варианта развития предприятия в пределах горизонта планирования;
♦ наличие системы плановых показателей на предстоящие годы позволяет повысить уровень коммерческой и финансовой безопасности предприятия;
♦ создаются предпосылки для обеспечения единства и согласованности действий разных подразделений предприятия, что повышает эффективность функционирования предприятия в целом;
♦ облегчается внедрение элементов «электронного бизнеса», т. е. новых технологий ведения предпринимательской деятельности на основе информационно-коммуникационных технологий стратегического управления бизнесом.
Контрольные вопросы
1. Чем обусловлена необходимость прогнозирования деятельности предприятия?
2. Определите смысл термина «стратегия предприятия».
3. В чем состоят задачи планирования на предприятии?
4. Перечислите наиболее существенные свойства плана хозяйственной деятельности предприятия.
5. Какова связь планирования с управленческой деятельностью на предприятии?
6. В чем состоит принцип комплексности в планировании и прогнозировании на предприятии?
7. Определите содержание принципа целенаправленности плана.
8. Чем обусловлена необходимость соблюдения принципа экономичности при планировании?
9. В чем заключается сущность принципа непрерывности прогнозирования и планирования?
10. Что понимается под принципом информативности плана?
11. В чем проявляется единство принципов планирования?
12. Какова специфика планирования на предприятиях малого бизнеса?
13. В чем состоят особенности планирования деятельности средних предприятий?
14. В чем состоят преимущества организации деятельности крупных предприятий?
15. По каким признакам классифицируют планы развития предприятий?
16. Приведите классификацию планов по признаку «предмет планирования».
17. Какие существуют виды планов по методам их разработки?
18. Что понимается под нормативным прогнозом?
19. Перечислите основные экономико-математические методы, применяемые в прогнозировании и планировании.
20. Приведите классификацию показателей, используемых в плановых расчетах.
21. Раскройте смысл методов экстраполяции и интерполяции.
22. Какова должна быть последовательность процедур при разработке плана фирмы?
23. Что понимается под многовариантностью прогноза?
24. Какие требования предъявляются к профессиональным качествам специалистов в области прогнозирования и планирования?
25. Перечислите основные организационные вопросы, решаемые в процессе планирования.
Глава 3
СТРАТЕГИЧЕСКОЕ ПЛАНИРОВАНИЕ НА ПРЕДПРИЯТИИ
3.1. Сущность стратегического планирования на предприятии
В основе стратегического планирования лежит понятие стратегии. В ней отражены основные цели компании, такие как расширение доли рынка, рост прибыли, проведение передовых научно-технических исследований, обеспечивающих высокую конкурентоспособность и т. д. По формулировке А. Чандлера (A. B. Chandler), стратегия есть определение основных долгосрочных целей и задач организации, принятие курса действий и размещение ресурсов, необходимых для выполнения этих целей.
Стратегический план отвечает своему назначению, если он обеспечивает возможность сохранения максимальной эластичности поведения фирмы. Он формирует общую идею будущего, не затрагивая его деталей и компонентов.
Стратегическое планирование представляет процесс моделирования будущего, включая определение целей и формулировку концепции долговременного развития. Его можно также рассматривать как элемент управленческого процесса, направленного на создание и поддержание стратегического равновесия между целями фирмы, ее потенциальными возможностями и вероятными перспективами развития. Стратегический план обладает гибкостью и допускает:
а) регулярные корректировки плановых заданий;
б) пересмотр системы мер по выполнению этих планов на основе непрерывного контроля и оценки происходящих изменений в деятельности фирмы.
Стратегический план должен предусматривать обеспечение следующими видами ресурсов:
1) финансовыми, которые необходимы для формирования капитальных и текущих активов; предприятия используют такие источники, как акционерный капитал, банковские кредиты, реализация облигаций;
2) человеческими ресурсами, представленными работниками, имеющими профессиональную подготовку; они обеспечивают увеличение прибыльности производимой продукции и осуществляют процесс управления (маркетологи, менеджеры, инженерно-технический персонал и другие служащие); источником этих ресурсов является рынок труда;
3) материальными ресурсами – земля, здания, производственные помещения, оборудование, материальные запасы и т. д.;
4) интеллектуальными ресурсами – ноу-хау, патенты, лицензии, бренды, запатентованные дизайны, логотипы, секретные формулы и рецепты, коммерческие коммуникационные сети, базы данных и т. д.
Основой стратегического плана является определение миссии предприятия, его общих целей и глобальных программ деятельности. Цели стратегического уровня относятся к предприятию в целом, по своей природе они носят общий характер, формируются исходя из смысла существования предприятия и определяют его место в бизнес-окружении.
В условиях рыночной экономики стратегическое планирование должно осуществляться с учетом воздействия внешней среды, для которой свойственны различного рода быстрые изменения: конъюнктуры, уровня насыщения рынков сбыта, появление новых товаров (услуг). Эти колебания создают высокую степень неопределенности для предприятия при принятии решений. Таким образом увеличиваются хозяйственные риски.
Только при наличии стратегического плана можно избежать таких негативных явлений, как ситуация, в которой каждое структурное подразделение компании начинает искать свои пути решения задач, не согласованные с общей деятельностью предприятия. Например, при отсутствии единого стратегического плана может возникнуть рассогласованность целей разных структурных подразделений.
Всегда есть опасность превращения стратегического плана в формальный документ бюрократического процесса, когда не проявляются его потенциальные возможности, а участие персонала фирмы в его реализации становится механическим, без творческого достижения целей конкретными исполнителями. Чтобы предупредить такой ход событий, необходимо на всех этапах стратегического планирования принимать соответствующие профилактические меры.
Ценность методов стратегического планирования является особенно высокой при:
а) сложной внутренней структуре и многообразии видов деятельности предприятия;
б) значительной неопределенности и интенсивной динамике внешней среды.
Стратегическое планирование позволяет осуществлять более целенаправленное и взаимоувязанное управление ресурсами, снижающее материальные и финансовые потери при достижении целей.
В его основе лежит ряд базовых концептуальных положений:
♦ исходным ориентиром для разработки стратегического плана является миссия (предназначение) предприятия, т. е. краткое изложение главного предназначения предприятия на достаточно длительный период его развития;
♦ стратегический план способствует выполнению миссии предприятия наиболее эффективным способом;
♦ в наиболее общем виде можно представить, что содержанием стратегического плана, его ключевыми составляющими являются следующие компоненты – набор заданных стратегических целей, проектов и программ действий на долгосрочную перспективу;
♦ в основе стратегического планирования лежит предварительное построение дерева целей, определение общих направлений действий, обеспечивающих развитие и укрепление позиций фирмы на долгосрочную перспективу;
♦ стратегический план разрабатывается в условиях неполной информации об альтернативах развития, когда невозможно предвидеть все возможности конкретных условий; конкретизация достигается при разработке среднесрочных и краткосрочных планов;
♦ стратегический план содержит общие ориентиры в виде целевых показателей, которые должны быть взаимосогласованны;
♦ наиболее перспективным является принцип работы по составлению общекорпоративных стратегических планов по схеме «от будущего к настоящему», т. е. против течения времени. Это обусловлено тем, что стратегическое планирование является инструментом, обеспечивающим возможность приведения компании к качественно новому состоянию с учетом новых условий ведения бизнеса и новых сфер приложения капитала в течение периода действия стратегического плана;
♦ сохранение традиционного принципа стратегического планирования по схеме «от прошлого к будущему», основанной на экстраполяционном методе, возможно для фирм со стабильными ассортиментом продукции, технологиями. Эти фирмы должны находиться на таких стадиях жизненного цикла, как стадия роста или насыщения, и быть хорошо известными на рынке сбыта;
♦ наиболее эффективным является стратегический план, ориентированный на выявление неосвоенных зон (ниш) на внутреннем и внешнем рынке, что является надежной основой потенциального роста компании. Тем самым достигаются формирование новых ценностей и более эффективное использование и перераспределение капитала и других ресурсов предприятия.
При всей несомненной актуальности стратегического планирования, опыт зарубежных фирм показал, что нередко его внедрение в практику управления сопровождалось не только успехами, но и неудачами. Основными причинами такого исхода обычно являлись следующие:
♦ нарушение баланса власти и ответственности за выработку стратегического плана между линейными руководителями и плановыми подразделениями предприятия;
♦ стратегический план не обеспечен механизмами его практической реализации, т. е. отсутствует полноценное организационное сопровождение выполнения стратегических программ;
♦ не обеспечено согласование принимаемых управленческих решений с содержанием стратегического плана;
♦ недостаточный уровень профессионализма у руководителей разных звеньев управления, их неспособность руководствоваться в своей деятельности пунктами стратегического плана;
♦ неупорядоченный ритм текущей деятельности затрудняет последовательную ориентацию на задачи долгосрочной перспективы, закрепленные в стратегическом плане, т. е. снижается внимание к реализации стратегических планов;
♦ недостатки самого стратегического плана, в котором не определены конкретные, ясные, практически достижимые, поддающиеся контролю цели.
Стратегический план является долгосрочной программой действий, в которой учитываются перспективы изменения конъюнктуры рынка, характера конкуренции и сдвиги в собственных ресурсных возможностях. Он представляет собой обобщающую модель поведения предприятия на длительную перспективу. В стратегическом плане определены главные цели предприятия, общие направления деятельности и основные способы их достижения.
Сущность стратегического планирования раскрывается в его функциональных характеристиках. Стратегический план является:
♦ средством достижения конечного результата деятельности предприятия;
♦ инструментом, обеспечивающим объединение в единое целое всех частей организации и основных аспектов деятельности фирмы;
♦ документом, определяющим позицию предприятия в окружающей среде;
♦ итогом анализа сильных и слабых сторон предприятия и оценки возможностей и препятствий развития предприятия в будущем;
♦ упреждающим проектом реакции фирмы на изменения внешней среды.
Стратегический план обладает следующими особенностями:
♦ является комплексным, охватывающим многообразие видов плановой деятельности фирмы;
♦ носит инновационный характер;
♦ служит основой для разработки оперативных планов, бизнес-планов;
♦ интегрирует в единое целое разные направления управления фирмой: финансами, производством, маркетинг и др.;
♦ основывается на системном подходе к оценке сильных и слабых сторон деятельности фирмы;
♦ устанавливает поэтапные контрольные параметры для последующего мониторинга;
♦ предусматривает механизмы обратной связи в процессе реализации плана.
3.2. Стратегия фирмы как основа формирования стратегического плана
Все многообразие стратегических планов дифференцируется прежде всего в зависимости от избранного предприятием типа стратегии развития. В процессе выбора организация ориентируется на определенный тип поведения в области конкурентной борьбы, освоения новых технологий, инвестиционной и ценовой политики и др.
По вопросу о типовых стратегиях фирмы существует большое разнообразие точек зрения и авторских концепций. Рассмотрим некоторые из них.
Существует классификация стратегий с разграничением следующих видов:
♦ внутриотраслевые;
♦ межотраслевые;
♦ межфирменные;
♦ интернациональные.
М. Портер (Michael E. Porter) рассматривает пять основных конкурентных стратегий в области поведения фирмы на рынке:
1) стратегия лидерства по издержкам, ориентированная на снижение полных издержек производства товара или услуги;
2) стратегия широкой дифференциации, направленная на создание товаров с индивидуальными особенностями, отличающими их от аналогичных товаров фирм-конкурентов, с целью привлечения покупателей;
3) стратегия оптимальных издержек, дающая возможность покупателям получить за свои деньги большую ценность; при этом фирма стремится обеспечить сочетание низких издержек и более низких цен, чем у производителей продукции с аналогичными свойствами и качеством;
4) сфокусированная стратегия, или стратегия рыночной ниши, построенная на низких издержках и ориентированная на узкий сегмент покупателей, где фирма опережает своих конкурентов за счет более низких издержек производства;
5) сфокусированная стратегия, или стратегия рыночной ниши, основанная на дифференциации продукции; целью фирмы является обеспечение покупателей выбранного сегмента рынка товарами или услугами, наиболее полно отвечающими их вкусам и требованиям.
А. А. Томпсон (ArthurA. ThompsonJr.) и А. Дж. Стрикленд (A.J. Strickland) предлагают разграничивать следующие виды стратегий: наступательные стратегии, оборонительные стратегии, стратегии вертикальной интеграции, конкурентные стратегии и корпоративные стратегии диверсификации.
Наступательные стратегии используются для сохранения конкурентного преимущества и могут быть ориентированы на:
♦ действия, направленные на то, чтобы противостоять сильным сторонам конкурента или превзойти их;
♦ действия, направленные на использование слабостей конкурента;
♦ одновременное наступление на нескольких фронтах;
♦ захват незанятых пространств;
♦ партизанскую войну;
♦ упреждающие удары.
Оборонительные стратегии предназначены для защиты конкурентного преимущества и имеют целью удержать рыночную позицию предприятия, снизить риск быть атакованным, перенести атаку конкурента с меньшими потерями, оказать давление на бросающих вызов, чтобы переориентировать их на борьбу с другими конкурентами.
Стратегия вертикальной интеграции заключается в том, что фирма может расширить свою деятельность по отношению к поставщикам (назад) и (или) по отношению к потребителю (вперед).
Конкурентная стратегия может иметь следующие варианты в зависимости от конкурентной ситуации в отрасли.
1. Предприятия, относящиеся к новым отраслям, находящимся на ранней стадии развития, на стадии зарождения, оказываются в условиях большой неопределенности. Фирмам приходится в своей конкурентной стратегии определять:
а) способы финансирования бизнеса на первоначальном этапе выхода на рынок;
б) на какие рыночные сегменты продвигать товары и какие конкурентные преимущества использовать для завоевания лидирующих позиций.
2. Предприятиям, относящимся к отраслям, которые находятся в стадии зрелости, необходимо применять агрессивные методы конкурентной борьбы. Товары, производимые этими предприятиями, не пользуются высоким потребительским спросом, что порождает острую конкуренцию между компаниями за долю на рынке. Общей закономерностью для организаций такого типа является усложнение инновационного процесса, усиление международной конкуренции, падение доходности и др.
3. Если предприятие относится к отрасли, которая находится в стадии стагнации, то наиболее адекватной является стратегия «сбора урожая», обеспечивающая получение максимального объема наличных средств за короткий период времени.
4. Предприятия, относящиеся к так называемым раздробленным отраслям, должны придерживаться такой стратегии, которая позволила бы обеспечить конкурентоспособность в условиях низких входных барьеров, невозможности экономии затрат на масштабе производства и ограниченного в географическом аспекте рынка сбыта товара и др.
5. Достаточно сложно выбрать эффективную стратегию фирмам, находящимся «на вторых ролях». Их стратегия должна быть ориентирована на обнаружение и занятие вакантной ниши и т. п.
6. Стратегия для слабого, кризисного, неконкурентоспособного бизнеса должна быть исключительно осторожной и взвешенной. Возможны такие радикальные стратегические решения, как «продажа себя» другой фирме или смена вида деятельности с переходом в другую отрасль.
Корпоративными стратегиями диверсификации могут быть стратегии:
♦ вхождения в новую отрасль через механизмы поглощения, работы «с нуля», создания совместного предприятия;
♦ диверсификации в родственные отрасли;
♦ диверсификации в неродственные отрасли;
♦ реструктуризации, восстановления и экономии;
♦ многонациональной диверсификации.
А. И. Панов, И. О. Коробейников считают необходимым различать следующие четыре группы стратегий развития бизнеса.
Первая группа включает стратегии концентрированного роста, общим свойством которых является ориентация на изменение продукта и (или) рынка. Конкретные механизмы реализации этих стратегий состоят в изменении политики на рынке или в совершенствовании прежнего или освоении нового продукта, при сохранении своей принадлежности к прежней отрасли. В данную группу входят следующие стратегии:
♦ стратегия усиления позиций на рынке, когда фирма предпринимает решительные меры для завоевания лучших позиций при реализации своего продукта;
♦ стратегия «развития рынка», направленная на поиск новых рынков для уже производимого продукта, предназначенная для обеспечения роста объема продаж путем внедрения имеющихся товаров на новые рынки;
♦ стратегия «развития продукта», предполагающая организацию производства нового продукта, который будет реализовываться на ранее освоенном фирмой рынке.
Вторая группа объединяет стратегии интегрированного роста, которые могут быть наиболее успешными для фирм, относящихся к «сильному бизнесу». Конкретные механизмы интегрированного роста состоят в приобретении новой собственности или внутреннем расширении производства. Оба варианта обеспечивают изменение положения фирмы внутри отрасли. К данной группе относятся следующие стратегии:
♦ обеспечение обратной вертикальной интеграции, которая направлена на рост фирмы, за счет приобретения либо создания дочерней структуры, выполняющей функцию снабжения;
♦ формирование вперед идущей вертикальной интеграции, состоящей в росте фирмы за счет приобретения либо усиления контроля над структурами, находящимися между фирмой и конечным потребителем; такими структурами являются посреднические организации.
Третья группа объединяет стратегии диверсифицированного роста. Они применяются фирмами, которые не в состоянии продолжать успешно функционировать на данном рынке с данным продуктом в рамках данной отрасли. К этой группе относятся следующие стратегии:
♦ стратегия концентрической диверсификации, которая базируется на поиске и использовании дополнительных возможностей производства новых продуктов;
♦ стратегия горизонтальной диверсификации, предполагающая поиск возможностей развития фирмы на существующем рынке за счет новой продукции, требующей новой технологии, отличной от используемой;
♦ стратегия конгломеративной диверсификации, состоящая в том, что фирма расширяется за счет новых продуктов, технологически не связанных с уже производимыми, которые реализуются на новых рынках.
Четвертая группа включает стратегии «целенаправленного сокращения». Данные стратегии реализуются тогда, когда фирма нуждается в перегруппировке сил после длительного периода роста или в связи с необходимостью повышения эффективности, когда наблюдаются спады и кардинальные изменения в экономике. Существуют четыре типа стратегий целенаправленного сокращения:
♦ стратегия ликвидности – осуществляется тогда, когда фирма не может вести дальнейший бизнес;
♦ стратегия «сбора урожая» – отказ от долгосрочного взгляда на бизнес в пользу максимального получения доходов в краткосрочной перспективе; применяется по отношению к бесперспективному бизнесу, который не может быть прибыльно продан, но может принести доходы во время «сбора урожая»;
♦ стратегия сокращения – фирма закрывает или продает одно из своих подразделений или бизнесов для того, чтобы осуществить долгосрочное изменение границ ведения бизнеса; реализуется и тогда, когда нужно получить средства для развития более перспективных либо для начала новых, более соответствующих долгосрочным целям фирмы бизнесов;
♦ стратегия сокращения расходов – достаточно близка к стратегии сокращения, так как ее основной идеей является поиск возможностей уменьшения издержек и проведения соответствующих мероприятий по сокращению затрат.
В реальной практике фирма может одновременно реализовывать несколько стратегий; в этом случае говорят, что фирма осуществляет комбинированную стратегию.
И. В. Ляско предлагает классифицировать стратегии с выделением следующих их видов.
1. Стратегия роста предприятия – нацелена на использование предоставляемых рынком возможностей. Эти возможности могут быть реализованы путем работы со старым продуктом на старом рынке, либо посредством выхода с уже выпускаемым продуктом на новый рынок, либо путем разработки нового продукта. Стратегия роста предприятия реализуется в специфической форме на малых, средних и крупных фирмах.
2. Стратегия стабилизации – предполагает ограничение организацией масштабов производства при ставке на медленное, жестко контролируемое развитие, т. е. простое продолжение бизнеса.
3. Стратегия поддержания – направлена на сохранение стабильности. Успех этой стратегии достигается за счет улучшения качества продукта и сервиса, корректировки цены товаров в той мере, которая необходима для сохранения объема продаж или доли рынка.
4. Стратегия сокращения деятельности предприятия – используется в случаях, когда выживание фирмы находится под угрозой. Стратегии сокращения, как правило, предполагают проведение мероприятий, направленных на оздоровление финансового положения предприятия. Такие мероприятия представляют элементы антикризисного управления. Стратегия сокращения деятельности предприятия имеет следующие разновидности.
• «Стратегия разворота» – применяется в условиях неэффективной работы предприятия, состоит в отказе от производства нерентабельной продукции, сокращении излишней рабочей силы и в поиске более эффективных путей использования ресурсов. Если такая стратегия дает положительный результат, то в дальнейшем фирма переходит на стратегию роста.
• «Стратегия отделения» состоит в продаже неэффективного бизнеса (структурного подразделения). Эту стратегию также называют стратегией уменьшения в размерах. На практике при ее реализации осуществляется отказ от владения, т. е. продажа бизнеса, который перестал играть для компании центральную роль. Эта стратегия предполагает продажу активов предприятия. Она применяется с целью накопления фондов для сохранения и укрепления оставшихся у фирмы направлений деятельности.
• «Стратегия ликвидации» состоит в продаже предприятия за цену, равную остаточной стоимости его активов, что означает прекращение существования предприятия.
• «Стратегии восстановления и реструктуризации портфеля» применяются в условиях ухудшения экономических показателей на отдельных направлениях деятельности предприятия. Низкая эффективность деятельности предприятия может быть вызвана значительной убыточностью одного или более видов деятельности, что ведет к снижению финансовых показателей предприятия в целом.
5. Стратегии конкуренции – реализуются посредством выбора способа формирования хозяйственного портфеля фирмы. Результат деятельности предприятия зависит от конкурентоспособности товара, которую можно регулировать путем реализации следующих трех видов стратегий конкуренции:
• стратегия ценовой конкуренции наиболее уместна при работе предприятия на стабильных рынках высокостандартизованного сырья;
• дифференциация товара заключается в придании выпускаемым продуктам уникальных свойств, т. е. в создании нового качества, изменении срока жизни продукта, повышении уровня сервиса, улучшении гарантийных условий, повышении имиджа товара, создании новых каналов продвижения товара на рынок;
• стратегия концентрации проводится в форме интенсивного освоения конкретного сегмента рынка в определенной географической зоне; может быть реализована путем снижения цен или при помощи политики дифференциации.
6. Стратегия ценообразования – состоит в выборе предприятием конкретной тактики изменения цены товара, обеспечивающей достижение целей предприятия.
7. Функциональные стратегии – предназначены для реализации основной и конкурентной стратегии и включают следующие виды стратегий:
• маркетинга;
• производства;
• персонала;
• финансов;
• НИОКР;
• закупок;
• способов продвижения продукции на рынок.
8. Стратегическое планирование финансирования предприятия – состоит в разработке стратегии формирования предстартового и стартового капиталов, в определении стратегии финансирования развития и расширения фирмы, а также в принятии стратегических решений по финансированию перехода компании в более высокую организационно-правовую форму. Реализация этих стратегий может осуществляться путем решения следующих задач:
• улучшения финансового положения посредством продажи акций;
• использования акций для поглощения, т. е. приобретения ценных бумаг других фирм;
• использования акций как средства стимулирования служащих и привлечения ведущих специалистов;
• повышения престижа фирмы среди инвесторов и представителей бизнеса.
Л. П. Владимирова предлагает различать стратегии фирмы по следующим ключевым признакам: уровень управления, направленность развития, возраст рынка и товаров, характер воздействия и развития, выбор направления деятельности, уровень конкуренции и др.
1. По уровню управления виды стратегий подразделяются на следующие.
• Корпоративная стратегия, которая представляет собой общий план управления фирмой и применяется, в основном, в диверсифицированной компании. Ее разработка предусматривает действия по созданию инвестиционных приоритетов, улучшению общих показателей деятельности фирмы, получению синергетического эффекта среди родственных фирм и превращению этого эффекта в конкурентное преимущество.
• Деловая стратегия, которая нацелена на установление и укрепление долгосрочной конкурентоспособной позиции фирмы на рынке. Для нее характерны следующие направления деятельности: своевременная реакция на изменения, происходящие в отрасли, в экономике в целом, в политике; разработка конкурентоспособных мер и действий, которые могут обеспечить прочное преимущество перед конкурентами; объединение стратегических инициатив функциональных отделов.
• Функциональная стратегия, осуществляемая по управленческому плану действий внутри подразделения или ключевого функционального направления: маркетинга, сбыта, производства, обслуживания, снабжения, финансов, персонала и др. В общем виде отдельная функциональная стратегия представляет собой план действий для достижения целей деловой и функциональной стратегий.
• Операционная стратегия, которая относится к еще более конкретным подходам в руководстве ключевыми оперативными подразделениями фирмы при решении текущих задач, имеющих стратегическую значимость (рекламные кампании, закупка сырья, управление запасами, профилактический ремонт, транспортировка продукции и др.). Эти стратегии дополняют и завершают общий план работы фирмы.
2. По направленности развития стратегия фирмы может быть технологической и продуктовой.
• Технологическая стратегия характеризуется переориентацией фирмы на преимущественно технологические рычаги обеспечения конкурентоспособности фирмы и включает: а) анализ и оценку сложившегося технологического уровня производства, определение специальных мер для отбора технологий, способных обеспечивать конкурентоспособность продукции на внутреннем и мировом рынках; б) формирование механизма трансформации стратегических решений в области технологий в конкретный перечень действий.
• Продуктовая стратегия касается непосредственно освоения нового продукта. Она включает: а) изучение природы нового продукта (меру его новизны, качества, степень дифференциации производимой продукции); б) выявление типов рынков и состава потребителей, необходимых для реализации нового продукта (возможности расширения рыночных связей, уровней конкуренции и т. п.); в) разработку технологии производства данного продукта; г) оценку эффективности программы освоения нового продукта.
3. В зависимости от возраста рынка и товара стратегия фирмы может быть следующих видов:
• стратегия глубокого проникновения – применяется в условиях, когда рынок еще не насыщен;
• стратегия расширения рынка – помогает фирме увеличить сбыт существующих товаров на новых рынках;
• стратегия разработки товара – эффективна при наличии у фирмы ряда успешных торговых марок;
• стратегия диверсификации – применяется для устранения зависимости фирмы от какого-либо одного товара на рынке.
4. По характеру воздействия стратегия фирмы может быть:
• стратегией наступления, направленной на завоевание и расширение рыночной доли;
• стратегией обороны, имеющей целью удержание существующей рыночной доли;
• стратегией отступления, заключающейся в уходе с рынка или в ликвидации данного вида бизнеса.
5. По характеру развития стратегия фирмы может быть:
а) ограниченного роста;
б) роста;
в) сокращения;
г) сочетания указанных выше трех стратегий.
Данная классификация аналогична предыдущей, но она ориентирована не на изменение доли рынка, а на регулирование объемов деятельности и капитала.
6. По выбору направления деятельности стратегии фирмы подразделяются на следующие.
• Стратегия дифференциации, характеризующаяся модификациями потребительских свойств продукта-товара и осуществляемая на основе сильного маркетинга, продуктового инжиниринга, повышения имиджа фирмы, сильной кооперации.
• Стратегия концентрации, представляющая собой выработку действий для узкоспециализированного и узконаправленного сегмента рынка и опирающаяся на опыт и ресурсы. К основным организационным требованиям этого типа относится комбинация предыдущих вышеуказанных стратегий для реализации частной цели.
7. Типовые международные стратегии включают такие действия, как:
а) продажа иностранным фирмам лицензий на использование технологий;
б) создание производственной базы на национальном уровне в одной стране и экспорт товаров на зарубежные рынки;
в) использование стратегии конкуренции на внутренних рынках многих стран;
г) использование глобальной стратегии низких издержек;
д) использование стратегии глобальной ниши.
8. По отношению к маркетингу стратегия фирмы может быть:
а) массовой;
б) товарно-дифференцированной;
в) целевой;
г) оперативной;
д) тотальной и др.
9. По уровню конкуренции стратегия фирмы может быть:
а) своевременного освоения нового продукта;
б) ориентации на производство однородной продукции;
в) ориентации на дифференциацию товаров и рынков, на выявление нужд потребителей;
г) искусственного устаревания продукции, обновления продукции, сегментации рынка.
Р. А. Фатхутдинов выделяет следующие стратегии:
♦ маркетинга;
♦ международной деятельности фирмы;
♦ повышения качества;
♦ ценообразования и ресурсосбережения;
♦ организационно-технического и социального развития фирмы;
♦ совершенствования управления персоналом.
Авторский коллектив в составе А. Н. Петрова, Г. А. Буренина, С. М. Климова и др., рассматривая вопрос о стратегии развития предприятия, разграничивает следующие их виды:
а) продуктовая стратегия;
б) функциональные стратегии, в том числе:
• стратегия маркетинга;
• финансовая стратегия;
• инновационная стратегия;
• стратегия производства;
• социальная стратегия;
• стратегия организационных изменений;
• экологическая стратегия.
Приведенный (далеко не полный) перечень вариантов классификаций стратегий свидетельствует о разнонаправленности самих подходов к разграничению различных видов стратегий. На фоне такого разнообразия теоретических подходов к определению стратегии практика стратегического планирования характеризуется однозначными и конкретными решениями, т. е. в своей практической деятельности фирмы отбирают наиболее рациональные и актуальные аспекты стратегии.
Стратегическое планирование следует понимать как комплекс решений, принимаемых руководством предприятия с целью разработки специфических стратегий, предназначенных для достижения целей фирмы. Таким образом, стратегическое планирование является инструментом, направленным на повышение эффективности функционирования предприятия.
3.3. Прогнозирование как основа составления стратегического плана предприятия
Оценка перспектив развития предприятия осуществляется на базе экономических прогнозов, которые являются основой для планирования и, следовательно, для принятия всех видов управленческих решений – от оперативных до сверхдолгосрочных. В основе стратегического планирования лежат долгосрочные прогнозы, представленные общим прогнозом развития фирмы в целом, а также частными прогнозами по отдельным сферам деятельности и по структурным подразделениям фирмы.
Различают также виды прогнозов, классифицируемых по таким признакам, как назначение и масштабность прогноза. По своему назначению прогнозы можно подразделить на: научно-технические (развитие НИОКР, создание новых материалов или видов продукции); финансовой деятельности фирмы; управления кадрами; ресурсного обеспечения; развития материально-технической базы производства; выпуска продукции и т. д. Прогнозы, различающиеся по своему назначению, являются частными прогнозами, составляющими в своей совокупности единый комплексный прогноз развития организации и отличающимися масштабом действия: это прогнозы для каждого функционального подразделения.
Обязательной предпосылкой научно обоснованного прогнозирования является соблюдение базовых принципов определения будущих тенденций, о чем достаточно детально уже было сказано в § 2.2.
Ключевым этапом работы по прогнозированию является выбор прогнозной модели. Современная наука предоставляет большой выбор видов моделей: формально-математические, эконометрические, имитационные, экспертные, ситуационные. Прогнозирование развития предприятия обычно осуществляется на основе поисковых или нормативных методов.
Поисковые прогнозы основаны на анализе функционирования предприятия в предыдущие годы, и на этой базе формируются гипотезы о будущих тенденциях и механизмах развития. Поисковые прогнозы являются по своей природе экстраполяционными и реализуются методами математического моделирования.
Нормативное прогнозирование опирается на то, что предварительно задается конечная цель развития организации на конечную дату горизонта прогноза. Содержанием прогноза является определение частных путей, средств и сроков достижения этой цели и расчет значений прогнозируемых показателей на промежуточные даты: от текущего момента до конечной даты. Прогнозирование в этом случае осуществляется от заданной цели (конечных значений показателей) как бы навстречу ходу времени. Нормативный и поисковый прогнозы взаимосвязаны, так как поисковый прогноз определяет потенциальную возможность достижения устанавливаемой цели.
Прогноз влияния факторов на развитие организации включает определение перечня наиболее существенных из них и расчет количественных мер связи. Основными внешними факторами развития организации, которые учитываются в текущий период и прогнозируются на будущее, являются:
♦ общее состояние экономики страны;
♦ состояние финансовой системы страны и конъюнктура на финансовом рынке (уровень инфляции, процентная ставка, валютный курс, состояние фондового рынка и рынка инвестиций);
♦ состояние национального и международного рынков, включая уровень платежеспособного спроса на товары и услуги, рынок труда;
♦ имидж предприятия на национальном и международном рынках и др.
Основные внутренние факторы представлены следующими группами:
♦ экономические условия и предпосылки производства, в том числе: объем производства; обеспеченность и степень использования таких ресурсов, как основной и оборотный капитал, персонал предприятия; уровень затрат на производство;
♦ организационная структура предприятия – организационно-правовая форма, характер делового взаимодействия структур, степень организационной готовности функциональных подразделений предприятия к реализации целей;
♦ финансовые, определяющие обеспеченность предприятия финансовыми ресурсами, уровень финансовой устойчивости, кредитоспособности и др.
♦ инновационные программы, включая интенсивность обновления продукции, уровень расходов на НИОКР и др.;
♦ технико-технологические – уровень прогрессивности технологии и оборудования, фондовооруженность работников и др.;
♦ информационные – уровень информатизационно-коммуникационных технологий во внутреннем документообороте и др.
На основе сформированного комплекса факторов выполняют экономико-математические расчеты с целью измерения влияния каждого фактора в отдельности и группы факторов на результаты деятельности предприятия. Могут использоваться модели разной степени сложности и разного уровня агрегирования информации.
После исследования факторов определяется вид прогнозной модели, разрабатываются гипотезы о будущих действиях и выполняется процедура разработки вариантов сценария развития. При построении прогностического сценария воспроизводится ожидаемая ситуация для предприятия в будущем, с учетом тренда развития в предыдущие годы и причинно-следственных связей, а также возможных изменений характеристик внешней среды.
В целом сценарий является базой для разработки стратегического плана организации. Точность и степень детализации сценария зависят от времени упреждения прогноза. При более длительном горизонте прогноза более значительной является степень его неопределенности. Именно этим определяется необходимость разработки нескольких вариантов возможного сценария развития для среднесрочных и долгосрочных прогнозов. Основными факторами неопределенности будущего развития предприятия являются условия и ограничения, в рамках которых предстоит развитие предприятия. Производится математическое моделирование влияния основных внешних и внутренних факторов, оказывающих воздействие на достижение поставленных стратегических целей.
В процессе формирования прогноза осуществляется выбор соответствующих методов прогнозирования, от которых зависит доверительный интервал прогноза и величина ошибок прогнозирования. Решение этого вопроса определяется характером прогнозируемых процессов, горизонтом прогноза, качеством исходных данных. Совокупность методов прогнозирования включает такие методы, как фактографические, экспертные, комбинированные и др.
Фактографические методы отличаются своей относительной простотой и объективностью и базируются на фактическом информационном материале о прошлом и настоящем развитии предприятия. Чаще всего применяются в поисковом прогнозировании. Фактографические методы прогнозирования предпочтительно применять в условиях высокой устойчивости влияния факторов. Надежность и точность прогноза, основанного на фактографических методах, может быть увеличена за счет сочетания с экспертными методами.
Существуют две основные разновидности фактографических методов: статистические и опережающие. Последние играют вспомогательную роль и основаны на анализе научных публикаций по исследуемой проблеме развития предприятия, в которых могут быть отражены еще только зарождающиеся тенденции.
Статистические методы основаны на анализе динамических рядов, методах экстраполяции и интерполяции, корреляционно-регрессионном анализе, эконометрических методах. В статистике широко применяются методы математической статистики: метод наименьших квадратов и его модификации, метод экспоненциального сглаживания, метод вероятностного моделирования и метод адаптивного сглаживания. Существенную роль играет правильный выбор наилучшего уравнения тренда динамики. На основе уравнения тренда определяется доверительный интервал прогноза. Более простым методом выявления тренда является расчет скользящих и экспоненциальных средних с целью сглаживания динамических рядов.
Формирование прогноза развития предприятия представляет, как было показано в схеме на рис. 2, сложный комплекс операций, в основе которых лежат экономико-математические расчеты. Все расчетные процедуры подразделяются на два блока. Первый блок расчетов состоит в аналитической обработке числовой информации за ряд предшествующих лет. Полученные результаты характеризуют закономерности развития и тенденции взаимосвязей в ретроспективном плане. Второй блок расчетов состоит в определении системы показателей на предстоящие годы. Основанием служат числовые характеристики, определяющие стартовую ситуацию, экспертные оценки специалистов об ожидаемой интенсивности процессов в будущем и материалы ретроспективного анализа.
При выполнении указанных расчетов применяются экономико-математические модели и алгоритмы построения показателей, разработанные в таких областях наук, как математическая статистика, эконометрика, теория статистики.
Выбор конкретного математического аппарата определяется задачами прогнозирования. Как правило, прогноз составляется с целью получения комплексной характеристики будущего состояния предприятия. В число базовых прогнозируемых показателей обычно входят:
♦ данные о производстве каждого вида продукции в натуральном выражении;
♦ общая выручка от реализации продукции;
♦ сумма затрат на производство и реализацию товаров (услуг, работ);
♦ прибыль от реализации продукции;
♦ балансовая прибыль;
♦ чистая прибыль;
♦ рентабельность продукции;
♦ стоимость основного капитала;
♦ рентабельность основного капитала и т. д.
Детализация системы показателей достигается за счет конкретных характеристик по отдельным сферам деятельности, по подразделениям предприятия.
По каждому показателю осуществляется мониторинг, в ходе которого фиксируются значения показателей на протяжении ряда предшествующих лет. Это позволяет измерить интенсивность происходящих изменений. Основными показателями, характеризующими интенсивность динамики за предшествующие годы, являются:
♦ среднегодовой абсолютный прирост (А);
♦ среднегодовой темп роста (Т);
♦ среднегодовой темп прироста (Т – 1);
♦ среднее абсолютное значение 1 % прироста (А);
♦ коэффициент опережения (Ко).
Для расчета этих обобщающих показателей динамики применяются следующие математические формулы:

где yn – значение показателя на конечную дату; y1 – значение показателя на начальную дату; n – число лет между начальной и конечной датами; Т1– среднегодовой темп роста по первому показателю; Т2 – среднегодовой темп роста по второму показателю.
Рассмотрим порядок расчета этих показателей на числовом примере. Пусть на предприятии в 2001 г. чистая прибыль составила 85 млн руб., а средняя стоимость основного капитала – 121 млн руб. По итогам за 2005 г. – 105 и 140 млн руб. соответственно. Произведем расчеты показателей интенсивности изменений в среднем за год.


Результаты расчетов позволяют сделать следующие выводы. Чистая прибыль предприятия в течение последних четырех лет возрастала в среднем ежегодно на 5 млн руб., или на 5,4 % в год. Основной капитал увеличивался ежегодно на 4,75 млн руб., или на 3,7 % в год. Коэффициент опережения показывает, что прирост чистой прибыли идет интенсивнее, чем прирост основного капитала, что свидетельствует о росте эффективности использования производственных ресурсов на предприятии. Таковы были закономерности развития предприятия в ближайшие предшествующие годы. Эта информация может служить ориентиром при определении тенденций на последующие годы.
Предположим, что требуется составить прогноз основных производственных показателей по предприятию на период до 2008 г. на основе метода экстраполяции, заключающегося в том, что тенденции прошлых лет распространяются на предстоящие годы. В качестве упрощенного способа прогнозирования можно использовать метод экстраполяции тенденций на основе показателей среднегодового абсолютного прироста или среднегодового темпа роста.
Если исходить из гипотезы, что в течение ближайших трех лет сохранятся неизменными темпы роста чистой прибыли и основного капитала предприятия, то нужно применить следующий алгоритм расчета:

Произведем расчет ожидаемого размера чистой прибыли.

Определим размер основного капитала на следующие три года.

Таким образом, по прогнозу, основанному на гипотезе о постоянстве темпов роста, в 2008 г. предприятие получит чистую прибыль в объеме 122,95 млн руб. и доведет размер основного капитала до 156,12 млн руб. При этом оказывается, что среднегодовой абсолютный прирост показателей за период 2005–2008 гг. выше, чем в периоде 2001–2005 гг., что подтверждается следующими расчетами:

Увеличивается также в 2005–2008 гг. абсолютное значение 1 % среднегодового прироста:

Аналогичным образом может быть произведена экстраполяция тенденций развития на основе показателя среднегодового абсолютного прироста:

Использованный нами метод экстраполяции тенденций на основе средних темпов роста и среднегодового абсолютного прироста представляет собой простейший алгоритм прогнозных расчетов, который допустимо применять лишь в ограниченных хронологических рамках. По мере увеличения горизонта прогноза возрастает вероятность изменения интенсивности экономических процессов. В этих условиях следует обращаться к более совершенным экономико-математическим моделям.
Экономико-математическое моделирование включает две группы методов регрессии: статическое и динамическое моделирование. При статическом моделировании измеряется влияние ряда факторов (х1, х2, х3… хn) на изучаемый показатель (Y). Если изучается показатель чистой прибыли, то в качестве факторов будут выступать такие характеристики, как уровень себестоимости единицы продукции, уровень рыночных цен на продукцию, ставки налогообложения, уровень транзакционных издержек и т. д. Эта зависимость выражается в виде математической функции Y = f(х1, х2, х3… хn), с помощью которой получают количественную меру силы влияния каждого фактора. Характеристики силы связи, называемые коэффициентами регрессии, определяются при построении уравнений регрессии и показывают, на сколько единиц изменится величина изучаемого показателя-следствия (Y) при увеличении значения показателя-фактора (х) на единицу. Построение уравнений регрессии осуществляется на основе компьютерных технологий с использованием пакетов прикладных программ (ППП). Конкретное описание методических особенностей таких расчетов дается в курсе «Эконометрика».
С учетом полученных коэффициентов регрессии методом экспертных оценок формируют гипотезы о предполагаемой силе влияния каждого фактора на каждый год прогнозируемого периода. Если подставить эти гипотетические значения коэффициентов регрессии в уравнение регрессии и произвести соответствующие расчеты, то получим на каждый предстоящий год в пределах горизонта прогноза ожидаемое значение показателя Y.
Динамические методы экономико-математического моделирования основаны на использовании информации, представленной в виде динамических рядов. Уровни динамического ряда рассматриваются как функция тенденции (тренда) и различного рода колебаний. В процессе выравнивания колебаний динамического ряда достигается возможность измерить параметры, определяющие тенденцию развития объекта. В итоге вычисляются значения прогнозируемых показателей на предстоящие даты. С использованием специального математического аппарата производится подбор математической функции, наиболее точно описывающей тренд в каждом конкретном ряде динамики. Простейшей является линейная функция:

где a0, a1 – коэффициенты уравнения регрессии; t – время; yt – значение исследуемого параметра.
Возможна также характеристика тренда с помощью параболы второй степени, параболы третьей степени и других функций.
В ходе подготовки аналитических материалов и расчетов значений прогнозируемых показателей кроме методов корреляции и регрессии применяется ряд других экономико-математических методов. Полезным инструментом является метод кластерного анализа, позволяющий провести классификацию изучаемых объектов. При обращении к характеристикам, не имеющим числовой формы выражения (профессия, отрасль, вид деятельности), используются непараметрические методы анализа.
Ранее было сказано, что совокупность методов прогнозирования включает такие методы, как фактографические, экспертные, комбинированные и др. Комплекс фактографических методов мы рассмотрели на примере некоторых статистических моделей. На практике при прогнозировании статистические методы применяются в сочетании с экспертными методами.
Экспертные (интуитивные) методы основаны на использовании оценок специалистов-экспертов. Прогнозирование методом экспертных оценок в большей степени соответствует нормативному прогнозированию процессов развития предприятия. Экспертные методы прогнозирования основаны на суждениях специалистов, формулирующих свои выводы путем комплексного использования накопленных научных знаний и наиболее общей фактографической информации. В качестве экспертов привлекаются наиболее авторитетные специалисты-практики и ученые. Экспертные группы могут быть сформированы в разном количественном составе. В качестве экспертов могут выступать как сотрудники предприятия, так и специалисты со стороны. Существуют различные методы обобщения информации, полученной в результате.
Обычно к экспертным методам прибегают в условиях, когда исследуемые процессы не поддаются математической формализации, т. е. для них трудно разработать адекватную модель. Среди экспертных методов прогнозирования наиболее известным является дельфийский метод.
Особенность метода Дельфи состоит в том, что анкетный опрос экспертов проводится в несколько туров. В каждом туре эксперты, ознакомившись с результатами предыдущего, проводят оценку заново. Постепенно достигается более высокая согласованность ответов и формируется итоговая оценка, соответствующая мнению большинства экспертов. В процессе оценки эксперты руководствуются строго логическим анализом, интуицией и опытом. Этот метод не требует личного общения экспертов. Прямые дебаты заменяются последовательными индивидуальными опросами по тщательно разработанной программе. Недостатком метода Дельфи является трудность формулирования анкетных вопросов, длительность периода времени экспертизы.
Возможен комбинированный метод, реализуемый путем совместного использования экспертного и фактографического методов.
Любой прогноз имеет вероятностную природу, и полученные итоговые показатели содержат определенную погрешность, источником которой могут быть: неточность исходных данных, неадекватность выбранного метода прогноза, ошибки в вычислении, случайные погрешности. Помимо оценки погрешности прогноза проводят общую экспертизу качества прогноза в целом на основе специальных критериев оценок.
Западные фирмы в своей практике придают большое значение функции экономического прогнозирования и создают специальные службы прогнозирования развития фирмы, которые используют в своей деятельности методы контроллинга. Это обеспечивает гибкое управление предприятием.
Конечным продуктом деятельности по прогнозированию являются варианты прогноза. В результате ситуационного моделирования получают несколько вариантов сценариев развития: высокий, средний и низкий. Проводится их сравнительный анализ с целью оценки их соответствия стратегическим целям организации, основным факторам и условиям развития предприятия в будущем, т. е. ожидаемым условиям и ограничениям функционирования организации. Далее осуществляется выбор наиболее предпочтительного из них. Определяется эффективность прогнозного сценария развития на основе оценки ожидаемой доходности будущих вложений и выявления предполагаемого эффекта от достижения стратегических целей по выбранному сценарию.
Особым направлением анализа вариантов сценария развития является их проверка применительно к факторам риска – возможным в будущем экстремальным ситуациям внутренней и внешней среды. Полученные выводы составляют необходимый аспект обоснования выбора варианта сценария. После окончательного выбора сценария определяются необходимые меры обеспечения экономической безопасности предприятия на перспективу.
3.4. Основные подходы к определению содержания стратегического плана
Необходимость стратегического планирования как функции управления предприятием впервые была осознана в период всеобщего экономического кризиса, когда стали очевидными слабые стороны одних организаций и сильные стороны других. В периоды кризиса предельно обостряется конкурентная борьба, в которой побеждают те предприятия, которые сумели добиться больших конкурентных преимуществ. При неэффективном управлении предприятием впустую тратятся огромные ресурсы без достижения ожидаемых результатов.
Если на Западе методы конкурентной борьбы и выживания предприятий в жестких условиях рыночной экономики формировались десятилетиями, то российский бизнес вступил в сферу рыночных отношений, не имея ни практического опыта, ни надежной теоретической базы. Поэтому в 90-е гг. российские предприятия работали, ориентируясь лишь на решение оперативных задач. Основная проблема состояла в том, что в условиях хозяйственной самостоятельности предприятий и нестабильности внешней среды невозможно ограничиваться только тактическими решениями без ориентации на стратегические планы. Вскоре руководители российского бизнеса осознали насущную необходимость использования стратегического планирования. Кроме признания актуальности стратегического планирования, важно определить оптимальный подход к формированию содержания стратегического плана.
Стратегическое планирование является относительно новым элементом в управлении российскими предприятиями. В определенной мере практика долгосрочного планирования в СССР облегчила российским предпринимателям понимание необходимости освоения методов стратегического планирования и определения структуры стратегического плана. Полезным оказалось также изучение работ зарубежных авторов по теории стратегического планирования, в которых представлены полезные рекомендации о планировании распределения ресурсов, о путях достижения конкурентных преимуществ. Вместе с тем в зарубежной литературе отсутствует единообразная трактовка вопроса о стратегическом планировании, его методах и содержании.
В более ранних работах западных авторов был представлен классический подход, предполагавший оценку сильных и слабых сторон фирмы на основе экспертных знаний и эмпирических зависимостей как основное содержание стратегического плана. Однако практика не подтвердила эффективность такого подхода, не позволяла вскрывать как слабые, так и сильные стороны организации, так как в этой теории отсутствовала концепция системного подхода.
Только в рамках системного подхода, когда предприятие рассматривается как открытая система, имеется возможность полноценно исследовать в единстве все структурные элементы предприятия и все внутренние отношения, а также процессы обмена между ним и окружающей средой. Основной проблемой реализации системного подхода в управлении предприятием является формирование такой методологии стратегического планирования, которая обеспечила бы наиболее рациональное использование потенциальных возможностей системного подхода. В соответствии с принципами системного подхода содержание стратегического плана должно охватывать все основные структурные элементы предприятия, включая виды деятельности, виды ресурсов, состояние управленческих отношений, структурные подразделения предприятия.
Среди различных концепций стратегического планирования представлен такой подход, при котором в центре внимания находятся результаты изучения внешней и внутренней среды хозяйствования. Итоги такого анализа должны помочь предприятию капитализировать свои сильные стороны и минимизировать слабые. Основным критерием выработки оптимальной стратегии является акцент на тех видах производственной деятельности, которые особенно успешно осуществляются организацией.
Тем самым при разработке стратегического плана предполагается выбирать из всех видов деятельности предприятия только те из них, которые обеспечивают конкурентные преимущества. Таким образом, учет сильных сторон деятельности предприятия важен по следующим причинам:
а) позволяет максимально использовать предшествующий опыт;
б) дает возможность получить преимущества в конкурентной борьбе;
в) является фундаментом стратегии предприятия в целом.
При таком подходе в стратегическом плане следует предусмотреть реализацию системного подхода, т. е. учесть все основные аспекты функционирования предприятия.
В теории стратегического планирования представлен один из подходов, называемый единой стратегией развития фирмы на основе модели «7С». Эта модель предусматривает обеспечение механизмов взаимодействия семи важнейших социально-экономических факторов, к которым относятся:
♦ стратегия развития;
♦ совместные ценности;
♦ совокупность способностей;
♦ структура;
♦ система;
♦ сотрудники;
♦ стиль.
Взаимодействие этих семи элементов должно обеспечиваться необходимыми внутренними ресурсами и достаточно благоприятными условиями внешней среды. Так, например, финансовые ресурсы обязаны отвечать следующим требованиям:
1) обеспечивать реализацию выбранной стратегии;
2) быть достаточными для осуществления других необходимых проектов предприятия;
3) быть привлекательными для инвесторов и иных финансовых кругов.
В стратегическом плане разделу финансового плана принадлежит приоритет, так как именно финансовые ресурсы определяют достижение ключевых конечных результатов деятельности. Однако такой подход требует определенной осторожности, поскольку существует опасность нарушения баланса между текущими и долгосрочными решениями в области финансовой политики. При ориентации преимущественно на финансовые показатели нельзя упускать из вида вопросы сохранения конкурентоспособности, достижения лидерства в долгосрочной перспективе. Таким образом, даже в условиях приоритета частной стратегической задачи следует сохранять видение развития предприятия как единого целого и учитывать все основные внутренние и внешние связи.
Определяя в целом требования к содержанию стратегического плана, необходимо иметь в виду следующее.
1. Стратегический план обязан давать конкретные ответы на вопросы о том, каких результатов и когда необходимо достичь и кто за это отвечает. Характеристики планируемых результатов должны быть количественно измеримыми, только при этом условии можно управлять экономическими процессами на предприятии.
2. При разработке стратегического плана следует учитывать, что любая новая стратегия вызывает «сопротивление материала», т. е. сопряжена с изменением типа взаимоотношений в фирме, с изменением структуры полномочий и даже может войти в противоречие с традиционной политикой руководства. Подобный эффект способен препятствовать успешной реализации стратегического плана. Поэтому в стратегическом плане важно предусмотреть нейтрализацию подобного негативного эффекта.
3. По своему содержанию стратегический план должен соответствовать имеющемуся уровню информационного обеспечения. Показатели плана должны быть научно обоснованными и опираться на достоверную информацию, что обеспечивает реальность и достижимость стратегических целей.
4. При определении содержания стратегического плана необходимо учитывать текущую и перспективную обеспеченность предприятия компетентными специалистами, способными осуществлять реализацию стратегии в сложившихся условиях.
5. При составлении стратегического плана и определении содержания необходимо предусмотреть возможность его конкретизации в тактических планах. Только через тактические планы реализуются долговременные цели.
6. При составлении плана необходимо учитывать не только внутренние возможности и ресурсы предприятия, но и условия внешней среды, включая макроэкономические характеристики (объем ВВП, уровень инфляции, безработицы, процентной ставки, объема экспорта и импорта, валютный курс, государственный долг). Только такой подход облегчит понимание конъюнктуры рынка, что особенно важно при разработке долгосрочных планов.
7. Стратегический план должен охватывать все аспекты деятельности предприятия. Поэтому на практике имеет место система планов, включающая планы по конкретным видам деятельности, подразделениям. Так, например, комплексный план развития предприятия включает план маркетинга. План маркетинга, в свою очередь, представляет множество частных планов маркетинговой деятельности (производство, сбыт, реклама и т. д.). Частные планы образуют единую систему и должны быть согласованы по времени, месту, мероприятиям, исполнителям. Основу плана маркетинга составляют маркетинговые цели и намечаемые задания.
8. В структуре плановых показателей необходимо предусмотреть резервные ресурсы по определенным нормативам для компенсации рисков, связанных с неопределенностью получения конечных результатов и необходимостью в перспективе гибкого приспособления к меняющимся условиям.
9. Разработка стратегического плана может осуществляться как силами сотрудников предприятия, так и с привлечением консультантов или специалистов со стороны. Работа над планом требует высокого профессионального уровня работников плановых служб, так как качество планирования в большой мере зависит от интеллектуального уровня и компетенции сотрудников.
3.5. Практика стратегического планирования
Процесс освоения практики стратегического планирования в российском предпринимательстве на начальных этапах создания рыночной экономики был достаточно сложным и противоречивым. Разные группы организаций в разные сроки овладевали методами стратегического планирования. Это было связано с особенностями экономического положения предприятий, от которого зависели доступность источников информации о методиках стратегического планирования, возможность выделить необходимые для этого финансовые ресурсы, наличие подготовленного персонала специалистов в области экономики. Возникали трудности чисто практического характера, такие как неумение распределить функции планирования между сотрудниками и определить ответственных за эту работу, отсутствие возможности воспользоваться услугами профессионалов в области стратегического планирования и др.
Постепенно стал расширяться круг предприятий, для которых стратегическое планирование стало неотъемлемым элементом управления. Сложившаяся практика стратегического планирования обнаруживает существенные различия этого процесса на разных предприятиях. Так, на небольших предприятиях, управляемых самим владельцем, выработка стратегии осуществляется в ограниченных масштабах и не содержит в полном объеме всех процедур планирования, а сам план является достаточно кратким в силу сравнительно простой структуры предприятия и ограниченности видов деятельности. На крупных предприятиях разрабатываются более обстоятельные стратегические планы, в которых детально определены система плановых показателей, пути достижения плановых результатов, сроки выполнения отдельных этапов работ. Руководители крупных предприятий должны сконцентрировать основное внимание на сравнительном анализе альтернативных стратегий и обоснованном выборе оптимальной стратегии для конкретных условий данного предприятия.
Сложилось несколько основных подходов к формированию стратегического плана.
1. «Главный стратегический подход», при котором ведущая роль в составлении стратегического плана в организации принадлежит руководителю или собственнику предприятия. В этом случае система планирования является жестко централизованной. Результат такой организации планирования в большой мере зависит от профессионализма «первого лица», что составляет существенный недостаток данного подхода.
2. Подход «делегирования полномочий». Главная особенность этого подхода состоит в том, что ответственный управляющий поручает выработку стратегического плана команде специалистов, но при этом он осуществляет систематический контроль хода работ по составлению стратегического плана и участвует в принятии принципиальных решений по вопросам планирования.
3. «Совместный подход». Сущность этого подхода состоит в том, что функцию разработки стратегического плана и функцию организации его реализации выполняет одна и та же группа специалистов. Это является большим достоинством, так как разработчики плана непосредственно заинтересованы в наиболее полном учете всех условий и возможностей его реализаций. Вместе с тем данный подход к формированию стратегического плана сопряжен с определенным риском, который заключается в «поощрении» компромиссной позиции, в недостатке смелой творческой инициативы из-за соблазна упростить для себя задачу по реализации плана.
4. «Инициативный подход». Данный подход предполагает, что все функции и ответственность по составлению стратегического плана делегируются группе разработчиков. Управляющий, заинтересованный в высоком качестве стратегического плана, поощряет инициативно и творчески работать над составлением плана менеджеров всех уровней, начиная с нижних организационных структур. В этом случае процесс разработки плана направлен снизу вверх. Эффект такого подхода снижается, отчасти в силу того, что инициативные идеи, исходящие из различных подразделений предприятия, весьма трудно интегрировать в единую, логически целостную модель.
Анализ сложившейся мировой практики стратегического планирования показывает, что обычно имеет место ряд ограничений в содержании плана по сравнению с его идеальной моделью. Наиболее часто встречаются следующие ограничения.
1. Обычно стратегические планы нацелены на реализацию только одной стратегии предстоящих действий. Как правило, отсутствуют программы, которые предусматривали бы возможные варианты решений на случай изменения первоначальной стратегии.
2. Стратегические планы опираются на данные прогнозов лишь по основным агрегированным показателям, в прогнозах обычно отсутствуют более детальные характеристики ожидаемой ситуации в будущем.
3. В стратегических планах редко представлена информация с оценками рисков и проектами возможных вариантов действий на случай наступления рисковых событий.
4. Существенным недостатком является распространенность практики излишней формализации содержания положений о стратегических целях организации. Следствием этого оказывается отсутствие должного эффекта от реализации стратегического плана, особенно если она осуществляется бюрократическими методами.
В качестве позитивных элементов общепринятой практики стратегического планирования в современных условиях можно отметить следующее.
1. Стратегические планы опираются на оценку всех сильных и слабых сторон фирмы, на анализ возможных благоприятных перспектив или опасных событий в окружающей среде.
2. Стратегические планы строятся на основе намечаемых стратегических целей предприятия, среди которых ведущую роль играют важнейшие показатели результатов финансовой деятельности фирмы.
3. Стратегические планы содержат информацию о необходимых в будущем инвестициях, об ожидаемых доходах и расходах, о предстоящих выплатах дивидендов в долгосрочном периоде.
4. В стратегическом плане представлен раздел, содержащий проекты диверсификации предприятия, которая может произойти в результате возможных слияний и поглощений фирм на рынке.
Особого внимания требует вопрос об организации и распределении функций по формированию и реализации стратегического плана. Прежде всего следует исходить из того, что процесс стратегического планирования требует как формальных, так и неформальных процедур реализации. В процессе разработки и реализации плана важно выбрать оптимальный вариант участия и взаимодействия подразделений предприятия в выполнении этих функций. В эту работу помимо разработчиков плана должны быть вовлечены руководители среднего звена, которые, однако, весьма неохотно отвлекаются на решение стратегических задач.
В интегрированном виде комплекс функций и задач, осуществляемых группой стратегического планирования, может быть представлен в виде типовой описательной модели. Наиболее удачный вариант такой модели сформирован Ю. П. Анискиным и А. М. Павловой. Опираясь на данную авторскую разработку, можно в кратком изложении представить основные функции и задачи, выполняемые группой стратегического планирования, следующим образом.
1. Разработка стратегического плана развития предприятия. Основные разделы стратегического плана:
а) анализ конъюнктуры, перспектив и состояния целевых рынков;
б) оценка существующего экономического потенциала предприятия;
в) формирование дерева целей по реализации стратегических задач по основным направлениям деятельности предприятия;
г) определение системы стратегических целей маркетинговой деятельности;
д) формирование плана общего объема продаж, его распределение по видам изделий и по рынкам сбыта – национальным и международным;
е) определение критериев оценки содержания и качества работы сбытовых и обеспечивающих служб предприятия, сетей технического обеспечения реализации стратегии.
2. Разработка разделов стратегического плана по основным направлениям деятельности:
а) разработка целевых программ по реализации стратегических целей;
б) формирование числовых значений контрольных показателей по основным характеристикам деятельности предприятия – объему производства, сумме затрат и т. д.;
в) оценка комплекса внутренних и внешних условий, необходимых для реализации стратегического плана;
г) интегрирование сформированных разделов в единый, сводный стратегический план.
3. Изучение потенциальных возможностей предприятия для реализации стратегического плана или оценка:
а) организационно-технологического уровня готовности производства к реализации стратегических задач;
б) возможностей роста производственного потенциала предприятия;
в) финансовых и коммерческих возможностей для реализации стратегического плана;
г) влияния возможных внешних факторов воздействия на деятельность предприятия;
д) хозяйственного риска дифференцированно по стратегическим направлениям деятельности предприятия.
4. Определение потребности в ресурсах для реализации стратегических решений:
а) формирование требований к качеству и количеству необходимых ресурсов;
б) определение объемов и источников финансирования;
в) формирование источников обеспечения ресурсами с учетом хозяйственного риска;
г) распределение ресурсов по стратегическим целям деятельности предприятия.
5. Осуществление организационно-финансового сопровождения стратегического плана:
а) формирование системы мероприятий по реализации плана;
б) организация стратегического контроллинга;
в) установление межхозяйственных связей по обеспечению ресурсами (кооперация, контракты и др.);
г) определение порядка использования финансовых ресурсов, выделенных для реализации стратегического плана;
д) составление календарных графиков выполнения всех операций;
е) разработка системы контрольных мероприятий с определением сроков, задач и ответственных;
ж) увязка целей верхнего уровня реализации стратегического плана со стратегическими целями подразделений предприятия по характеру участия в плановом процессе; по взаимосвязи планирования с разработкой бюджета.
Представленный алгоритм осуществления процесса стратегического планирования является типовой схемой, которая, однако, не предполагает обязательного строгого соблюдения данной последовательности процедур разработки стратегического плана. Наиболее эффективной является такая организация работ, при которой обеспечивается взаимосогласованность принимаемых решений по всем пунктам плана. Это означает целесообразность параллельной разработки пунктов плана, возможность корректировки уже сформированных решений и даже изменения (дополнение, разукрупнение) принятой структуры стратегического плана. Так, например, Ю. П. Анискин и А. М. Павлова предлагают осуществлять одновременно различными исполнителями следующие конкретные процедуры по подготовке и формированию стратегического плана:
1) сбор и обработку информации о внешней среде (рынок, потребители, поставщики и т. д.) и внутреннем состоянии предприятия;
2) разработку стратегии и альтернативных направлений развития предприятия;
3) анализ ситуации, определение стратегических целей и ключевых условий успеха по каждому направлению бизнеса;
4) анализ конкурентоспособности фирмы и разработку стратегии по отношению к конкурентам;
5) анализ и оценку необходимых ресурсов для успеха в условиях конкуренции;
6) моделирование и анализ воздействий внешних факторов на развитие направлений деятельности и оценку хозяйственных рисков;
7) разработку вариантов стратегических планов с учетом возможного изменения ключевых условий;
8) анализ вариантов плана и выбор оптимального варианта стратегического плана;
9) анализ ожидаемой эффективности стратегического плана;
10) планирование организационно-финансового сопровождения реализации стратегического плана.
Предприятия с разным объемом экономического потенциала располагают различными возможностями для организации плановой службы. В крупной компании плановая служба играет важную роль в процессе стратегического планирования. Эта служба действует в контакте с руководителями линейных служб. Она оказывает помощь руководству при распределении ресурсов между подразделениями предприятия, является основным разработчиком и консультантом по вопросам реализации стратегического плана. Организация системы планирования на предприятии должна обеспечивать согласованность и взаимодействие подразделений при выполнении плановых заданий.
Реализация стратегических планов осуществляется посредством текущих планов. Таким образом, с одной стороны, стратегический план является ключевым инструментом реализации долгосрочной стратегии предприятия. С другой стороны, такая реализация возможна лишь посредством воплощения стратегических целей в системе текущих планов. С учетом значимости текущего планирования как механизма реализации стратегического плана этому вопросу посвящается отдельная глава учебного пособия.
Контрольные вопросы
1. Сформулируйте понятие стратегии.
2. Какие виды ресурсов необходимы для реализации стратегического плана?
3. Какие факторы внешней среды влияют на деятельность предприятия?
4. Раскройте концептуальные основы построения стратегического плана.
5. Какие обстоятельства могут вызвать затруднения в процессе реализации стратегического плана?
6. Перечислите основные функции стратегического плана.
7. Перечислите основные конкурентные стратегии.
8. Определите типичные свойства стратегий концентрированного роста.
9. Каковы особенности группы стратегий «целенаправленного сокращения»?
10. Раскройте сущность наступательных и оборонительных стратегий.
11. Раскройте сущность стратегии роста предприятия, стабилизации, поддержания и сокращения деятельности предприятия.
12. Как классифицируются прогнозы по своему назначению?
13. Каковы особенности нормативных и поисковых прогнозов?
14. Каково назначение экономико-математических расчетов?
15. Какие внешние факторы следует учитывать при разработке прогноза?
16. Охарактеризуйте комплекс внешних факторов, влияние которых измеряется с помощью экономико-математических методов.
17. Какие статистические методы могут быть использованы при прогнозировании?
18. Какими показателями динамики измеряется интенсивность изменения характеристик во времени?
19. Что понимается под методом экстраполяции экономических показателей?
20. Что понимается под опережающими и экспертными методами прогнозирования?
21. В чем состоит сущность метода Дельфи?
22. Что понимается под концепцией стратегического планирования?
23. Каково содержание модели «7С»?
24. Определите основные требования к стратегическому плану.
25. В чем заключается сущность метода «делегирования полномочий» при формировании стратегического плана?
26. Что может препятствовать реализации идеальной модели стратегического плана?
27. Какие разделы необходимо выделять в стратегическом плане?
28. Какие возможны варианты организации служб планирования на предприятии?
Глава 4
ТЕКУЩЕЕ ПЛАНИРОВАНИЕ ДЕЯТЕЛЬНОСТИ ПРЕДПРИЯТИЯ
4.1. Взаимосвязь стратегического и текущего планирования
Текущее планирование можно расценивать как механизм решения задач, установленных стратегическим планом. Стратегический план ориентирован на достижение целей, обеспечивающих экономический рост и необходимый финансовый результат. В реализации этих целей заинтересованы, в зависимости от организационно-правовой формы предприятия, учредители, акционеры, государство (в унитарных предприятиях).
При формировании текущих планов стратегические цели дифференцируются по составным частям, с тем чтобы определить, каким образом эти цели будут реализованы. Таким образом, оперативные задачи разрабатываются более детально, чем стратегические цели. Примерами текущих задач могут служить определение количества необходимых работников с распределением по профессиям и по квалификации, разработка конкретных свойств новой продукции и др.
Стратегическое планирование направлено на определение перспектив развития предприятия как целостной системы в долгосрочной перспективе. Наиболее сложной проблемой, решаемой при стратегическом планировании, является упреждающее распознавание будущих шансов и рисков для предприятия. В стратегическом плане необходимо предусмотреть такую направленность политики предприятия, которая обеспечит в последующие периоды наиболее полное использование шансов и защиту от рисков.
Указанные задачи стратегического плана воплощаются в жизнь в форме реализации текущих планов. При составлении текущего плана разрабатываются операционные цели для предприятия в целом и каждого его подразделения, определяются объемы и структура необходимых ресурсов, формируется план текущих мероприятий. Составной частью текущего планирования является планирование инвестиций.
Текущий план, составляемый на краткосрочный период, имеет комплексный характер, так как охватывает не только процесс производства, но и сферу обращения, где происходит обмен продукцией (услугами) с поставщиками и потребителями. Важнейшим принципом составления текущего плана является обеспечение согласованности между двумя основными условиями: мощностью производственного потенциала предприятия и объемом спроса на продукцию предприятия.
Основным принципиальным различием между стратегическим и текущим планированием является их предметное содержание. Если ключевым вопросом стратегического планирования выступает конечная цель деятельности предприятия, то текущее планирование заключается в постановке комплекса конкретных задач. При текущем планировании решаются вопросы о том, как следует распределить каждый вид ресурсов фирмы для достижения стратегических целей. Составление текущего плана опирается на конкретную информацию, имеющую числовую форму, реализация задач в его рамках легче поддается контролю. Решения задач текущего плана менее, чем цели стратегического плана, подвержены риску в связи с существенно более кратким горизонтом плана и меньшей зависимостью от внешних факторов. Еще одной особенностью текущего планирования является то, что задачи этих планов решаются менеджерами среднего и низшего звена организации. Именно они являются руководителями функциональных подразделений организации, деятельность которых регулируется текущими планами.
Основным содержанием текущего планирования является формирование комплекса задач, связанных с распределением ресурсов организации для достижения стратегических целей. Круг этих задач может быть достаточно широким, если производство включает несколько ассортиментных групп товаров. Комплекс задач расширяется также при использовании предприятием нескольких целевых рынков, поскольку для каждого рынка разрабатывается отдельный план маркетинга. Самостоятельной задачей текущего плана является формирование задания по отслеживанию жизненного цикла товара. Таким образом, главная цель текущего планирования заключается в формировании конкретного комплекса заданий на текущий год в соответствии с данным этапом реализации целей стратегического плана.
Обращаясь к методологическим аспектам разработки текущих планов, следует отметить, что, с одной стороны, текущие планы разрабатываются с использованием общей методологии планирования. С другой стороны, особенности содержания текущих планов требуют модификации общих методов планирования, их дифференциации с учетом особенностей задач и объекта планирования.
Текущие планы представляют систему взаимосвязанных частных планов, среди которых можно выделить определенные группы планов. При этом в целях достижения экономического успеха требуется эффективная координация всех групп планов путем встречной их сверки, разрешения конфликта интересов между ответственными за каждую группу планов. Важнейшей задачей контроллера является согласование всех элементов текущего плана и представление руководству предприятия рекомендаций по обеспечению единства и целостности комплексного текущего плана предприятия. Работа контроллера по корректировке и согласованию текущих планов должна осуществляться постоянно. Кроме того, в обязанности контроллеров входят также контроль процесса реализации текущих планов, анализ результатов их выполнения, оказание помощи, консультирование и поддержка линейных подразделений в осуществлении планирования.
На предприятиях, где не только предусмотрены функции контроллинга, выполняемые кем-либо из топ-менеджеров, но и создана специализированная служба контроллинга, эта служба может выполнять более полный комплекс операций в области текущего планирования. К числу таких операций кроме перечисленных ранее могут относиться: актуализация организационно-методологической базы планирования, организация мониторинга и формирование банка данных с целью обеспечения базовой информации для разработки текущих планов и проверки хода их выполнения. Важной аналитической функцией контроллинга является отслеживание «узких мест», с тем чтобы учитывать их при планировании как ограничительные условия и изыскивать возможности по устранению этих узких мест в будущем. Таким образом, контроллинг обеспечивает организационно-методологическую и информационно-аналитическую поддержку планирования как одного из основных инструментов управления предприятием.
Служба контроллинга является тем структурным элементом системы управления предприятием, который наиболее успешно может решать задачу обеспечения взаимосвязи стратегического и текущего планирования. Текущие годовые планы являются производными от стратегического плана. Наряду с этим в ходе реализации текущих планов могут возникнуть основания для корректировки стратегического плана. Контроллинг, обеспечивая каналы обратной связи, осуществляет оценку того, насколько реализуемым является стратегический план и какие изменения следует в него вносить, следует ли уточнить стратегические цели и методы их достижения. Особое внимание служба контроллинга должна уделять финансовым планам, играющим ключевую роль в системе текущих планов и имеющим ярко выраженную специфику по содержанию и по методам их разработки. Это послужило основанием для выделения их в самостоятельную группу, называемую либо финансовыми планами, либо бюджетированием.
Наиболее совершенной формой представления текущих планов является бизнес-план. Эта модель планирования полноценно освоена российскими предпринимателями, что не только связано с осознанием эффективности такого планирования, но в значительной мере стимулируется государством и субъектами финансового рынка.
4.2. Порядок разработки и содержание бизнес-плана организации
Критерием качества плана является его способность обеспечить наиболее эффективное функционирование организации в течение планового периода. В наибольшей мере этому требованию соответствуют комплексные планы, основанные на принципах системного подхода. В краткосрочной или среднесрочной перспективе таким планом является бизнес-план.
Он представляет собой развернутый план развития предприятия, который способен определить пути обеспечения в будущем жизнеспособности и устойчивости предприятия, снизить хозяйственные риски. В бизнес-плане при определении задач необходимо исходить из долгосрочного видения роли организации на рынке и учитывать специфические особенности ее позиционирования в рыночной среде, а также наиболее существенные принципы коммерческой деятельности. В нем определяются текущие задачи организации с учетом как внутренних, так и внешних факторов. При разработке бизнес-плана предусматривается достижение таких качественных и количественных показателей деятельности организации, которые сделали бы ее привлекательной для внутренних и внешних контрагентов, инвесторов, кредиторов. Такая направленность бизнес-плана требует:
♦ ориентации коммерческой деятельности организации на избранные сегменты рынка с учетом их специализации и региональной специфики рынка;
♦ целевой ориентации на потребителей (клиентов), формирование краткого и ясного описания того, какие потребности, каких клиентов и каким образом собирается удовлетворить организация;
♦ целевой ориентации на повышение деловой и корпоративной культуры руководителей и сотрудников организации;
♦ целевой ориентации на учредителей, акционеров (участников), интересы которых должны удовлетворяться в соответствии с их целями, ради которых они участвуют в бизнесе;
♦ подробного описания спектра всех основных хозяйственных операций;
♦ оценки влияния экономических и правовых условий деятельности организации в регионе, в стране и на мировом рынке.
В бизнес-плане должна быть представлена объективная оценка позиций организаций в рыночной среде, в том числе характеристика влияния уровня и динамики показателей, определяющих рыночную среду, на основные направления коммерческой деятельности организации, включая ее продуктовую ориентацию и перспективы развития деловой активности.
Основными целями разработки бизнес-плана являются:
♦ привлечение инвесторов к предполагаемому направлению деятельности предприятия;
♦ получение кредитов;
♦ планирование деятельности предприятия в соответствии с рыночной конъюнктурой;
♦ оценка степени реальности целей предприятия;
♦ обоснование целесообразности реорганизации действующего или создания нового предприятия (если такие действия планируются);
♦ создание мотивации для персонала предприятия путем информирования о возможности достижения новых целей;
♦ продвижение товара на новые рынки.
Разработка бизнес-плана представляет комплекс процедур, которые можно расположить в определенной хронологической последовательности. Не существует единой общепринятой модели, определяющей технику составления бизнес-плана. В наиболее общем виде порядок работ по его созданию можно представить в виде следующих основных этапов:
1) анализ ресурсного потенциала организации;
2) исследование возможных рынков сбыта;
3) составление прогноза производства и сбыта;
4) разработка организационного плана;
5) определение структуры бизнес-плана;
6) разработка бизнес-плана, т. е. комплексного плана развития предприятия с выделением частных планов, таких как план производства, план маркетинга, финансовый план и др.
Типовая структура бизнес-плана имеет следующий вид:
♦ титульный лист;
♦ резюме (краткое изложение структуры плана);
♦ организационный план;
♦ анализ рынка;
♦ план маркетинга;
♦ продукты (услуги);
♦ план производства;
♦ финансовый план;
♦ хозяйственные риски.
Рассмотрим кратко содержание перечисленных разделов бизнес-плана.
«Титульный лист» должен содержать следующую информацию: название и адрес фирмы, информацию об учредителях, название плана, дату составления плана, информацию о степени секретности данных и др.
Раздел «Резюме» заполняют после подготовки полного текста бизнес-плана. В нем представлена общая информация о предприятии, о его учредителях и системе управления. В разделе кратко излагаются данные о его рыночной политике, характеризуются основные положения плана. Особый акцент делается на вопросах о приоритетных направлениях деятельности предприятия, о планах обеспечения конкурентоспособности товара и предприятия, о необходимых финансовых и иных ресурсах, о стратегических целях, на реализацию которых направлены задачи бизнес-плана. В целом структура раздела «Резюме» обычно строится по следующей схеме:
а) определение целей и задач плана;
б) краткое описание всех ключевых структурных составляющих бизнес-плана;
в) характеристика направлений деятельности;
г) прогноз спроса на товар (услуги) предприятия;
д) стоимость проекта и источники финансирования;
е) в заключительной части характеризуются факторы успеха предприятия и его конкурентные преимущества и др.
В разделе «Организационный план» содержится общая информация о статусе предприятия: форма собственности, организация руководства, распределение полномочий и ответственности, тип организационной структуры фирмы, основные пайщики или основные акционеры организации, количество и класс акций, их процентное соотношение в общей величине акционерного капитала, сколько акций и какого класса всего было выпущено и предполагается еще выпустить. В разделе должна быть информация о порядке голосования, о процедуре выплаты дивидендов.
Подробная информация дается о тех, кто входит в состав совета директоров и правления корпорации, с указанием имени, адреса, краткой биографической справки, должности, квалификации, опыта, образования. Необходимо указать, в чем выражается участие собственников и совета директоров в повседневном управлении фирмой.
В разделе необходимо охарактеризовать заключаемые организацией контракты, способы выплат вознаграждения менеджерам, применяемые формы участия работников в акционерном капитале фирмы. Необходимо дать характеристику организационной структуры фирмы, способов взаимодействия подразделений друг с другом, организацию информационных потоков на предприятии.
Следует привести краткую историю создания предприятия, сообщить о последующих изменениях, о родительской компании или дочерних обществах.
В разделе «Анализ рынка» дается детальная и разносторонняя характеристика будущих рынков сбыта. Общая характеристика рынка должна включать оценку его потенциальной емкости и информацию о факторах, определяющих ее. Необходимо также представить информацию о планируемой сумме продаж на рынке и ее доле в общей емкости рынка. При планировании выхода на несколько рынков анализ проводится по каждому из них и дается сравнительная оценка эффективности работы на каждом рынке. На основе анализа целевых рынков составляется план маркетинга.
В разделе «План маркетинга» представлена подробная информация об основных элементах комплекса маркетинга, о намерениях предприятия в:
♦ определении схемы распространения товара, характеристике форм и методов внедрения товаров на рынок;
♦ политике ценообразования;
♦ рекламной деятельности, с учетом запросов конечных потребителей;
♦ методах стимулирования продаж;
♦ программе послепродажного обслуживания.
Раздел строится на базе результатов маркетинговых исследований по таким направлениям, как:
а) виды товаров (услуг), имеющих платежеспособный спрос;
б) основные клиенты и их предпочтения;
в) потенциальные конкуренты;
г) конкурентные преимущества данной организации;
д) мероприятия по завоеванию ниши на рынке товаров (услуг);
е) проводимые мероприятия, возможности и ограничения по расширению ниши на целевом рынке;
ж) исследование потенциальных возможностей и угроз.
В разделе «Продукты и услуги» содержится детальная характеристика будущих товаров и услуг, дается информация для самих предпринимателей, инвесторов и потребителей о том, какие продукты и услуги планируется предлагать рынку. Эти характеристики должны включать информацию о самом товаре, его потребительских свойствах, дизайне, степени защиты, об упаковке продукта. Помимо характеристики товара в бизнес-плане следует дать обоснование цены товара (услуги), а также характер послепродажного обслуживания, если он имеет место или предполагается его организация. Необходимо указать способы применения товара потенциальными покупателями.
В разделе «Продукты и услуги» содержится также оценка изменений уровня спроса на товар с учетом перспектив развития его жизненного цикла. Если предполагается модифицировать товар, то дается конкретное описание данного товара в будущем. Важной характеристикой является определение степени уникальности товара по сравнению с товарами (услугами) конкурентов, обоснование его конкурентных преимуществ. Информация об уровне защиты товара включает сведения о наличии патента, авторских прав, зарегистрированной торговой марки, товарного знака. Если потребление товара носит специфический характер, например сезонный характер, или товар адресован узкому контингенту потребителей, то такая информация также включается в бизнес-план.
Раздел «План производства» содержит описание всех главных компонентов производственной системы, включая техническую характеристику плана производства, информацию о составе и качестве действующего оборудования, структуру производственного процесса, операции по выпуску товара, необходимых материалов и сырья, расчеты издержек производства.
В этом разделе должны быть указаны основные поставщики организации, их имена и адреса. Очень важно определить критические факторы – «узкие места», связанные с внутренними факторами, действиями поставщиков и др.
Особое внимание следует уделить вопросу о дополнительных производственных мощностях, которые необходимы для обеспечения плана выпуска продукции. Должны быть указаны конкретные способы расширения производственных мощностей и необходимые для этого затраты. Следует определить, даст ли экономический эффект расширение масштаба производства.
В разделе дается описание действующей системы контроля качества производственных операций и конечного продукта. В плане содержатся характеристики численности и состава рабочей силы, необходимой для осуществления производства в настоящее время и в планируемом периоде.
В разделе «Финансовый план» представлены три основных плановых документа: баланс организации, план прибылей и убытков и прогноз движения наличности, а также так называемый анализ чувствительности. Подробная характеристика этих документов будет дана нами в следующем параграфе.
Анализ чувствительности осуществляется с целью изучения эффективности инвестиций за счет следующих факторов: затрат на исследования и разработки, строительных издержек, размеров рынка, цены, издержек производства, затрат на рекламу и сбыт и т. п.
В разделе «Хозяйственные риски» определены основные направления и методы управления рисками в организациях. Основными являются риски, связанные с поведением контрагентов и конкурентов, с изменениями во внешней среде, особенно – с резкими изменениями рыночной конъюнктуры, появлением новых товаров на рынке.
Оценки рисков должны быть конкретными, поэтому необходимо использовать математический аппарат и экспертные оценки специалистов. Ценность данного раздела состоит в том, что его материалы должны убедить инвестора в надежности организации.
Наряду с общими рисками в условиях России существует ряд специфических рисков, обусловленных нецелевым расходованием кредита, несоблюдением запланированного проектного бюджета, отсутствием гарантированных источников финансирования программы.
В ходе составления и исполнения бизнес-плана существенную роль играет система контроллинга, дающая информацию для корректировки бизнес-плана, что позволяет определять наиболее эффективные пути и способы реализации плана.
4.3. Бюджетирование как механизм финансового обеспечения планов организации
С целью управления доходами, расходами и ликвидностью предприятия используется такой универсальный инструмент, как бюджет, который тесно связан с планированием. В формировании бюджета участвуют совместно контроллеры, ответственные за применяемые методы и подходы к процессу бюджетирования, менеджеры соответствующих подразделений, сотрудники финансовой службы предприятия. Основой составления бюджета является план. Бюджет формируется на базе разработанных и принятых текущих планов.
Бюджетирование является комплексным процессом, который включает планирование, учет и контроль финансовых потоков и результатов деятельности предприятия. В интегрированном виде планы расходов и доходов представлены в генеральном бюджете предприятия, в котором отражены будущие финансовые операции. При этом учитываются цели и задачи организации, обеспечивается охват всех сторон хозяйственной деятельности.
Генеральный бюджет организации должен обеспечить решение следующих задач:
♦ планирование финансовых результатов хозяйственной деятельности по организации в целом, по отдельным видам деятельности, по каждому продукту;
♦ установление целевых показателей эффективности деятельности и лимитов по видам затрат;
♦ финансово-экономическое обоснование бизнес-проекта организации;
♦ определение плана финансирования из внутренних и внешних источников;
♦ оценка эффективности работы структурных подразделений организации.
Бюджетирование является одним из инструментов эффективного управления, основанным на использовании финансовых рычагов регулирования экономических отношений в пределах хозяйствующего субъекта. Роль бюджетирования в управлении организации определяется тем, что:
а) оно позволяет усовершенствовать и повысить эффективность распределения и использования ресурсов предприятия;
б) оно обеспечивает оценку качества работы центров финансовой ответственности, а также их руководителей;
в) детально проработанный бюджет и оперативный контроль его выполнения позволяют принимать обоснованные решения по вопросам ценообразования, анализа безубыточности производства, планирования ассортимента продукции, определения плана капитальных вложений;
г) бюджетирование представляет элемент управленческой технологии, обеспечивающий повышение финансовой обоснованности принимаемых управленческих решений;
д) бюджетирование позволяет решать проблемы оптимизации финансовых потоков, обеспечивать сбалансированность источников поступления денежных средств и направлений их использования.
Содержанием процесса бюджетирования является определение финансовых результатов, установление целевых показателей финансовой эффективности и рентабельности. Бюджеты составляют основу для сравнительного анализа финансовой эффективности работы подразделений организаций. Бюджетирование создает возможности для оценки инвестиционной привлекательности организации и ее конкурентоспособности. В процессе бюджетирования осуществляются разработка, исполнение, контроль и анализ финансового плана, сопоставление плана по затратам и ожидаемым результатам на предстоящий период.
Бюджет организации необходим для оценки финансового состояния, для обоснования с помощью финансовых показателей текущего плана, для принятия управленческих решений, для укрепления финансовой дисциплины в организации.
Система бюджетирования распространяется на все структурные подразделения организации: функциональные, производственные, непроизводственные (вспомогательные). Основой структуры бюджета организации являются статьи по элементам затрат, которые в укрупненном виде представлены следующими группами:
♦ материальные затраты;
♦ потребление энергии;
♦ фонд оплаты труда;
♦ амортизация;
♦ финансовые затраты;
♦ прочие затраты.
Бюджетный план содержит информацию не только о конкретных статьях доходов и затрат, но и о центрах ответственности, где принимаются и исполняются соответствующие управленческие решения. Четкое определение состава центра ответственности позволяет более эффективно внедрить сквозную систему финансового планирования на предприятии. Типовая схема центров ответственности предполагает выделение четырех их видов:
а) центр ответственности по доходам включает управление маркетинга и коммерческое управление;
б) центр ответственности по расходам включает управление производством и управление технического обеспечения и ремонта;
в) центр ответственности по прибыли включает управление финансами и экономикой;
г) центр ответственности по инвестициям включает управление техническим развитием и персоналом.
Структура сводного бюджета может иметь свою специфику у организаций разных организационно-правовых форм. Содержание бюджетирования зависит от главной финансовой цели организации. Если таковой является рост капитализации (стоимости предприятия), то основной задачей бюджетирования оказывается контроль эффективности использования активов. Однако на практике обычно представлены комплексные финансовые цели, которые взаимосвязаны. Как известно, быстрый рост объемов продаж обычно сопровождается снижением нормы прибыли, что требует взаимосогласования планов по этим двум показателям.
Сводный бюджет предприятия, как любой балансовый документ, состоит из доходной и расходной частей. Оптимальным является такой бюджет, в котором доходная часть равна расходной части.
Существует ряд классификаций бюджетов, формируемых по таким признакам, как технология составления, масштабы консолидации, бюджетный формат, система целевых показателей и нормативов, виды организационных процедур бюджетирования и др. Наиболее распространенной является классификация, разграничивающая такие виды бюджетов, как перечисленные далее.
1. Основные бюджеты.
1.1. Бюджет доходов и расходов.
1.2. Бюджет движения денежных средств.
1.3. Расчетный баланс.
2. Операционные бюджеты.
2.1. Бюджет продаж.
2.2. Бюджет запасов готовой продукции.
2.3. Производственный бюджет:
♦ бюджет производства;
♦ бюджет прямых материальных затрат (бюджет закупок основных материалов и запасов товарно-материальных ценностей);
♦ бюджет прямых затрат труда;
♦ бюджет прямых операционных или производственных затрат;
♦ бюджет накладных (общепроизводственных) расходов.
2.4. Бюджет управленческих расходов.
2.5. Бюджет коммерческих расходов.
3. Вспомогательные бюджеты.
3.1. План капитальных (первоначальных) затрат.
3.2. Кредитный или инвестиционный план.
4. Специальные бюджеты.
4.1. Бюджет балансовой прибыли.
4.2. Бюджет чистой прибыли.
4.3. Бюджет НИОКР.
4.4. Бюджет технической реконструкции производства.
4.5. Налоговый бюджет.
Основные бюджеты предназначены для оценки финансового состояния, для управления финансами, для финансового контроля и для решения ряда других управленческих задач предприятия.
Операционные и вспомогательные бюджеты составляют информационную базу для разработки основных бюджетов. Они позволяют увязать между собой натуральные и стоимостные показатели плана. Основные бюджеты являются обязательными. Состав операционных и вспомогательных бюджетов определяется в зависимости от целей и задач предприятия. Специальные бюджеты показывают калькуляцию или распределение отдельных статей основных бюджетов. Набор специальных бюджетов формируется с учетом специфики хозяйственной деятельности организации.
Процесс бюджетирования должен быть основан на бюджетном регламенте, т. е. на соответствующих организационных процедурах, регламентирующих функции разработчиков бюджета и их взаимодействие. Бюджетный регламент закрепляется внутренними нормативными документами предприятия. Регламент включает графики, описание процедур составления, согласования, консолидации и утверждения бюджетов в организации, процедур составления отчетов об исполнении бюджетов, их анализа и корректировок. При составлении бюджета соблюдается скользящий график работ, что позволяет проводить согласование бюджетных показателей. Обычно предусматривается следующая последовательность работ по составлению бюджета:
1) первоначально составляются бюджеты отдельных структурных подразделений;
2) на их основе создаются сводные бюджеты предприятия в целом;
3) сформированные бюджеты подвергаются анализу, согласованию и утверждаются руководством предприятия.
При бюджетировании необходимо соблюдать ряд общих правил, наиболее важными среди которых являются:
♦ разработка и принятие единого документа, регламентирующего процесс бюджетирования;
♦ унифицированность форматов, процедур и регламентов;
♦ формирование и утверждение состава разработчиков бюджетов;
♦ четкое разграничение полномочий и ответственности отделов и подразделений, участвующих в составлении бюджетов;
♦ непрерывность составления и корректировки бюджетов;
♦ конфиденциальность информации;
♦ установление жесткой финансовой дисциплины;
♦ определение специальных мер, позволяющих избегать или урегулировать конфликт интересов представителей отдельных структурных подразделений предприятия при составлении бюджетов.
Контрольные вопросы
1. Дайте сравнительную характеристику стратегического и текущего планирования.
2. Что является содержанием текущего планирования?
3. Каков горизонт текущего и стратегического плана?
4. Каковы функции контроллинга в текущем планировании?
5. В чем выражается комплексность текущих планов?
6. Что понимается под обратной связью между текущим и стратегическим планом?
7. В чем заключается сущность бизнес-плана?
8. Определите основные цели разработки бизнес-плана.
9. Охарактеризуйте типовую структуру бизнес-плана.
10. Перечислите основные этапы составления бизнес-плана.
11. Определите содержание раздела бизнес-плана «Анализ рынка».
12. Раскройте сущность бюджетирования.
13. Определите задачи генерального бюджета организации.
14. Какова роль бюджетирования в управлении организацией?
15. Раскройте смысл понятия «бюджетный план».
16. Что понимается под центром ответственности?
17. По каким признакам может осуществляться классификация бюджетов?
18. Определите содержание понятия «бюджетный регламент».
19. Какова последовательность работ при составлении бюджета предприятия?
20. Какие правила необходимо соблюдать при составлении бюджета?
Глава 5
КОНТРОЛЛИНГ КАК ИНСТРУМЕНТ СТРАТЕГИЧЕСКОГО ПЛАНИРОВАНИЯ
5.1. Теоретические основы контроллинга
Возникновение и эволюция контроллинга как инструмента управления непосредственно обусловлены развитием и усложнением структуры рыночных отношений. Контроллинг (от англ. «controlling») в дословном переводе означает руководство, регулирование, управление, контроль. Контроллинг возник в первой половине ХХ в. как результат формирования новой концепции управления бизнесом.
Понятие контроллинга как научной категории возникло в западной экономической науке и впоследствии в 90-е гг. было воспринято в России в связи с поиском механизмов, способных обеспечить эффективное функционирование хозяйствующих субъектов в рыночных условиях.
Теория и практика контроллинга развивались постепенно, проходя ряд последовательных этапов. Как указывал Дитгер Хан (Dietger Hahn), «истоки контроллинга лежат в области государственного управления и уходят своими корнями в Средние века. Уже в XV в. при дворе английского короля существовала должность с названием „Courtrollour“, в задачи которой входили документирование и контроль денежных и товарных потоков. В современном значении слово „контроллинг“ как характеристика области задач на предприятии стало использоваться в США с конца XV в…» Однако широкое развитие контроллинга началось только с 20-х гг. ХХ в. До Великой депрессии слово «контроллер» на предприятиях оставалось неизвестным. Основной причиной появления понятия контроллинга в экономической литературе называют прежде всего промышленный рост в США в конце XIX – начале XX в., который вызвал усложнение процессов планирования и появление новых подходов к планированию на предприятии. Беспрецедентный рост размеров отдельных предприятий и сложности производства повлекли за собой соответственно необходимость улучшения методов управления.[33] В разных группах предприятий и в разных странах развитие контроллинга шло неравномерно, поэтому сосуществуют концепции контроллинга, соответствующие разным этапам его развития и разным экономическим школам.
Отечественные научные публикации по проблемам контроллинга, круг которых остается пока сравнительно ограниченным, позволяют систематизировать и обобщить информацию о сложившихся в российской науке теоретико-методологических подходах к данному инструменту управления. Одним из факторов, с которым связано некорректное использование контроллинга, является ошибочное отождествление его с контролем. В действительности контроль представляет собой лишь элемент контроллинга, так как последний является комплексной межфункциональной концепцией, целью которой является координация систем планирования, контроля и информационного обеспечения.
Истоки российской теории и практики контроллинга лежат исключительно в области западных научных школ. Это тот редкий случай, когда по конкретному зарождающемуся научному направлению полностью отсутствует какой-либо отечественный практический опыт или научные разработки. В этих специфических условиях развитие научного знания также носит особый характер. Во-первых, отсутствие отечественных корней является, в известной мере, тормозом, так как в силу инерции труднее воспринимаются непривычные идеи и концепции. Во-вторых, в экономической практике в недостаточной мере подготовлена почва для освоения и внедрения метода контроллинга.
В научных трудах российских ученых вопросы теории контроллинга обычно рассматривают как бы «вне времени и пространства», т. е. отсутствует четкое разграничение концепций контроллинга по отдельным хронологическим периодам и по отдельным школам. Принято сравнивать американскую и немецкую школы контроллинга (А. М. Карминский, Н. И. Оленев, А. Г. Примак, С. Г. Фалько, М. Л. Слуцкин, Л. В. Попова, Р. Е. Исакова и др.), но нет анализа особенностей российской модели контроллинга и ее отличия от зарубежных воззрений. Не рассматривается вопрос о том, как представлен контроллинг в других странах, кроме США и Германии.
При анализе различных концепций контроллинга обычно не учитывается фактор времени – не определено, в какие годы какие концепции были наиболее популярными. Исключением является подход к классификации, реализованный Л. А. Малышевой, которая в периоде с 1980 г. по настоящее время выделила шесть этапов развития контроллинга, каждый из которых отличается преобладанием конкретной концепции контроллинга. Дискуссионным может быть вопрос о точности хронологических границ и об особенностях каждого этапа, но, бесспорно, научный и практический интерес представляет сам принцип классификации.
Вместе с тем необходимо признать, что выполненные рядом авторов аналитические обзоры концепций контроллинга дают в целом достаточно полную картину основных направлений научной мысли по этому вопросу. В научных трудах представлены разработки по следующим аспектам теории и практики контроллинга.
1. Концепция контроллинга как основополагающая идея теории контроллинга.
2. Взгляды и представления по частным вопросам теории контроллинга, в том числе.
2.1. Формализованное определение понятия контроллинга как научной категории.
2.2. Цели и задачи контроллинга.
2.3. Функции контроллинга.
2.4. Предмет и объект контроллинга.
2.5. Содержание контроллинга.
2.6. Принципы контроллинга.
2.7. Систематизация, классификация видов контроллинга.
2.8. Закономерности развития контроллинга в историческом аспекте.
3. Методологические основы контроллинга.
3.1. Базовые принципы формирования методологии контроллинга.
3.2. Описание конкретных инструментов контроллинга.
4. Основы организации контроллинга.
4.1. Оценка соотношения и взаимосвязи контроллинга и управления.
4.2. Определение сфер практического применения контроллинга.
4.3. Основные положения о службе контроллинга и контроллерах.
Очевидно, что перечисленные аспекты характеристик состояния научного знания в области контроллинга в России находятся в тесной логической взаимосвязи, раскрывают и объясняют друг друга. Наибольший интерес представляют отечественные публикации последних лет по проблемам контроллинга. Более ранние работы, относящиеся к 90-м гг., соответствуют начальному периоду знакомства российских ученых и практиков с трудами западных ученых и зарубежной практикой в области контроллинга, когда в России еще не сложились достаточно устойчивые воззрения на его сущность и функции.
Основным является вопрос о сравнительной оценке основополагающих идей о сущности, принципах и функциях контроллинга, обозначаемых в обобщенном виде как концепции контроллинга.
В большинстве научных публикаций, посвященных контроллингу или затрагивающих его в какой-то мере, теория контроллинга рассматривается в двух основных аспектах:
а) анализ основных представленных в научных публикациях концепций контроллинга;
б) классификация его видов.
В научной и учебной литературе традиционно все концепции контроллинга принято делить на три группы.
1. Контроллинг понимается как функция, интегрированная в систему бухгалтерского учета. При этом основное внимание в ходе экономического анализа сосредоточивается на показателях результатов деятельности предприятия, выраженных в денежном измерении. В данной концепции доминирует ориентация на общие финансовые результаты, без учета вклада каждого подразделения фирмы в совокупные итоги и без учета дифференциации результатов функционирования отдельных подразделений и служб предприятия. Главная особенность данной концепции контроллинга заключается в том, что он ориентирован лишь на прошлую динамику и на текущие задачи менеджмента.[34]
2. Концепция контроллинга, основанная на приоритетной ориентации контроллинга на обеспечение служб менеджмента информацией, необходимой для принятия решений. Такая информация является комплексной, охватывает качественные и количественные аспекты деятельности предприятия, представлена различными видами показателей, содержит данные о прошлом, настоящем и планируемом или прогнозируемом будущем, т. е. становится инструментом обеспечения всего информационного поля системы управления организацией.
3. Концепция контроллинга, ориентированная на управление с акцентом на координацию, или планирование и контроль.
Каждая из перечисленных концепций контроллинга носит ограниченный, частный характер и соответствует начальным этапам и раннему опыту внедрения контроллинга в практику управленческой деятельности.
Более зрелая и завершенная интерпретация сущности контроллинга выражена в современной концепции, которая предусматривает использование контроллинга как инструмента, обеспечивающего ликвидацию узких мест в деятельности организации и ориентированного на будущее в соответствии с поставленными стратегическими целями предприятия. При таком понимании контроллинга он задействован на всех стадиях управленческого процесса, конечной целью которого является обеспечение конкурентоспособности и прибыльности предприятия.
Общее понимание сущности и назначения контроллинга оказывается достаточно близким в большинстве публикаций по его проблемам. В обобщенном виде ключевые положения теории контроллинга можно сформулировать следующим образом.
1. Контроллинг – качественно новый и перспективный инструмент в решении задач управления (менеджмента) предприятием, адекватный условиям информационного общества и эпохи глобализации.
2. Контроллинг ориентирован на обеспечение более высокой эффективности и конкурентоспособности предприятия в условиях неопределенности и нестабильности рыночной среды.
3. Контроллинг призван поддерживать, способствовать оптимизации процесса управления (менеджмента) предприятием и принятия управленческих решений.
4. Контроллинг реализует свои функции, основываясь на базовых положениях системного подхода об интеграции, взаимосвязях, обратных связях при определении комплексной методологии, при охвате всех уровней и сфер управления предприятием.
5. Структуризация (классификация) контроллинга соответствует уровням принятия управленческих решений на предприятии. Общепринятым является разграничение следующих видов контроллинга: стратегического, оперативного, тактического и операционного.
Исходным положением в тории контроллинга является определение контроллинга как экономической категории. Понятие контроллинга относится к той группе экономических категорий, по которым существует большой разброс мнений у специалистов. В значительной мере такая дифференциация обусловлена историческими аспектами зарождения и развития данной ветви научного знания.
Особое внимание к формулировке понятия контроллинга важно потому, что в нем в концентрированной форме выражена сущность каждого варианта видения сущности, функций, концепций контроллинга. В одних случаях российские авторы полностью солидарны с трактовкой понятия «контроллинг» в зарубежных источниках. Так, например, в книге Р. Манна (Rudolf Mann) и Э. Майера (Elmar Meyer) «Контроллинг для начинающих», переведенной на русский язык и изданной в России в первом издании в 1991 г., дано следующее определение: «Контроллинг – это управление будущим для обеспечения длительного функционирования предприятия и его структурных единиц».[35] В изданной в 2003 г. книге Ю. П. Анискина и А. М. Павловой «Планирование и контроллинг» представлено очень близкое по содержанию и редакции определение: «Контроллинг – управление будущим для обеспечения длительного и эффективного функционирования предприятия и его структурных подразделений».[36] Но чаще российские авторы дают свои оригинальные формулировки понятия «контроллинг».
Наиболее распространенными в интерпретации отечественных авторов являются следующие варианты определения понятия «контроллинг» (курсивом нами выделены ключевые слова, определяющие то понятие, с которым он отождествляется):
♦ «…система управления, нацеленная на получение…»;[37]
♦ «…система непрерывной оценки всех сторон деятельности компании, ее подразделений, руководителей, сотрудников»;[38]
♦ «…учет и контроль на предприятии»;[39]
♦ «…ориентируется на поддержку процесса принятия управленческих решений на предприятии»;[40]
♦ «…функционально обособленное направление экономической работы на предприятии… для принятия оперативных и стратегических решений»;[41]
♦ «…межфункциональный инструмент управления, обеспечивающий обоснованность принимаемых руководством решений»;[42]
♦ «…концепция системы управления…»; контроллинг «ориентирован, прежде всего, на поддержку процессов принятия решений»;[43]
♦ «…концепция системного менеджмента, управления организацией или отдельным функциональным процессом.»; он «является ведущим элементом, механизмом, обеспечивающим управление по интегрированным целям в многоступенчатой системе планирования и контроля деятельности предприятия»;[44]
♦ «под контроллингом понимают концепцию эффективного управления фирмой. система контроллинга интегрирует учет, планирование, маркетинг в единую самоуправляемую систему»;[45]
♦ «региональный инфраструктурный инновационный контроллинг становится прогрессивным методом эффективного управления субъектом федерации (или федерального округа), т. е. осуществляется функционально обособленное направление финансово-экономической работы на мезоуровне», «…осуществляет конвергенцию рыночной инфраструктуры».[46]
Если систематизировать представленные варианты определения контроллинга, то наиболее часто встречаются две точки зрения:
1) контроллинг – это концепция управления (или менеджмента);
2) контроллинг – это система управления.
Редко встречаются определения контроллинга как направления экономической работы; инструмента управления; информационной системы; учета и контроля (синтеза планирования, учета, контроля и др.).
В этих же определениях, как правило, указывается, что контроллинг ориентирован на обеспечение принятия решений, и значительно реже говорится о направленности контроллинга на координацию.
Рассмотренный перечень определений понятия «контроллинг» не только интересен как свидетельство крайне большого разброса мнений о сущности этого инструмента управления, но и может служить базой для систематизации основных подходов к определению его сущности, которые в научной литературе обозначают как виды концепций контроллинга.
Особенности взглядов авторов на частные вопросы теории контроллинга являются, по существу, производными из рассмотренных базовых понятий – концепции контроллинга и его формализованного определения. Так, по вопросу о целях и задачах контроллинга наиболее типичными являются следующие суждения:
♦ цель контроллинга вытекает из цели организации;
♦ контроллинг направлен на поддержку принятия управленческих решений;
♦ контроллинг решает задачу предупреждения возникновения кризисных ситуаций, устранения узких мест в работе;
♦ контроллинг решает три основные задачи: планирование, контроль, регулирование посредством планирования и т. д.
Уже из этих нескольких примеров видно, насколько разнонаправленными являются представления о назначении контроллинга на предприятии.
Важным вопросом является определение функций контроллинга на предприятии. К наиболее значимым относятся следующие его функции: сервисная (информационная), состоящая в формировании и предоставлении информации для управления и принятия решений; внутренний контроль; координирующая; аналитическая; интеграция методов учета, анализа, нормирования, планирования и контроля в единую систему получения, обработки и обобщения информации.
Важным свойством контроллинга является его способность создавать предпосылки для успешного функционирования предприятия в долгосрочной перспективе на базе:
а) адаптации стратегических целей к глобальным тенденциям развития внешней среды;
б) согласования текущих планов со стратегическим планом развития предприятия на основе приоритета стратегического плана;
в) координации текущих планов по разным бизнес-процессам;
г) создания системы контроля процесса реализации планов;
д) корректировки содержания и сроков реализации стратегических планов.
Под предметом контроллинга обычно понимают информационно-аналитическое сопровождение процесса управления предприятием, включая все его структурные составляющие. По своему содержанию контроллинг ориентирован на информационно-аналитическую поддержку следующих сфер управления предприятием:
♦ маркетинг;
♦ инновационный процесс;
♦ сфера производства;
♦ обеспечение ресурсами;
♦ материально-техническое обеспечение;
♦ область логистики;
♦ управление запасами;
♦ анализ издержек;
♦ финансовая деятельность;
♦ инвестиционный процесс и др.
По каждому из этих направлений деятельности предприятия определяются задачи контроллинга и его инструменты.
При организации контроллинга необходимо определить основные его принципы, к которым относятся:
1) соответствие системы контроллинга стратегическим целям организации;
2) соответствие концепции контроллинга требованиям системности;
3) гармонизация всех подсистем и элементов контроллинга;
4) научность;
5) комплексность;
6) эффективность;
7) обратная связь.
Основными факторами, определяющими актуальность внедрения системы контроллинга на современных предприятиях, являются:
♦ нестабильность как внешних, так и внутренних условий функционирования предприятия, что порождает повышенные требования к качеству управления предприятием;
♦ глобализация экономических процессов, массовое вовлечение хозяйствующих субъектов во внешнеэкономическую деятельность, что существенно усложняет задачи управления организацией;
♦ необходимость поиска все более эффективных и совершенных систем управления, обеспечивающих жизнеспособность и устойчивость функционирования предприятия;
♦ необходимость совершенствования и качественного изменения организации и методологии информационного обеспечения;
♦ низкая информативность данных, формируемых в рамках традиционных методов планирования, управленческого, бухгалтерского и финансового учета;
♦ недостаточный уровень взаимодействия и согласованности в деятельности различных служб менеджмента предприятия.
Применение контроллинга как инструмента научного управления предприятием предполагает предварительное формирование теоретических основ и методологии, в том числе разработку концепции контроллинга. Под концепцией контроллинга понимается целостное, связывающее воедино все его структурные элементы формализованное представление о контроллинге как подсистеме управления. Эта подсистема призвана обеспечивать эффективность принимаемых управленческих решений и способствовать оптимизации деловой стратегии и политики управляющей системы в целом.
Цель контроллинга определяется целью деятельности предприятия. Основные задачи контроллинга заключаются в информационном обеспечении процессов планирования, регулирования и контроля на предприятии, в выполнении функции интеграции и координации.
Контроллинг должен опираться на системный подход, который предполагает методологическую и информационную поддержку всех направлений деятельности управленческой системы предприятия. Существенную роль играет и синергетический эффект, получаемый при системном подходе к организации контроллинга.
Важное системообразующее свойство контроллинга представляет его ориентация не на прошлое, а на будущее. Заметим попутно, что в этом заключается одно из принципиальных отличий контроллинга от контроля. Такая ориентация «предписывает» ему обязательность свойства агрегирования информации, ибо выработка оптимальных управленческих решений невозможна без полной информации, охватывающей все связи и отношения, в которых реализуется деятельность предприятия. Ориентация на будущее определяет высокую значимость планирования и прогнозирования в системе контроллинга. Трендовые характеристики динамики за предшествующие периоды ценны, прежде всего, в качестве базовой информации для составления прогноза и плана.
Следующее системообразующее свойство контроллинга заключается в его подходе ко всем вопросам с позиций единства количественного и качественного аспектов. Только вместе взятые, они способны дать полноценное знание об изучаемом объекте или процессе.
Системообразующим свойством контроллинга является также сочетание стратегического и оперативного контроллинга, что обусловлено структурой задач управления предприятием как экономической системой.
Существенным системообразующим свойством контроллинга выступает исследование как внутренней, так и внешней среды предприятия, поскольку любая экономическая система является открытой, т. е. обладающей разветвленной сетью внешних связей и отношений.
Обязательным системообразующим свойством контроллинга является его эффективность, так как только при этом условии экономически (и не только экономически) оправдано его существование. В этом состоит одно из принципиальных отличий контроллинга от многих других структурных элементов управляющей системы. Необходим только эффективный контроллинг, у которого полезный результат превышает затраты на его организацию.
Системные свойства контроллинга обеспечивают возможность реализации достаточно сложного комплекса его функций, среди которых наиболее существенными являются:
1) консультационная деятельность в области методики работы с информацией и экспертных оценок на базе объективных индикаторов;
2) проектирование комплексной системы показателей, оценивающих эффективность работы предприятия, измеряющих влияние внутренних и внешних факторов на результат деятельности предприятия;
3) информационное обеспечение служб менеджмента;
4) оптимизация движения информационных потоков на предприятии;
5) учетно-контрольная деятельность;
6) согласование отдельных разделов текущих планов со стратегическим планом;
7) сопоставление плановых и фактических показателей и определение допустимых границ отклонений от заданных параметров, анализ причин отклонений;
8) разработка предложений по устранению и профилактике отклонений фактических результатов от плановых показателей;
9) информационно-аналитическая деятельность, направленная на выявление основных тенденций функционирования предприятия.
Таким образом, контроллинг обеспечивает методическую и информационную поддержку основных функций управления на предприятии, включая определение и обоснование целей, формирование текущих и стратегических планов, контроль их выполнения и корректировку, и т. д.
Контроллинг – это инструмент методического и информационного сопровождения процесса управления, совокупность методов оперативного и стратегического менеджмента, учета, планирования, анализа и контроля на качественно новом этапе развития рынка. Контроллинг – единая система, которая направлена на достижение стратегических целей фирмы.
В основе деятельности любого предприятия лежит стратегия, которая реализуется через целенаправленную организацию внутрифирменных процессов и формирование соответствующей организационной структуры, где система контроллинга является ее элементом, обладающим своим специфическим комплексом задач, инструментов и имеющим относительно автономное организационное устройство.
Важнейшими функциями управления, на сопровождение которых ориентирована система контроллинга, являются прогнозирование, планирование, регулирование, координация, анализ и контроль. При обеспечении сервисного обслуживания этих функций управления задачей контроллинга является прежде всего информационное обеспечение. В ходе сервисного обслуживания контроллингом осуществляется оценка потребности в информации, ее подбор, своеобразная «сортировка» имеющихся массивов экономической информации, оценка ее качества, проверка на пригодность, доработка и систематизация, представление информации в виде, наиболее удобном для пользователей (менеджеров).
Кроме информационного обеспечения каждой функции управления важной задачей контроллинга является осуществление координации по двум направлениям:
а) в организационной сфере – совершенствование, модификация, уточнение организационных основ взаимодействия подразделений предприятия при выполнении соответствующих управленческих функций;
б) в функциональной сфере – согласование позиций, нахождение компромиссных решений в деятельности подразделений предприятия, участвующих в реализации соответствующих управленческих функций.
Контроллинг призван обеспечить информационное сопровождение по широкому кругу внутренних и внешних проблем деятельности предприятия, поэтому требуется комплексный подход к определению источников информационных ресурсов. Основным источником данных в системе контроллинга служит внутренняя учетная информация, формируемая в рамках бухгалтерского, финансового и управленческого учета. Кроме того, привлекается информация, получаемая из разнообразных внешних источников. При отсутствии в базе данных внутреннего учета информации, необходимой для выполнения задач контроллинга, проводятся специальные выборочные обследования на предприятии в единовременном или периодическом режиме.
Важнейшей задачей контроллинга является обеспечение единства и взаимосвязи различных функций управления предприятием. Так, система информационного обеспечения принятия решений, система планирования и контроля не могут быть построены независимо друг от друга. Их взаимосвязь реализуется в формах взаимного использования информации, обеспечения непротиворечивости задач, согласования методик и др. Таким образом, контроллинг осуществляет текущую настройку системы управления посредством координации функций управления.
Система контроллинга призвана также осуществлять комплекс аналитических функций, к которым относятся: оценка степени реализации плана через сопоставление фактических и плановых значений параметров, анализ причин и возможных последствий выявленных отклонений от плановых заданий, оценка результатов выполнения плана, выработка на этой основе корректирующих мероприятий, анализ коммерческих рисков и определение способов их снижения и др.
Таким образом, в целом контроллинг является системой сервиса для менеджмента, который использует контроллинг при разработке планов деятельности предприятия и получает из системы контроллинга информацию, используемую при принятии решений. Эти решения приобретают конструктивную форму стратегических и текущих планов.
5.2. Методы и инструменты контроллинга
Эффективное управление предприятием невозможно без надежного информационного обеспечения, необходимого для принятия решений по важнейшим направления и сферам деятельности, в том числе по текущему и стратегическому планированию в разрезе рынков, продуктов, клиентов, подразделений предприятия и т. д. Для принятия таких решений наиболее достоверной, качественной и оперативной является информация, формируемая на базе контроллинга. Таким образом, основной целью функционирования контроллинга в компании является систематический сбор необходимой для анализа информации, ее переработка и представление основным группам пользователей.
Для выполнения этих функций контроллинг располагает комплексом методов и инструментов, к которым относятся: система учета, традиционные приемы менеджмента, а также методы математической статистики и эконометрические методы.
Рассмотрим более детально те из них, которые получили общее признание, имеют однозначную интерпретацию и без каких-либо существенных вариаций излагаются в учебной и научной литературе.
Первичным информационным инструментом в контроллинге является система учета, включающая бухгалтерский, финансовый, статистический и управленческий учет. В своем единстве эти виды учета обеспечивают контроллинг внутренней информацией о ресурсах, их источниках, направлениях и эффективности использования. Система учета формирует также используемые контроллингом данные о протекающих на предприятии процессах и результатах деятельности в сфере производства и обращения.
Система учета на предприятии исторически развивалась, переходя от первоначальной классической формы, где доминировал бухгалтерский учет, к современной форме, в которой сложились четыре указанные выше специализированные сферы учетной функции. Наиболее близок по своему содержанию к контроллингу управленческий учет. Прямое использование в контроллинге данных бухгалтерского учета имеет ограниченное значение. Бухгалтерский учет выполняет свои очень значимые и ответственные функции, но он непосредственно не ориентирован на сервисное обслуживание ряда функций управления. Так, бухгалтерский учет содержит информацию об итогах хозяйственных операций за истекший период, а для контроллинга важно формировать информацию о будущем предприятия. В бухгалтерском учете тщательно документируются данные о затратах на производство, а для контроллинга приоритетное значение имеют вопросы формирования прибыли в настоящем и в отдаленной перспективе. Значительная часть необходимой для контроллинга информации не относится к сфере бухгалтерского учета. Таковы, например, системы показателей прогноза и плана.
Центральным источником внутренней информации для контроллинга является система учета на предприятии. Поэтому необходимо хорошо знать цели, методы, функции, содержание всех видов учета. Для решения задач контроллинга наиболее важна учетная информация следующего содержания: затраты на производство продукции, объем производства, инвестиционная деятельность, финансовые показатели. Основной массив информации должен быть представлен показателями, которые действительно можно изменить в результате реализации принятых управленческих решений. Особенно тщательно необходимо отслеживать показатели, позволяющие диагностировать ситуацию в области «узких мест», и те, которые определяют возможности по реализации конкурентных преимуществ предприятия.
Одним из важнейших требований к учетной информации, используемой в контроллинге, является ее пригодность для контроля успешности реализации плановых решений. В качестве такой информации выступает система целевых показателей, однозначно характеризующих содержание принимаемых управленческих решений. В рамках контроллинга проводятся контрольные мероприятия – фактические значения показателей сопоставляются с плановыми заданиями. На основе анализа выявленных отклонений служба контроллинга формирует и представляет руководству предприятия предложения о целесообразности введения корректирующих мер.
Раскроем на конкретном примере смысл требования о пригодности учетной информации для принятия управленческих решений в процессе планирования. Важнейшими разделом плана является блок показателей, определяющих перспективы развития предприятия и его прибыльности. Эти показатели должны характеризовать изменение масштабов и структуры производства, повышение эффективности использования ресурсов. В качестве основных числовых индикаторов выступают сумма затрат и объем производства по видам продукции.
Прежде всего учетная информация как основной инструмент контроллинга, должна содержать фактические данные о затратах и объемах производства по видам продукции на базовую дату. Эти данные, в сочетании с предполагаемыми характеристиками интенсивности их изменения, используются службой контроллинга как основа для расчета целевых плановых показателей затрат и объемов производства на плановые даты.
По мере наступления каждой даты в пределах горизонта планирования служба контроллинга вновь нуждается в учетной информации: теперь уже требуются данные о фактических затратах и объемах производства за каждый год по каждому виду продукции. После сопоставления фактических и плановых показателей и анализа отклонений служба контроллинга формирует предложения для руководства предприятия о необходимости корректировки плановых показателей на оставшиеся годы планового периода. Такие корректировки могут содержать изменение плана по структуре производимой продукции: сокращение выпуска изделий, на которые произошло непредвиденное уменьшение спроса, увеличение выпуска изделий, по которым сохраняется устойчивый спрос и открылись новые возможности снижения затрат на единицу продукции. Необходимость корректировки плана может быть вызвана открывшимися новыми возможностями инвестирования, нарастанием конкурентных преимуществ на зарубежных рынках и др.
В основе методики контроллинга лежит уточнение и корректировка системы основных показателей, характеризующих состояние предприятия как экономической системы и процессы его функционирования. Эффективность реализации управленческих решений и стратегии компании зависит от правильно сформированной системы аналитических показателей, оценивающих деятельность предприятия. Данная система показателей формируется на основе текущих индикаторов функционирования организации, на информации, получаемой в ходе анализа узких мест производства.
Контроллинг обеспечивает разработку индикаторов и приемов, используемых при анализе конкуренции. Конкурентная среда организации постоянно меняется, что требует мониторинга внешней среды. Изменения конъюнктуры рынка включают сдвиги в соотношении спроса и предложения, изменение средней рыночной цены, изменение требований потребителей к качеству товаров и т. д. Для формирования и планирования собственной конкурентной стратегии необходима информация о состоянии рынка. При помощи такой информации предприятие может выявить собственные сильные стороны, на базе которых будут разработаны новые стратегии. В рамках данной стратегии должны быть устранены слабые стороны предприятия.
Важным методическим приемом, используемым в контроллинге, является портфельный анализ, который применяется с целью улучшения стратегического планирования на предприятии. Ключевым фактором успеха фирмы является наличие и реализация портфельных стратегий. Портфелем компании называется относительная доля рынка, портфель продукции, портфель клиентов, портфель направлений деятельности. Портфельный анализ позволяет также выявлять стадии жизненного цикла и доходность отдельных продуктовых групп. С его помощью также прогнозируется необходимость разработки новых продуктов и определяются требуемые для этого финансовые ресурсы.
В арсенал методических средств контроллинга входит общеизвестная матрица Бостонской консультационной группы, которая позволяет определить стратегическую позицию предприятия по каждому направлению его деятельности. На основе анализа этой позиции можно выбрать правильную стратегию действий предприятия на рынке и оптимальную стратегию перераспределения финансовых потоков между разными направлениями деятельности. Матрица Бостонской консультационной группы разбивает все направления деятельности предприятия на четыре группы: «звезда», «дойная корова», «собака» и «дикая кошка». В отношении каждой группы необходима своя стратегия.
«Звезды» – это идеальный случай, сочетающий высокие перспективы роста рынка с сильными позициями предприятия на нем. Они обладают потенциалом рыночного лидера вплоть до стадии насыщения.
«Дойные коровы» – предприятие имеет сильные позиции на зрелом рынке. Эта ситуация обеспечивает предприятию высокую стабильную прибыль, хотя рост не предвидится. Прибыль «дойных коров» инвестируется в другие, более перспективные направления деятельности.
«Собаки» – слабые позиции предприятия сочетаются с низкими темпами роста рынка. Такие направления деятельности бесперспективны, предприятие старается избавиться от «собак».
«Дикие кошки» – позиции предприятия шаткие, но перспективы развития рынка достаточно заманчивые. Их также называют «трудные дети». У компании есть несколько стратегических возможностей: инвестировать и превратить «дикую кошку» в «звезду» или ликвидировать данное направление деятельности.
Анализ потенциала также используется в качестве метода контроллинга. Потенциал предприятия определяется как возможность обеспечить жизнеспособность и получение прибыли в будущем. Задачей контроллинга является ежегодный анализ потенциала с целью систематического отслеживания уровня и эффективности его использования.
В контроллинге применяется широко известный метод SWOT-анализа. Это анализ возможностей предприятия, основанный на выявлении сильных и слабых сторон фирмы (внутренний анализ), а также возможностей и опасностей, формируемых рынком (анализ внешней среды). Основные возможности и угрозы для предприятия определяются такими условиями, как экономическая ситуация в стране, регионе; конъюнктура рынка; изменения технологий; изменения демографической ситуации; уровень политической стабильности. К сильным и слабым сторонам организации относятся ключевые факторы успеха, которые оказывают наибольшее влияние на результаты деятельности компании и определяют ситуацию на данном предприятии по сравнению с конкурентами.
GAP-анализ (анализ стратегических «люков») относится к классическим инструментам долгосрочного планирования, которые находят применение в контроллинге. Сущность метода состоит в установлении отклонений желательного развития ситуации от ожидаемого. Метод основан на количественном сопоставлении экстраполированных или модифицированных значений желаемых и ожидаемых целевых величин, в качестве которых могут выступать рентабельность, прибыль, оборот и т. д. В качестве ограничения при данном методе выступает действующая политика предприятия, которая предполагается неизменной на весь планируемый период. Если при графическом изображении динамики целевой величины желаемое развитие (целевая кривая) отклоняется от ожидаемого развития, то возникает так называемый стратегический «люк». В основе метода лежит предположение о том, что если такой «люк» не будет вовремя закрыт, то предприятию не гарантируется выживание в долгосрочной перспективе. GAP-анализ является основой при выработке стратегий, обеспечивающих ликвидацию стратегических «люков». При обнаружении «люков» службы маркетинга и контроллинга осуществляют поиск таких стратегий относительно продуктов и рынков, которые позволили бы в долгосрочной перспективе «закрыть» возникшие «люки». Руководство и менеджеры предприятия должны совместно с контроллерами систематически оценивать возможные отклонения желаемой траектории развития от наиболее вероятной тенденции в долгосрочной перспективе. Таким образом оценивается величина стратегических разрывов. Упомянутая желаемая траектория определяется стратегическими целями предприятия. Если организация не приняла особых мер в отношении повышения конкурентоспособности и не создала нового потенциала успеха, то, скорее всего, реализуется не желаемая, а ожидаемая траектория развития. Определение стратегического разрыва должно побудить к разработке новой стратегии или модификации старой, чтобы можно было достичь долгосрочных целей.
Эффективным методом контроллинга является STEP-анализ, охватывающий социальные, технологические, экономические, политические аспекты деятельности организации. Его содержанием является анализ микросреды фирмы, включающий анализ факторов: социально-демографических, техники и технологий, экономической динамики общества, экологических, этических, политических, правовых (внутреннее и внешнее законодательство страны). В процессе анализа выявляются изменения и тенденции, из них выделяются те, которые могут иметь существенное значение для фирмы.
В контроллинге также используется метод разработки сценария будущего, который важен при определении путей ликвидации стратегического разрыва. Изменения внешней среды оказывают влияние прежде всего, на потенциалы: сбытовой, производственный, снабженческий. Обычно разрабатываются несколько вариантов сценария, из которых выбирается один и на его основе формируется соответствующий стратегический план развития предприятия. Процедура составления сценариев включает в себя восемь этапов:
1) структурирование и формулировку вопроса на основе анализа базовой информации;
2) выделение критических точек бизнеса;
3) прогноз изменения критически важных факторов внутренней среды;
4) прогноз изменения внешней среды;
5) сопоставление результатов третьего и четвертого этапов, корректировку показателей;
6) введение в анализ возможных разрушительных событий;
7) установление последствий;
8) принятие мер.
Существенную роль в проведении контроллинга играет АВС-анализ, который применяется с целью оптимизации величины запасов, сокращения количества перемещений на складе, сокращения хищений материальных ценностей и др. АВС-анализ является одним из эффективных инструментов контроллинга. Основная идея ABC-анализа состоит в выделении из всего множества однотипных объектов наиболее значимых с точки зрения поставленных целей. На выделенных объектах необходимо сосредоточить главное внимание. Первым этапом АВС-анализа является формулировка целей анализа. Далее производится идентификация объектов управления, анализируемых методом АВС. Следующие этапы – это выделение классификационного признака для объектов управления, группировка объектов управления, построение кривой АВС и получение конечного результата – разграничение совокупности объектов управления на три группы: А, В и С. Наиболее типичными являются следующие соотношения групп:
♦ группа А – охватывает 20 % объектов управления и дает 80 % результата (прибыли);
♦ группа В – составляет 30 % объектов управления и дает 15 % результата;
♦ группа С – охватывает 50 % объектов управления и дает только 5 % результата.
Маржинальный анализ также используется в сфере контроллинга. С помощью анализа величин в точке безубыточности определяются: а) график безубыточности; б) критический объем продаж; в) критический объем производства и др.
В контроллинге применяется метод расчета сумм покрытия. Сумма покрытия определяется как разность между выручкой от продаж и переменными затратами. Для обеспечения прибыли предприятия необходимо, чтобы накопленные суммы покрытия по всей реализованной продукции превышали величину постоянных затрат на предприятии.
Из всего многообразия методов и инструментов контроллинга были отобраны и кратко охарактеризованы только наиболее распространенные в практике контроллинговой деятельности. В зависимости от профиля предприятия, его производственного потенциала отбираются наиболее адекватные конкретным условиям методы и инструменты контроллинга. На первый взгляд может показаться, что здесь были перечислены общеизвестные методы менеджмента и, следовательно, контроллинг ничего нового не привносит в область экономического анализа. В действительности специфика контроллинга заключается в том, что он интегрирует уже сложившиеся методы в единую систему и тем самым обеспечивает новое качество аналитической деятельности. Это новое качество состоит в комплексности анализа, в возможности перекрестного контроля результатов, полученных разными методами, и реализации принципа взаимодополняемости разных методов. Именно в этом выражается реализация в сфере контроллинга принципов системного подхода. Контроллинг не ограничивается использованием методов, сформировавшихся в рамках менеджмента. Не менее перспективными являются экономико-математические и эконометрические методы. Ввиду обширности этой группы методов ограничимся лишь несколькими примерами из их перечня.
Наиболее актуальным является использование экономико-математических методов при выполнении операций по прогнозированию и планированию. Так, анализ динамики экономических процессов осуществляется с использованием показателей абсолютных приростов, темпов роста, прироста, абсолютного значения 1 %-ного прироста. На основе этих элементарных показателей динамики вычисляются их средние значения в целом за определенный период функционирования предприятия. С целью анализа структурных изменений в ассортименте продукции, в составе основных фондов и персонала предприятия применяются специальные обобщающие показатели: линейный и квадратический коэффициенты абсолютных структурных сдвигов, индекс структурных различий. Важную роль в контроллинге играет метод мониторинга, в котором, как правило, используется выборочный метод, математический аппарат которого сформирован в рамках теории статистики. Обязательным инструментом контроллинга является метод анализа причинно-следственных связей, при котором используются эконометрические модели корреляционного, регрессионного и дисперсионного анализов.
5.3. Роль контроллинга в стратегическом планировании развития предприятия
Формирование и реализация стратегического плана наиболее успешно осуществляются при использовании метода контроллинга. Основной функцией контроллинга является выполнение комплекса разнородных взаимосвязанных операций, требующих применения научнообоснованной методологии. Велика роль контроллинга при осуществлении контроля реализации стратегических планов, который наиболее эффективен в форме мониторинга. Для этого необходимо разработать технологическую схему мониторинга, определить сроки и место его проведения, установить ответственных исполнителей, сформировать виды учетных документов и выработать порядок и способы использования информационно-коммуникационных технологий. Необходимо также заранее определить допустимые отклонения фактических значений контролируемых параметров от их нормативных величин.
Служба стратегического контроллинга формирует необходимую информацию, используемую группами стратегического планирования при разработке и обосновании планов. При этом определяются наиболее приемлемые формы, порядок и периодичность представления материалов пользователям.
Реализация стратегического плана осуществляется в форме текущих планов, что требует соответственно функционирования контроллинга в данной области. Оперативный контроллинг ориентирован на формирование информации о краткосрочных результатах деятельности предприятия. Это требует применения инструментария, принципиально отличающегося от имеющегося в стратегическом контроллинге. Однако эти различия инструментария не должны нарушать требования единства и сопоставимости методологии. В противном случае окажется невозможно агрегировать и дифференцировать однотипную информацию. Стратегический контроллинг непосредственно связан с оперативным контроллингом, он определяет его цели и задачи. В рамках оперативного контроллинга должны формироваться нормативы и пороговые значения основных экономических показателей.
В наиболее полном и систематизированном виде сравнительная характеристика оперативного и стратегического контроллинга может быть представлена в виде таблицы (табл. 4).
Начальным звеном в процессе управления предприятием выступает обоснование целей хозяйственной деятельности, которые подразделяются на стратегические и оперативные и осуществляются в рамках соответствующего вида планирования. Стратегические цели являются наиболее широкими, определяют политику организации и рассчитаны на долгосрочную перспективу. Они носят общий характер и распространяются на всю деятельность компании, ответственными за их исполнение являются высшие должностные лица или органы управления компании: генеральный директор, совет директоров. Примерами стратегических целей могут служить оптимизация политики компании в рыночной среде, регулирование стоимости акций компании, решение вопросов сырьевого обеспечения и т. п.
Стратегический менеджмент конкретизируется и реализуется в рамках оперативного менеджмента. Соответственно стратегический контроллинг находит свое прикладное воплощение в оперативном контроллинге. Единство стратегического и оперативного контроллинга заключается в общей методологической базе. Вместе с тем эти виды контроллинга располагают каждый своим специфическим инструментарием, который должен быть сопоставимым и соответствовать единым методологическим основам. Это обязательное условие обеспечивает возможность агрегирования, сравнительного анализа и дифференциации массивов информации в ходе экономического анализа. Оперативный контроллинг призван обеспечить методическое информационно-аналитическое сопровождение процессов текущего планирования, контроля, учета и отчетности на предприятии.
Таблица 4. Особенности оперативного и стратегического контроллинга.

Роль контроллинга в формировании стратегических и текущих планов управления деятельности предприятия имеет два аспекта. Первый аспект – теоретико-методологический, который состоит в том, что цели управления определяют саму необходимость создания системы контроллинга. Весь смысл контроллинговой деятельности заключается в высококачественном, комплексном методическом обеспечении достижения целей управления. Чем сложнее цели управления экономической системой и способы их достижения, тем настоятельнее необходимость создания контроллинга. Второй аспект – операционный, состоящий в использовании контроллинга в качестве инструмента реализации каждой функции управления предприятием.
Контроллинг представляет инструмент комплексного методического и информационно-аналитического сопровождения основных функций управления предприятием, важнейшей из которых является стратегическое планирование. Чтобы более четко представить роль контроллинга в стратегическом планировании, рассмотрим эту функцию в контексте полного перечня функций контроллинга в сфере управления предприятием. В табл. 5 в систематизированном виде представлены характеристики места и значения контроллинга в управленческом процессе на предприятии.
Таблица 5. Роль контроллинга в управлении предприятием.


5.4. Контроллинг и управленческий учет в планировании деятельности предприятия
В сложной системе управления современным предприятием представлено множество функций, элементов, инструментов, принципов и взаимосвязей, что приводит к неоднозначному их пониманию. Одним из дискуссионных остается вопрос о соотношении контроллинга и управленческого учета, от понимания которого зависит представление о роли контроллинга в процессе планирования. Чтобы разобраться в этом, определим предварительно сущность управленческого учета.
В середине ХХ в. в мировой практике в связи с усложнением механизмов хозяйственных связей из ранее единого бухгалтерского учета выделился управленческий учет. Основная функция бухгалтерского учета – формирование абсолютно точной, достоверной, документально подтвержденной информации, отвечающей требованиям, установленным государственными стандартами, нормативами, правилами. В России эти правила определены в федеральном законе о бухгалтерском учете и в ряде положений о бухгалтерском учете (ПБУ).
По мере развития и совершенствования функций менеджмента стала обнаруживаться ограниченность бухгалтерского учета как информационной базы управления предприятием. Такая ограниченность обусловлена следующими свойствами бухгалтерского учета. Следствием строгой и достаточно сложной системы документооборота является недостаточная оперативность получаемой информации. Отсутствует в бухгалтерском учете такой исключительно важный для менеджмента аспект информационного обеспечения, как систематический оперативный анализ текущей ситуации по каждому объекту управления и по предприятию в целом. Основным содержанием бухгалтерского учета является лишь сбор и систематизация учетных данных о разных сторонах финансово-хозяйственной деятельности предприятия за истекший отчетный период. Конечным продуктом бухгалтерского учета является бухгалтерская отчетность – баланс, отчет о прибылях и убытках, о движении денежных средств, об изменении капитала предприятия.
Управленческий учет обеспечивает связь процессов управления и учета по таким объектам управления, как:
а) производственные ресурсы – основные фонды, запасы, нематериальные активы, трудовые ресурсы;
б) хозяйственные процессы в производственной, снабженческо-сбытовой, финансово-сбытовой и инвестиционной сферах;
в) организационная деятельность – совершенствование организационной структуры предприятия, организация внутренних коммуникационных связей между структурными подразделениями, координация действий подразделений и исполнителей;
г) результаты деятельности предприятия в области реализации продукции, получения прибыли, обеспечения конкурентоспособности, разработки новых технологических решений.
Основная цель управленческого учета состоит в систематическом обеспечении администрации предприятия информацией, необходимой для управления производством, принятия решений, контроля производственной деятельности, выявления отклонений от плановых заданий и нормативов.
Управленческий учет интегрирован в целостную информационную систему, в которой формируется управленческая отчетность. Эта отчетность включает:
♦ комплексные отчеты – составляются на регулярной основе за месяц, квартал, год; содержат информацию по всем основным направлениям деятельности предприятия;
♦ отчеты по ключевым показателям – составляются по мере возникновения необходимости на конкретную дату; отражают роль важнейших факторов, определяющих успешное функционирование предприятия, т. е. соотношения выпуска продукции и количества полученных заказов, выпуска продукции и ее реализации, качества продукции и процента брака и т. д.;
♦ аналитические отчеты – составляются с целью глубокого анализа конкретного вопроса деятельности предприятия по запросу руководства единовременно или в течение некоторого периода на регулярной основе; в зависимости от изучаемой проблемы определяются формат, предметная направленность, сроки разработки аналитических отчетов.[47]
Функции управленческого учета реализуются планово-экономическим, финансовым и иными отделами предприятия. В управленческом учете комплексно используются такие источники информации, как материалы бухгалтерского учета и отчетности, данные статистического учета и отчетности, техническая документация, административная информация, материалы из внешних источников.
На основе материалов управленческого учета топ-менеджеры не только принимают решения по текущим вопросам, но и разрабатывают стратегические цели, осуществляют стратегическое и текущее планирование. Вместе с тем, как показывает практика, стратегически ориентированное управление предприятием нуждается в комплексном информационно-аналитическом, организационном и методологическом сопровождении, которое не может быть обеспечено в полной мере в рамках управленческого учета. Эту потребность призван удовлетворять контроллинг, который представляет качественно новую, наиболее эффективную форму поддержки функций управления предприятием.
В концепции контроллинга развиты и углублены основы управленческого учета. Но прежде всего сформирован принципиально новый подход к обслуживанию информационных потребностей менеджмента по всем функциям управления предприятием, среди которых ключевую роль играет стратегическое планирование. Контроллинг создает наиболее совершенную информационно-аналитическую базу стратегически ориентированного управления предприятием, не подменяя и не отрицая значимости управленческого учета.
Наиболее существенные отличия контроллинга от управленческого учета состоят в следующем.
♦ Контроллинг ориентирован на поддержку функции управления по обеспечению устойчивого эффективного развития предприятия в долгосрочной перспективе путем разработки долгосрочных прогнозов, оценки сценариев развития на перспективу, участия в формировании стратегических планов, мониторинге хода реализации планов, анализа результатов выполнения плана и оценки причин отклонений. Управленческий учет преимущественно обеспечивает комплексную отчетность о текущем состоянии и текущих процессах на предприятии, включает элементы плановых и контрольных расчетов. Эта информация может быть использована в качестве данных о стартовых условиях при разработке стратегического плана.
♦ Контроллинг обеспечивает учет и анализ влияния как внутренних условий, так и факторов внешней среды на производственную деятельность и конкурентоспособность предприятия в настоящем и в отдаленной перспективе. Это позволяет предусмотреть в стратегических планах задачи по продвижению товаров на целевые рынки. Управленческий учет ограничен преимущественно комплексным анализом текущего состояния внутренней среды предприятия, что может служить при планировании основанием для экстраполяции трендов развития на краткосрочную перспективу.
♦ Контроллинг должен оперативно реагировать на изменения внутренней и внешней среды предприятия, формировать и обосновывать предложения о необходимых корректировках стратегических и текущих планов в соответствии с меняющимися условиями. Основной целью управленческого учета является обеспечение менеджмента предприятия и служб контроллинга текущей внутренней информацией.
♦ Важным направлением деятельности в контроллинге является совершенствование и внедрение новых инструментов и методов экономического анализа, прогнозирования и планирования. В управленческом учете не разрабатывается методологический аппарат, а лишь используются существующие приемы и методы работы с экономической информацией.
5.5. Организация службы контроллинга на предприятии
Современная практика организации контроллинга сформировала ряд способов создания специальных служб контроллинга или делегирования функций контроллинга действующим управленческим службам предприятия. Как правило, службы оперативного и стратегического контроллинга выделяются в самостоятельные подразделения организации. При таком разграничении необходимо обеспечить координацию и согласование деятельности служб оперативного и стратегического контроллинга с целью достижения методологического единства выполняемых функций. Более совершенные формы организации службы контроллинга присущи крупным предприятиям.
В структуре службы контроллинга выделяют должностное лицо, ответственное за всю деятельность в сфере контроллинга, – главного контроллера. Если в организации отсутствует специально созданная служба контроллинга, то обязанности главного контроллера выполняет руководитель всего предприятия, один или несколько руководителей структурных подразделений. В условиях малого и среднего бизнеса зачастую отсутствуют объективные условия для внедрения системы контроллинга в полном объеме с соблюдением всех принципов его организации. В этих случаях функции главного контроллера возлагаются на топ-менеджеров или ответственных за учетно-финансовую сферу управления. При этом нередко функции контроллинга ограничиваются решением задач координации разных направлений управленческой деятельности. В разных странах сложились различные традиции назначения главного контроллера. Главному контроллеру могут подчиняться такие отделы, как бухгалтерия, отдел планирования и прогнозирования, информационно-вычислительный отдел, отдел статистики и другие экономические службы предприятия.
Существенным условием повышения эффективности контроллинга на предприятиях российского бизнеса является подготовка научно-методических разработок, определяющих типовую модель должностных функций контроллера. Базовый документ такого характера уже существует. Это разработанный и утвержденный в сентябре 2002 г. «Международной группой контроллинга» (International Group of Controlling) вариант миссии контроллера. В этом документе указано, что контроллеры организуют и сопровождают процесс постановки целей, планирования и управления предприятием. Таким образом, контроллер относится к группе должностных лиц, ответственных за достижение целей предприятия. Эту миссию контроллеры исполняют посредством решения следующего комплекса задач:
♦ обеспечение прозрачности информации о производственных результатах, финансовом состоянии, стратегиях предприятия;
♦ координация частных целей и частных планов, составляющих элементы единого стратегического плана компании;
♦ формирование зон ответственности сотрудников, участвующих в принятии решений; тем самым обеспечивается более высокая эффективность реализации стратегических целей;
♦ обеспечение организационно-методической базы для решения задач экономического мониторинга и обеспечения других функций по сбору первичной информации;
♦ поддержка и поощрение инновационных решений по ключевым направлениям менеджмента на предприятии, в том числе стимулирование процессного подхода к управлению (способность «выходить» за пределы конкретной частной функции).
Потребность в осуществлении функций контроллинга в наибольшей степени ощущается на крупных предприятиях, представляющих сложную экономическую систему, нуждающуюся в более совершенных инструментах управления. Специфика функции контроллера состоит в том, что именно он ориентирован на то, чтобы «настроить» систему планирования, контроля, информационного обеспечения на достижение целей предприятия. Крупные предприятия располагают ресурсами, необходимыми для создания служб контроллинга как специализированного структурного подразделения в системе управления организацией. При их формировании важно соблюдать ряд принципов и правил:
♦ следует избегать излишне сложной организационной структуры службы контроллинга;
♦ важно выбрать наиболее приемлемый для данного предприятия тип организации службы контроллинга (централизованная, децентрализованная);
♦ независимо от способа организации службы контроллинга важно обеспечить стимулы к самостоятельности и инициативе в работе контроллеров;
♦ служба контроллинга должна находиться в прямом подчинении у собственника и (или) руководителя предприятия;
♦ службе контроллинга должно быть официально предоставлено право получения всей необходимой для работы экономической информации и комментариев к ней из всех подразделений предприятия и от всех должностных лиц;
♦ службе контроллинга должен быть обеспечен статус самостоятельного, независимого подразделения предприятия.
Наиболее характерными способами организации службы контроллинга являются централизованная и децентрализованная схема ее построения. При централизованной службе контроллинга ее возглавляет главный контроллер, который непосредственно подчинен руководству предприятия. При децентрализованной модели службы контроллинга часть функций службы контроллинга передается другим подразделениям предприятия. В подчинении главного контроллера остаются ключевые функции контроллинга в таких сферах, как маркетинг, логистика, внешнеэкономические связи, ресурсы и др.
Для российского бизнеса создание службы контроллинга является новым направлением в сфере организации управлением предприятием. При всей очевидной перспективности контроллинга его внедрение в практику российских предприятий происходит замедленными темпами, что обусловлено рядом объективных и субъективных причин:
♦ негативно сказывается влияние психологического фактора, проявляющееся в инертности, в нерешительности при овладении новыми методами управления предприятием;
♦ существенную роль играет дефицит высококвалифицированных специалистов в области контроллинга;
♦ зачастую руководители организаций не владеют информацией о преимуществах и содержании контроллинга;
♦ потенциальные возможности контроллинга не могут быть в достаточной мере реализованы в условиях преимущественной ориентации руководства предприятий на краткосрочное планирование деятельности, что связано с нестабильностью общей ситуации в России;
♦ многие предприятия не располагают достаточными материальными, трудовыми и финансовыми ресурсами, необходимыми для организации службы контроллинга;
♦ недостаточна обеспеченность научно-методическими разработками и практическими рекомендациями в области контроллинга, отсутствует типовая модель организации контроллинга на предприятии.
Несмотря на перечисленные трудности и проблемы, существует объективная возможность и необходимость распространения практики контроллинга в сфере управления бизнесом. Основным аргументом в пользу этого может служить тот существенный экономический эффект, который дает служба контроллинга. Определенную роль в освоении методов контроллинга могут сыграть такие факторы, как издание методических разработок для топ-менеджеров по вопросам стратегического и оперативного контроллинга, включение в учебные планы экономических вузов дисциплины «контроллинг», поддержка идеи освоения контроллинга как инструмента управления на уровне государственного регулирования экономических отношений в сфере бизнеса. Важно также определить унифицированный регламент службы контроллинга и разработать типовую модель специалиста-контроллера. По определению зарубежных ведущих специалистов в области контроллинга, контроллер – это специалист, реализующий на предприятии функции и задачи контроллинга, способный к творческой аналитической деятельности. Контроллер, по определению Эльмара Майера, это тот, кто больше других учится, умеет, знает, системно мыслит и действует в гармонии с окружающей средой, ориентируясь на поставленные цели и на будущее, чтобы успешно управлять предприятием.
Профессионал-контроллер должен быть специалистом высокого класса в сфере управления. Соответственно к контроллеру предъявляются следующие требования:
1) обладание профессиональными способностями и знаниями в области экономики и управления (например, владение методами и инструментами планирования, способность проводить комплексный экономический анализ, умение работать с информацией и др.);
2) знание методов и техники контроллинга;
3) обладание способностями и интересом к творческой деятельности;
4) владение основами «организационного поведения»;
5) наличие мотивации к труду в сфере контроллинга.
5.6. Зарубежная практика разработки инструментов для реализации стратегии предприятия
В зарубежной научной литературе значительное внимание уделяется разработке проектов, содержащих систему мероприятий по наиболее успешной реализации стратегии предприятия. Одним из таких проектов является система «Balanced Scorecard», разработанная американскими профессорами Р. Капланом (Robert S. Kaplan) и Д. Нортоном (David P. Norton). Главная цель этого проекта – сплотить персонал для реализации стратегии предприятия, т. е. «сделать стратегию каждодневным делом каждого сотрудника». Рассмотрим основные положения этого проекта.[48]
Стратегия компании формируется в виде комплекса ключевых стратегических целей по четырем проекциям (разделам): «Финансы», «Клиенты», «Бизнес-процессы» и «Инфраструктура/Персонал». Минимальный вариант системы «Balanced Scorecard» содержит по каждой проекции три характеристики: содержание стратегической цели, индикатор (числовой показатель) цели, мероприятия. Ограничимся ознакомлением с первыми двумя характеристиками.
1. Финансы. Цель – обеспечение достаточной ликвидности. Индикатор – ликвидность второй степени.
2. Клиенты. Цель – повысить узнаваемость бренда. Индикатор – доля знающих бренд из числа опрошенных.
3. Бизнес-процессы. Цель – уменьшить время подключения клиентов. Индикатор – время организации линии.
4. Инфраструктура/Персонал. Цель – повысить удовлетворенность сотрудников компании. Индикатор – индекс удовлетворенности сотрудников.
При разработке стратегии устанавливаются целевые (плановые) значения индикаторов, необходимые для достижения стратегических целей. В процессе реализации стратегии осуществляется мониторинг фактических значений индикаторов.
Расширенный вариант системы «Balanced Scorecard» содержит по каждой проекции расширенные, по сравнению с минимальным вариантом, перечни стратегических целей, индикаторов целей и мероприятий. Дополнительно по каждой проекции формируются индикаторы мероприятий, определяются подразделения компании, осуществляющие реализацию мероприятий, устанавливаются бюджеты (затраты на реализацию мероприятий) и сроки выполнения мероприятий.
Так, например, по проекции «Клиенты» в расширенном варианте предусматривается цель «Обеспечение притока новых клиентов». Индикаторами и их целевыми (плановыми) значениями по этой цели могут быть: объем продаж новым клиентам ($300 тыс.), доля новых клиентов в общем числе клиентов (15 %), доля продаж новым клиентам в общем объеме продаж (12 %).
В рассматриваемом расширенном варианте представлен следующий развернутый комплекс мероприятий с детально разработанными дополнительными характеристиками.
1. Реклама в Интернете. Осуществляет отдел рекламы. Бюджет – $50 тыс. Сроки выполнения – на протяжении года. Индикаторы и целевые значения мероприятия: сумма затрат на рекламу в Интернете ($50 тыс.); соотношение затрат на рекламу и объема продаж новым клиентам (5 %); индекс узнаваемости бренда (60 %).
2. Новая система скидок и бонусов. Осуществляют отдел сбыта и финансовый отдел. Бюджет – не предусмотрен. Срок выполнения – до 1 марта. Индикаторы и их целевые значения: сумма скидок и бонусов ($15 тыс.); объем продаж новым клиентам ($300 тыс.); объем продаж постоянным клиентам ($1200 тыс.).
3. Развитие новых регионов сбыта. Осуществляют отдел маркетинга и отдел сбыта. Бюджет – $90 тыс. Сроки выполнения – на протяжении года. Индикаторы и их целевые значения: число дилеров в регионах (8); затраты на рекламу в регионах ($70 тыс.); число собственных представительств в регионах (12); объем продаж в регионах ($600 тыс.).
4. Участие в выставках. Осуществляют отдел маркетинга и конструкторский отдел. Бюджет – $40 тыс. Сроки выполнения – даты проведения выставок. Индикаторы и их целевые значения: число участий в выставках (4); сумма затрат на участия в выставках ($40 тыс.); число контрактов, заключенных на выставках (20); объем заказов, полученных на выставках (340 тыс.).
5. Новый дизайн и содержание сайта. Осуществляет отдел маркетинга. Бюджет – $3 тыс. Срок выполнения – до 1 марта. Индикаторы и их целевые значения: объем заказов, полученных через сайт (450 тыс.); сумма затрат на переоформление сайта ($3 тыс.); балльная оценка сайта клиентами (8 баллов).
Кроме минимального и расширенного вариантов, в системе «Balanced Scorecard» существует еще более широкий вариант – «каскадирование», в котором для каждого структурного подразделения компании строится свой комплекс целей, мероприятий и показателей. При этом возможна модификация классической модели системы «Balanced Scorecard» с учетом специфики конкретных подразделений компании. В частности, число проекций может оказаться больше или меньше четырех. Например, в системе «Balanced Scorecard» одного из заводов крупного автомобилестроительного концерна, построенного в одной из стран Восточной Европы, отсутствует проекция «Клиенты». Завод производит детали к автомобилям и поставляет их другим заводам концерна. У этого завода в модели ведения бизнеса не предусмотрена работа для сторонних клиентов.
Возможна разная глубина каскадирования. Своя система «Balanced Scorecard» может строиться для структурных подразделений разного уровня: верхнего уровня, второго уровня в иерархии компании (например, главного инженера), третьего уровня (например, прораба). Предельной глубиной каскадирования была бы разработка стратегических целей, показателей и мероприятий на уровне каждого работника.
Существуют разные мнения о целесообразной глубине каскадирования, и соответственно на практике применяются разные варианты системы «Balanced Scorecard». По данным исследования, проведенного в 2004 г. в трех немецкоязычных странах Европы (Германия, Австрия, Швейцария), из числа обследованных компаний в 75 % компаний действует система «Balanced Scorecard» только на верхнем уровне, т. е. без каскадирования.[49]
Актуальным методическим вопросом при использовании варианта каскадирования является определение числа стратегических целей и числа показателей. По мнению авторов системы «Balanced Scorecard», число ключевых целей не должно превышать двадцати, что соответствует реальному обозримому числу ключевых аспектов деятельности в компании или ее подразделениях. Число показателей трудно лимитировать, так как каждая цель описывается и измеряется несколькими индикаторами. Рекомендуется из общего массива индикаторов по структурному подразделению компании выделять ограниченное число ключевых показателей, которые оцениваются на более высоком уровне. Остальные показатели являются дополнительными и используются в пределах самого подразделения для качественного и своевременного выполнения мероприятий по реализации стратегических целей.
Существенным аспектом построения системы «Balanced Scorecard» является вопрос о степени уникальности этой системы в каждой компании. Поскольку только уникальность стратегии обеспечивает компании конкурентные преимущества, то из этого следует, что уникальными должны быть стратегические цели, показатели и мероприятия по реализации целей.
Особое внимание в системе «Balanced Scorecard» уделяется проблеме мотивации сотрудников при реализации мероприятий по достижению стратегических целей. Отмечается, что сам по себе факт существования разработанной системы стратегических целей и соответствующих им мероприятий уже является значимым мотивирующим фактором. Но следует учитывать большой разброс мотиваций для сотрудников, относящихся к разным уровням в организационной иерархии.
Таковы в кратком изложении основные идеи системы «Balanced Scorecard», которая используется как инструмент управления в бизнессреде ряда стран мира. Необходимо отметить, что в системе «Balanced Scorecard» речь идет о решении текущих задач управления бизнесом в пределах годичного цикла работ. Термин «стратегия» употребляется здесь в том смысле, что текущая деятельность компании подчинена ее базовым стратегическим целям.
Контрольные вопросы
1. Перечислите основные проблемы теории и практики контроллинга.
2. Укажите основные типы концепций контроллинга, представленные в научной литературе.
3. Охарактеризуйте ключевые положения теории контроллинга.
4. Что понимается под предметом контроллинга?
5. Перечислите основные принципы контроллинга.
6. Перечислите основные функции контроллинга.
7. Перечислите основные инструменты контроллинга.
8. На какие источники информации опирается контроллинг?
9. Каким требованиям должна отвечать используемая в контроллинге учетная информация?
10. Что понимается под портфельным анализом?
11. Дайте характеристику матрицы Бостонской консультационной группы.
12. Охарактеризуйте метод разработки сценария развития предприятия в будущем.
13. Каковы задачи службы стратегического контроллинга?
14. Какова взаимосвязь оперативного и стратегического контроллинга?
15. Определите роль контроллинга в формировании текущих и стратегических планов предприятия.
16. Какова роль управленческого учета в информационном обеспечении контроллинга?
17. В чем состоят различия между управленческим учетом и контроллингом?
18. Каковы функции контроллера на предприятии?
19. Перечислите основные принципы формирования службы контроллинга.
20. Какие условия затрудняют внедрение контроллинга на российских предприятиях?
21. Дайте краткую характеристику системы «Balanced Scorecard».
СПИСОК ЛИТЕРАТУРЫ
1. АакерД. Стратегическое рыночное управление / Пер. с англ. под ред. Ю. Н. Каптуревского. – СПб.: Питер, 2002.
2. Аакер Дэвид А. Стратегическое рыночное управление. 6-е международное издание / Пер. с англ. – СПб.: Питер, 2002.
3. Акофф Рассел Л. Планирование будущего корпорации / Пер. с англ. – М.: Сирин, 2002.
4. Анискин Ю. П., Павлова А. М. Планирование и контроллинг: Учебник. – М.: Омега-Л, 2003.
5. Анн Х., Багиев Г. Л., Тарасевич В. М. Маркетинг: Учебник для вузов. 3-е изд. / Под общ. ред. Г. Л. Багиева. – СПб.: Питер, 2005.
6. Ансофф И. Новая корпоративная стратегия / Пер. с англ. – СПб.: Питер, 1999.
7. Ансофф И. Стратегическое управление: Сокр. пер. с англ. / Науч. ред. и авт. предисл. Л. И. Евенко. – М.: Экономика, 1989.
8. Аралбаев Т. З. Построение адаптивных систем мониторинга и диагностирования сложных промышленных объектов на основе принципов саморегуляции. – Уфа: Гилем, 2003.
9. Багиев Г. Л., Жданов И. А. Маркетинг взаимодействия: Интеграция. Координация. Контроллинг и аудит: Учеб. пособие. – СПб.: Изд-во СПбГУЭФ, 1999.
10. Баринов В. А., Харченко В. Л. Стратегический менеджмент: Учебник. – М.: ИНФРА-М, 2005.
11. Басовский Л. Е. Прогнозирование и планирование в условиях рынка: Учеб. пособие. – М.: ИНФРА-М, 2004.
12. Бодди Д., Пэйтон Р. Основы менеджмента: Пер. с англ. под ред. Ю. Н. Каптуревского. – СПб.: Питер, 1999.
13. Большаков А. С., Михайлов В. И. Современный менеджмент: теория и практика. 2-е изд., испр. и доп. – СПб.: Питер, 2002.
14. Большой экономический словарь / Под ред. А. Н. Азрилияна. 6-е изд., доп. – М.: Институт новой экономики, 2004.
15. Бородушко И. В. Методология формирования системы контроллинга как инструмента государственного регулирования экономики. – СПб.: Изд-во СПбГУЭФ, 2005.
16. Боумэн К. Основы стратегического менеджмента / Пер. с англ. под ред. Л. Г. Зайцева, М. И. Соколовой. – М.: Банки и биржи; ЮНИТИ, 1997.
17. Бочкарев А., Кондратьев В., Краснова В. и др. Семь нот менеджмента. – М.: ЗАО «Журнал Эксперт», 1998.
18. Бюджетный кодекс Российской Федерации от 31 июля 1998 г. № 145-ФЗ (с последними изм. и доп. от 29 декабря 2004 г. № 195-ФЗ) // СЗ РФ. 1998. № 31. Ст. 3823; СЗ РФ. 2005. № 1 (Ч. I). Ст. 21.
19. Веснин В. Р. Стратегическое управление. – М.: Проспект; Велби, 2004.
20. Виханский О. С. Стратегическое управление: Учебник. 2-е изд., перераб. и доп. – М.: Гардарики, 2002.
21. Владимирова Л. П. Прогнозирование и планирование в условиях рынка: Учеб. пособие. 5-е изд., перераб. и доп. – М.: Издательско-торговая корпорация «Дашков и K°», 2005.
22. Гапоненко А. А., Панкрухин А. П. Стратегическое управление. – М.: Омега-Л, 2004.
23. Гертман М. Стратегический менеджмент / Пер. с фр. под ред. Д. О. Ямпольской. 4-е изд. – СПб.: Издательский дом «Нева», 2003.
24. Глухов В. В. Менеджмент: Учебник. 2-е изд., испр. и доп. – СПб.: Изд-во «Лань», 2002.
25. Глухов В. В., Медников М. Д., Коробко С. Б. Математические методы и модели для менеджмента. 2-е изд., испр. и доп. – СПб.: Издательство «ЛАНЬ», 2005.
26. Дайле А. Практика контроллинга / Пер. с нем. – М.: Финансы и статистика, 2001.
27. Деловое администрирование / Под общ. ред. О. А. Страховой. – СПб.: Питер, 2001.
28. Джай К. Шим, Джой Г. Сигел. Основы коммерческого бюджетирования / Пер. с англ. – СПб.: Пергамент, 1998.
29. Друкер П. Практика менеджмента / Пер. с англ. – М.: Издательский дом «Вильямс», 2003.
30. Егоров Ю. Н., Варакута С. А. Планирование на предприятии. – М.: Инфра-М., 2001.
31. Карминский А. М., Оленев Н. И., Примак А. Г., Фалько С. Г. Контроллинг в бизнесе. Методологические и практические основы построения контроллинга в организациях. 2-е изд. – М.: Финансы и статистика, 2002.
32. Климов С. М., Костевят А. Н. Контроллинг: вопросы теории и практики: Учеб. пособие. – СПб.: Знание: ИВЭСЭП, 2005.
33. Коломийченко О. В., Рохчин В. Е. Стратегическое планирование развития регионов России: методология и организация. – СПб.: Наука, 2003.
34. Контроллинг как инструмент управления предприятием / Е. А. Ананькина, С. В. Данилочкин, Н. Г. Данилочкина и др. / Под ред. Н. Г. Данилочкиной. – М.: ЮНИТИ-ДАНА, 2004.
35. Концепция контроллинга: Управленческий учет. Система отчетности. Бюджетирование. / Horva'th & Partners. Пер. с нем. – М.: Альпина Бизнес Букс, 2005.
36. Кох Р. Стратегия. – СПб.: Питер, 2003.
37. Кэмпбел Д., Стоунхаус Д., Хьюстон Б. Стратегический менеджмент: Учебник / Пер. с англ. Н. И. Алмазовой. – М.: Проспект, 2003.
38. Лафта Дж. К. Менеджмент: Учеб. пособие. 2-е изд., перераб. и доп. – М.: ТК Велби, 2004.
39. Манн Р., Майер Э. Контроллинг на начинающих. Система управления прибылью / Пер. с нем. Ю. Г. Жукова / Под ред. и с предисл. д-ра экон. наук В. Б. Ивашкевича. 2-е изд., перераб. и доп. – М.: Финансы и статистика, 2004.
40. Маркова В. Д., Кузнецова С. А. Стратегический менеджмент: Курс лекций. – Москва; Новосибирск: Инфра-М, 2001.
41. Мескон М., Альберт М., Хедоури Ф. Основы менеджмента / Пер. с англ. – М.: Изд-во «Дело», 1999.
42. Методологические и практические основы построения контроллинга в организациях. 2-е изд. – М.: Финансы и статистика, 2002.
43. Минцберг Г., Куинн Дж. Б., Гошал С. Стратегический процесс / Пер. с англ. – СПб.: Питер, 2001.
44. Мордовченков Н. В. Методология исследования комплексных проблем региональной инфраструктуры в условиях глобализации экономики и финансов (теория, концепция, парадигма). – Н. Новгород: Изд-во Гладкова, 2003.
45. Пелих А. С. Бизнес-план, или как организовать свой бизнес. 2-е изд., перераб. и доп. – М.: Ось-89, 2004.
46. Петров А. Н. Методология выработки стратегии развития предприятия. – СПб.: Изд-во СПбУЭФ, 1992.
47. Пинковская С. В., Смирнов Н. Н. Стратегический менеджмент: Учеб. пособие. – СПб.: СПбГУТ, 2001.
48. Попова Л. В., Исакова Р. Е., Головина Т. А. Контроллинг. – М.: Изд-во «Дело и Сервис», 2003.
49. Прогнозирование и планирование в условиях рынка: Учеб. пособие / Под ред. Т. Г. Морозовой, А. В. Пикулькина. – М.: Юнити-Дана, 1999.
50. Распоряжение Правительства РФ от 10 июля 2001 г. № 910-р «О программе социально-экономического развития Российской Федерации на среднесрочную перспективу (2002–2004 гг.)» (с изм. и доп.) // СЗ РФ от 30 июля 2001 г. № 31. Ст. 3295.
51. Распоряжение Правительства РФ от 15 августа 2003 г. № 1163-р «Программа социально-экономического развития Российской Федерации на среднесрочную перспективу (2003–2005 гг.)» // СЗ РФ от 25 августа 2003 г. № 34. Ст. 3396.
52. Райзберг Б. А., Лозовский Л. Ш., Стародубцева Е. Б. Современный экономический словарь. – М.: Инфра-М, 2000.
53. Рохчин В. Е., Егоров И. И., Знаменская К. Н. Система стратегического планирования социально-экономического развития регионов России: теоретико-методологический аспект. – СПб.: ИРЭ РАН, 2005.
54. Рохчин В. Е., Жилкин С. Ф., Знаменская К. Н. Стратегическое планирование развития городов России: системный подход. – СПб.: Ин-т проблем региональной экономики РАН: Скифия-принт, 2004.
55. Слуцкин М. Л. Контроллинг как система повышения эффективности управления промышленным предприятием. – СПб.: Изд-во СПбГУЭФ, 2004.
56. Стратегический менеджмент / Под ред. А. Н. Петрова. – СПб.: Питер, 2005.
57. Стратегический менеджмент: Учебник / Пер. с англ. Н. И. Алмазовой. – М.: ООО «Издательство Проспект», 2003.
58. Стратегическое планирование и управление: Учеб. пособие/ Под ред. проф. А. Н. Петрова. 2-е изд., доп. Ч. 1. – СПб.: Изд-во СПбГУЭФ, 1998.
59. Стратегическое управление: Регион, город, предприятие / Под ред. Д. С. Львова, А. Г. Гранберга, А. П. Егоршина. – М.: Экономика, 2004.
60. Стратегия макрорегионов России: методологические подходы, приоритеты и пути реализации / Под ред. акад. А. Г. Гринберга. – М.: Наука, 2004.
61. Томпсон А. А., Стрикленд А. Дж. Стратегический менеджмент: концепции и ситуации: Учебник для вузов / Пер. с англ. – М: Инфра-М, 2001.
62. Томпсон, А. А.-мл., Стрикленд Ш. А. Дж. Стратегический менеджмент: концепции и ситуации: Учебник для вузов / Пер. с 9-го англ. изд. – М.: ИНФРА-М, 2000.
63. Тренев Н. Н. Стратегическое управление: Учеб. пособие для вузов. – М.: ПРИОР, 2002.
64. Указ Президента РФ от 1 апреля 1996 г. № 440 «О Концепции перехода Российской Федерации к устойчивому развитию» // СЗ РФ от 8 апреля 1996 г. № 15. Ст. 1572.
65. Управленческий учет: Учебник / А. Д. Шеремет, О. Е. Николаева, С. И.Полякова / Под ред. А. Д. Шеремета. 3-е изд., перераб. и доп. – М.: ИД ФБК-ПРЕСС, 2005.
66. Уткин Э. А., Мартынюк И. В. Контроллинг: российская практика. – М.: Финансы и статистика, 1999.
67. Фатхутдинов Р. А. Стратегический менеджмент: Учебник. 6-е изд., испр. и доп. – М.: Дело, 2004.
68. Фаэй Л., Рэнделл Р. (ред.). Курс МВА по стратегическому менеджменту. / Пер. с англ. – М.: Альпина Бизнес Букс, 2004.
69. Федеральный закон РФ от 20 июля 1995 г. № 115-ФЗ «О государственном прогнозировании и программах социально-экономического развития Российской Федерации» // СЗ РФ. 1995. № 30. Ст. 2871.
70. Хан Д. Планирование и контроль: концепция контроллинга / Пер. с нем. – М.: Наука, 1978.
71. Хасби Д. Стратегический менеджмент: Учеб. пособие. – М.: Контуры, 1998.
72. Хрустицкий В. Е., Сизова Т. В., Гамаюнов В. В. Внутрифирменное бюджетирование. Настольная книга по постановке финансового планирования. – М.: Финансы и статистика, 2004.
73. Шамхалов Ф. Государство и экономика. Власть и бизнес. 2-е изд., перераб. и доп. – М.: ЗАО «Изд-во „Экономика“», 2005.
74. Шим Джай К., Сигел Джойл. Основы коммерческого бюджетирования / Пер. с англ. – СПб.: Пергамент, 1998.
75. Экономика предприятия / Пер. с нем. под ред. Ф. К. Беа, Э. Дихтла, М. Швайтцера. – М.: Инфра-М, 2001.
76. Экономическая стратегия фирмы: Учеб. пособие / Под ред. А. П. Градова. 4-е изд., перераб. – СПб.: Специальная литература, 2003.
77. Экономический и юридический словарь / Под ред. А. Н. Азрилияна. – М.: Институт новой экономики, 2004.
78. Armin Müller, Peter Uecher, Cornelia Zehbold (Hrsg.). Controlling für Wirtschaftsingeniere, Ingeniere und Betriebswirte. – Leipzig: Fachbuchverlag, 2003.
79. Brühl Rolf. Controlling. Grundlagen des Erfolgscontrollings. – München: Oldenbourg Wissenshaftsverlag GmbH, 2004.
80. Yung. Controlling. – München: Oldenbourg Wissenshaftsverlag GmbH, 2003.
81. www.controlling-akademie.ru.
82. www.economy.ru.
83. www.government.ru.
84. www.kremlin.ru.