Исаак Ньютон возглавил научную революцию, которая в XVII веке охватила западный мир. Ее высшей точкой стала публикация в 1687 году «Математических начал натуральной философии». В этом труде Ньютон показал нам мир, управляемый тремя законами, которые отвечают за движение, и повсеместно действующей силой притяжения. Чтобы составить полное представление об этом уникальном ученом, к перечисленным фундаментальным открытиям необходимо добавить изобретение дифференциального и интегрального исчислений, а также формулировку основных законов оптики. Ньютон, которого многие считают воплощением рациональности, на самом деле был человеком сложным; он много раз вступал в яростные споры со знаменитыми современниками, такими как Лейбниц или Гук, и с не меньшим рвением занимался наукой, алхимией и теологией.

Прим. OCR: Обозначение sqrt() - используется в тексте для замены отсутствующего в наборе знака "корень квадратный".

Antonio J. Duran Guardeno

Наука. Величайшие теории: выпуск 2: Самая притягательная сила природы. Ньютон. Закон всемирного тяготения.

Наука. Величайшие теории Выпуск № 2, 2015 Еженедельное издание

Antonio J. Duran Guardeno/Пер. с исп. – М.: Де Агостини, 2015. – 168 с.

ISSN 2409-0069

Исаак Ньютон возглавил научную революцию, которая в XVII веке охватила западный мир. Ее высшей точкой стала публикация в 1687 году «Математических начал натуральной философии». В этом труде Ньютон показал нам мир, управляемый тремя законами, которые отвечают за движение, и повсеместно действующей силой притяжения. Чтобы составить полное представление об этом уникальном ученом, к перечисленным фундаментальным открытиям необходимо добавить изобретение дифференциального и интегрального исчислений, а также формулировку основных законов оптики. Ньютон, которого многие считают воплощением рациональности, на самом деле был человеком сложным; он много раз вступал в яростные споры со знаменитыми современниками, такими как Лейбниц или Гук, и с не меньшим рвением занимался наукой, алхимией и теологией.

Иллюстрации предоставлены: Age Fotostock; Album; Archivo RBA; Cambridge University Library; Corbis; Museo Nacional Romano; New College, Oxford; The Royal Society; Trinity College, Cambridge.

Введение

Начиная с середины XVI до конца XVII века в Европе произошло то, что историки назвали научной революцией, во время которой научная традиция, унаследованная от Античности и Средневековья, впервые начала подвергаться сомнениям. Кульминационным моментом этого процесса, который затронул практически все сферы науки, стала публикация в 1687 году ключевой работы Исаака Ньютона «Математические начала натуральной философии».

Расцвет эпохи Возрождения и изобретение в 1440-х годах печатного станка позволили распространить по всей Европе образцы греческой научной мысли, которые сохранились и были доработаны во многом благодаря арабам. В это же время впервые более чем за тысячу лет состоялись научные прорывы, которые в качественном отношении превзошли знания Античности. Достижения в сфере математики особенно впечатляли: повсеместное распространение индо-арабской системы счисления, основанной на использовании позиционной нумерации и нуля, обеспечили потенциал, недоступный древним грекам. С другой стороны, развитие алгебры и создание Декартом аналитической геометрии позволили воспользоваться всеми возможностями алгебраических принципов для изучения и решения геометрических задач.

Не стоит забывать и о систематическом использовании математиками XVII века бесконечно малых чисел для измерения площадей, касательных к кривым или центров тяжестей.

Наиболее значительные результаты были получены в астрономии. Греческие представления о небесной механике и космологии, усовершенствованные арабами, были разрушены польским астрономом Николаем Коперником, который заявил, что в системе планет Землю необходимо рассматривать движущейся вокруг Солнца, а не считать, что она неподвижно расположена в центре Вселенной. На неподвижность Земли указывают не только наши ощущения, но и Библия, а также греческая традиция во главе с Аристотелем и Птолемеем. И все же идеи Коперника распространялись все шире, пока не превратились в основу для новой астрономической модели.

Начали меняться и способы научного познания. Помимо чисто теоретических исследований, которые опирались на авторитет классических ученых и средневековых схоластов, все большую роль стал играть эксперимент. Пора научного легковерия миновала, и на передний план вышел ученый-скептик: мыслитель новой формации искал доказательства утверждениям своих учителей посредством наблюдений и экспериментов.

Легкость расчетов, которой немало способствовала индоарабская система счисления, делала все более важными количественные понятия по сравнению с традиционным преобладанием качественных. Лучше всего эту перемену иллюстрируют труды Галилея о падении тел. К вопросу о том, что заставляет тела падать,- центральному вопросу в аристотелевой физике – Галилей добавил другие задачи, решения которых имеют более практический характер и поддаются измерению, например: какую дистанцию преодолеет тело в зависимости от времени падения? Такой подход, объединяющий теоретический дискурс с экспериментальным и вычислительным, направил физику в новое русло, ведущее к новым плодотворным открытиям.

Неслучайно в разгар научной революции были разработаны такие важные инструменты, как микроскоп и телескоп, точность которых намного превзошла все изобретения греков. Виртуозное использование Галилеем телескопа и последующая интерпретация увиденного привели к почти полному триумфу идей Коперника.

Именно в этот период научных потрясений на сцену вышел Исаак Ньютон. Его вклад в науку огромен, и в значительной степени именно благодаря его трудам был завершен революционный процесс, начатый Коперником за сто лет до рождения Ньютона.

В математике он обобщил существующие методы, представлявшие собой на тот момент запутанный клубок мелких теорий, разработанных в первой половине XVII века, чтобы получить универсальный инструмент – анализ бесконечно малых. Этот раздел в математике охватывает такие понятия, как производная, интеграл и предел, и имеет широчайшее применение в науке и технике. Без всякого сомнения, речь идет о самом мощном математическом инструменте в истории науки.

Вклад Ньютона в развитие физики и астрономии потрясает еще больше. В то время физика земли и неба, в соответствии с аристотелевой доктриной, были отдельными областями. Никто не думал, что движением планет и траекторией пушечного ядра управляют одни и те же законы. «Небесную» физику осваивали Коперник, получивший достаточный авторитет, и Кеплер, который точно описал движение планет. Однако законы движения Кеплера не имели никакой теоретической основы, и без ответа оставался главный вопрос: почему планеты движутся по небу именно таким образом?

Нечто подобное происходило с «земной» физикой: Галилей показал, что падающий камень преодолевает расстояние, пропорциональное квадрату времени, и что пушечное ядро движется по параболе. Однако ученые пока не знали, что за всеми этими открытиями стоят одни и те же законы.

Это показал Ньютон в своей главной работе «Математические начала натуральной философии». Он сформулировал закон всемирного тяготения: сила притяжения между двумя точками, разделенными расстоянием, пропорциональна обеим массам и обратно пропорциональна квадрату расстояния между ними, – и показал, как с его помощью объяснить и движение планет вокруг Солнца, и траекторию летящего снаряда. Созданная ученым картина мира объясняла естественные феномены, например приливы и отливы.

Галилей раскрыл сущность математической структуры Вселенной в своем знаменитом изречении:

«Философия написана в великой книге Вселенной, всегда открытой перед нашими глазами. Но ее невозможно прочитать, не понимая ее языка и символов. Эта книга написана на языке математики».

Ньютон первым превратил это выражение в реальность, поскольку для физических исследований ему была необходима математика. Все доказательства физических законов, которые мы находим в «Математических началах натуральной философии», обоснованы с помощью математических инструментов.

К достижениям Ньютона в области математики и физики следует добавить и его вклад в оптику. Широко известны эксперименты ученого с призмами, которые позволили показать, что белый свет не однороден, как принято было считать, а состоит из цветных лучей с разными показателями преломления.

Ньютон считал эксперимент важным научным методом. Ученый всегда отличался пытливым умом, это стало понятно уже в детстве, когда он с увлечением конструировал макеты мельниц и других механизмов. Можно сказать, что его инженерный талант ничем не уступал необыкновенной научной одаренности. Ньютон построил рефлекторный телескоп, благодаря чему был принят в Лондонское королевское общество; но он не просто усовершенствовал традиционную конструкцию, а использовал зеркала вместо увеличительных стекол и при создании телескопа решил множество технических проблем. Ему принадлежит и метод полировки медных пластин, что позволило использовать их в качестве зеркал: ученый создал новое химическое соединение, которое применил как абразив.

Ньютоновская картина мира царила в науке в течение почти двух с половиной веков, пока ей на смену не пришла теория относительности Эйнштейна. Но классическая физика успешно применяется и сегодня и дает сбой только при описании скоростей, близких к скорости света, или гигантских масс – в этом случае на сцену выходит физика Эйнштейна.

Вопреки распространенному мнению, Исаака Ньютона нельзя считать человеком, который посвятил себя только науке. В ходе серьезных исторических исследований, которые были проведены после Второй мировой войны и основывались на тщательном изучении рукописей Ньютона, оказалось, что его настоящий научный и человеческий масштаб нам практически неизвестен. Этот английский гений гораздо сложнее и многограннее, чем мы привыкли считать, и именно с таким Ньютоном мы познакомим читателя. Вы увидите перед собой не только математика, физика и ученого, но также мистика, алхимика и молчаливого, но упорного арианина. Мы проследим, как Ньютон из ребенка, брошенного матерью, превратился в знаменитого ученого, авторитет которого оставался незыблемым в течение нескольких веков, в верного слугу короны на своем посту в английском казначействе и непреклонного главу Лондонского королевского общества. Читатель познакомится с увлеченным юношей, который в 20 лет создал анализ бесконечно малых, с затворником, который с головой ушел в свои эксперименты с призмами или в работу над книгой «Математические начала натуральной философии», он увидит перед собой почти волшебника, готовящего алхимические эликсиры в попытках найти философский камень, теолога и историка Библии, уникального знатока христианской патристики первых веков – а также нелюдимого и замкнутого человека, неспособного попасть под чужое научное влияние, инициатора ряда ожесточенных споров, предметом которых стало первенство в научном открытии. Мы имеем все основания сказать: это был человек неоднозначный, противоречивый, гениальный и поразительный, каких немного рождается на земле.

1642 Появление на свет Исаака Ньютона в Вулсторпе, графство Линкольншир, 25 декабря (4 января 1643 года по григорианскому календарю). Отец Исаака, тоже Исаак, умер до рождения сына, мать Ханна, в девичестве Эйскоу, выйдя повторно замуж, оставляет трехлетнего ребенка на попечение бабушки.

1653 После смерти отчима, Барнабаса Смита, Исаак воссоединяется с матерью. Поступает в школу в Грэнтеме.

1661 Ньютон поступает в Тринити-колледж Кембриджского университета.

1665 Эпидемия чумы вынуждает Ньютона вернуться в Вулсторп, где он живет еще два года. В это время, а особенно в 1666 году, известном как ньютоновский annus mirabilis (год чудес), получают развитие многие его фундаментальные идеи в области математики, оптики, механики и астрономии.

1669 Ньютон получает место профессора математики в Тринити-колледже вместо Исаака Барроу. Пишет De analysi («Анализ с помощью уравнений с бесконечным числом членов»).

1672 Ньютон избирается в члены Королевского общества и представляет оригинальную статью по оптике, которая позднее становится причиной конфликта с другим членом общества, Робертом Гуком.

1679 Умирает мать Ньютона, и он еще больше замыкается в себе.

1684 Астроном Эдмунд Галлей консультирует Ньютона о причинах движения планет. Эта встреча сыграет важную роль в написании книги «Математические начала натуральной философии».

1687 Публикует Philosophiae naturalis Principia mathematica («Математические начала натуральной философии»). Этот монументальный труд объединяет значительную часть его идей, касающихся небесной механики и всеобщего тяготения, и дает физическое объяснение таким явлениям, как приливы и отливы, движение планет ит. д.

1696 Ньютон становится управляющим монетного двора Англии.

1703 Назначается главой Королевского общества. Годом позже публикует Opticks («Оптика, или Трактат об отражениях, преломлениях, изгибаниях и цветах света») – труд, посвященный свету и его свойствам.

1714 Королевское общество решает спор между Ньютоном и Лейбницем об изобретении анализа бесконечно малых, длившийся с 1684 года, в пользу Ньютона.

1727 31 марта Ньютон умирает, достигнув богатства и славы. Похоронен с большими почестями в Вестминстерском аббатстве.

ГЛАВА 1 Почему движутся планеты?

Наука XVII века безуспешно билась над поставленными гелиоцентрической революцией вопросами, связанными с природой движения планет. В эти годы лихорадочных научных размышлений родился Исаак Ньютон. Рано проявившиеся способности открыли ему двери в Кембридж.

В 1652 году, в период правления Оливера Кромвеля, в Лондоне открылось первое кафе, и оно очень отличалось от более привычных таверн, которые в разгар пуританства считались вместилищами греха. Вскоре кафе будут открываться все чаще и станут местом встреч представителей всех слоев и званий: политиков, литераторов, коммерсантов и даже ученых. Неудивительно, что в их уютных стенах стали проводить свои встречи и дискуссии и члены созданного в это время Лондонского королевского общества – самого старого на сегодняшний день европейского научного учреждения. В дневнике Роберта Гука, секретаря королевского общества с 1677 года и до самой его смерти, описано более 60 лондонских кафе, которые посещали ученые в 1670-х. Научная биография Ньютона стартовала со встречи с Гуком в таком заведении. Позже Гук станет одним из самых заклятых врагов ученого, но начиналась история довольно мирно.

Был январь 1684-го, и Гук сидел в кафе с двумя другими прославленными членами общества, Эдмундом Галлеем и Кристофером Реном. Они спорили на тему, которая волновала человечество с незапамятных времен: как и почему движутся планеты на небе? Все трое разделяли страстный интерес к движению планет и многим другим научным проблемам, и, конечно. все они были членами Лондонского королевского общества. Эта троица участвовала в еженедельных научных собраниях, ученые ставили эксперименты и вели научные споры. Сам Гук занимал не только должность секретаря, но и пост куратора экспериментов.

В 1684 году Роберт Гук (1635-1703) был одним из ведущих ученых Англии, сделавшим значительный вклад в различные сферы науки. Его достижения, в частности теория упругости, используются в механике и инженерном деле. Исследования Гука по оптике и разработке микроскопов и телескопов имели огромную важность, а в 1665 году при поддержке Королевского общества была опубликована его знаменитая Micrographia («Микрография»), где великолепно описаны наблюдения ученого с использованием этих инструментов. Именно Гук ввел название «клетка» для обозначения основной единицы жизни. Ученый проявил себя и как архитектор – он наряду со своим другом Реном был одним из наиболее востребованных мастеров при реконструкции Лондона после пожара 1666 года.

Кристофер Рен (1632-1723), второй член общества, был в то время настоящей знаменитостью. Прежний глава Королевского общества и профессор савилианской кафедры астрономии в Оксфорде [1 Учреждена, наряду с кафедрой по геометрии, сэром Генри Савилем в Оксфорде в 1619 году на собственные средства. Эти две кафедры были названы савилианскими и получили большую известность. – Примеч. ред.], математик Рен в 1673 году был посвящен в рыцари, вскоре стал членом британского парламента и одним из четырех членов Великой масонской ложи Англии. Он первым рассчитал длину циклоиды – кривой, которая вызывала огромный интерес ученых того времени. Рен остался в истории как архитектор собора Святого Павла и других зданий, построенных или восстановленных после Великого лондонского пожара.

Эдмунд Галлей был самым молодым из троих. Он родился в 1656 году, был избран членом Королевского общества в 1678-м, после возвращения с острова Святой Елены, где он построил обсерваторию для изучения звезд Южного полушария. Галлей совершал и другие трансатлантические путешествия: так, с 1698 по 1699 год он командовал кораблем Paramour королевского морского флота в экспедиции, посвященной наблюдениям магнитного поля Земли.

ЛОНДОНСКОЕ КОРОЛЕВСКОЕ ОБЩЕСТВО

Королевское общество не было первым научным союзом, созданным в Европе, однако это наиболее старая академия из действующих. Как говорят в самом Королевском обществе, его «происхождение восходит к „незримой коллегии" натурфилософов, которые начали объединяться в середине 1640-х годов, чтобы вести дискуссии и развивать новую философию познания природы и мира через наблюдения и эксперименты, сегодня называемые наукой».

Реверс монеты Королевского общества, на которой можно прочесть Nullius in verba, то есть «Ничьими словами». Девиз подчеркивает важность доказательств, основанных на научных экспериментах, а не только на словах авторитетов.

Место встреч и научный центр

Датой официального основания общества считается 28 ноября 1660 года, когда Кристофер Рен зачитал манифест перед 12 коллегами. Два года спустя они получили государственную поддержку в виде королевской грамоты, подписанной Карлом II, королем Англии. Первым президентом нового объединения стал виконт Уильям Бра- ункер. Королевское общество и другие академии этого рода, созданные во второй половине XVII и начале XVIII века, стали площадкой для научной коммуникации, и это была крайне важная задача в эпоху, когда регулярное почтовое сообщение если и существовало, то было недостаточно ненадежным. В это же время впервые появились и научные журналы, в которых сообщалось об открытиях и прогрессе в той или иной сфере, и этот инструмент распространения знания со временем стал очень важным. В1665 году Королевское общество начало выпускать журнал Philosophical Transactions («Философские труды») – периодическое издание, в котором Ньютон опубликовал свои первые исследования о природе света и цвета. Первые академии – Лондонское королевское общество, Парижская, Берлинская и Петербургская академии наук (упомянем лишь самые главные) – стали локомотивами развития науки в XVIII веке. В это время университеты прежде всего выполняли роль учебных центров и все еще не освободились от груза средневековой схоластики. Однако Ньютон, связанный в течение 30 лет с Кембриджским университетом, был нетипичным ученым – его коллеги чаще стремились к академической деятельности: Гюйгенс и Кассини работали в Парижской академии наук, Эйлер – в Петербургской и Берлинской академиях.

НА ЗЕМЛЕ КАК НА НЕБЕ

Последствия идей Коперника затронули не только небо, но и землю: принцип движения Земли, помимо классических астрономии и космологии, также разрушил основы аристотелевой физики, которая до того времени была в Европе общепринята. Тела падают вниз, утверждала она, в связи с естественным стремлением предметов, имеющих массу, направляться к центру Вселенной, который, согласно Аристотелю и схоластам, совпадал с центром Земли. Но если Земля движется и не располагается в центре Вселенной, почему предметы падают вниз?

После этих исследований в свет вышла первая магнитная карта с использованием изогонов, которые объединяют точки с одинаковым магнитным склонением. Как и Рен, Галлей стал профессором кафедры астрономии в Оксфорде (с 1703 года), хотя из-за атеизма (не очень-то и скрываемого) получить этот пост ему было непросто. В 1720 году Галлей был назначен королевским астрономом и директором Гринвичской обсерватории, на этом посту он сменил Джона Флемстида (1646-1719). Именем ученого названа комета, орбиту которой он рассчитал. Галлей заявил, что комета появлялась в 1531 и 1607 годах и должна вернуться в 1758-м. Так и произошло, и хотя Галлей, умерший в 1742-м, не смог своими глазами увидеть это событие, его заслуги были признаны, и комета получила свое теперешнее имя.

Расчет орбиты кометы, опубликованный в 1705 году, не был самостоятельной работой Галлея – ему в этом помогло обсуждение проблемы с уже названными учеными, в том числе и памятным вечером 1684 года. Трое членов общества снова и снова возвращались к вопросу о движении планет: как и почему они перемещаются по небу? Проблема превратилась в самый важный вопрос естественной философии с того момента, как Коперник положил на лопатки астрономию, космологию и физику, унаследованные Европой от древних греков.

В поисках ответа на этот вопрос Гук предположил существование силы притяжения со стороны Солнца по отношению к планетам, обратно пропорциональной квадрату расстояния. (К тому же заключению пришел Рен несколькими годами раньше, а также, еще раньше, Галлей.) Отсюда возникает вопрос: как будет выглядеть орбита планеты, на которую распространяется такая центральная сила притяжения? Ответ очень важен: сравнение его с данными наблюдений позволило бы узнать, до какой степени верна изначальная гипотеза. Гук верил, что его закон притяжения согласуется с законами и эллиптическими орбитами, описанными Кеплером, но не знал, как доказать это достаточно убедительным способом. Рен и Галлей были согласны с Гуком – не напрасно они использовали третий закон Кеплера, чтобы сделать вывод о значении силы притяжения, – но и они не знали, как это доказать.

И тут Галлею пришла в голову блестящая идея: чтобы решить задачу, нужно обратиться за советом к ученому из Кембриджа, Лукасовскому профессору Тринити-колледжа и автору спорного труда о природе света и цвета. Этим нелюдимым типом, который славился своей обидчивостью и с которым у самого Гука сложились трудные отношения, был талантливый математик Исаак Ньютон.

СИРОТА В БОЛЬШОЙ СЕМЬЕ

1642 год стал годом смерти Галилея и годом рождения Ньютона, который появился на свет в Рождество в деревне Вул- сторп, графство Линкольншир.

Ньютон был единственным сыном полуграмотного рабочего, который также носил имя Исаак и умер еще до рождения мальчика. Мать Ханна, в девичестве Эйскоу, была из бедной, но образованной семьи. Едва Исааку исполнилось три года, как она вышла замуж во второй раз за строгого англиканского пастора по имени Барнабас Смит. Пастор забрал в свой дом Ханну, но не ее сына, который остался на попечении бабушки со стороны матери. Господину Смиту было около 60, что не помешало ему родить в браке троих детей, пока он не скончался спустя семь лет после свадьбы.

Различные авторы отмечают, что травма, нанесенная отсутствием отца и разлукой с матерью, глубоко отразилась на характере английского гения, на том, как он воспринимал свои исследования или относился к тем, кто осмеливался спорить с ним.

Весь жизненный путь Ньютона можно считать постоянным поиском истины с помощью науки, теологии или алхимии, а своим собеседником он считал прежде всего не современников, а неизвестного родителя, перевоплощенного в фигуру Бога Отца. Такая интерпретация не только не лишена интереса, но и делает понятнее чудовищную агрессивность, с какой Ньютон на протяжении всей своей жизни воспринимал критические замечания по поводу своей научной деятельности, сколь бы незначительными они ни были.

С другой стороны, разлука с матерью в раннем детстве сделала Ньютона чрезвычайно восприимчивым к чужим попыткам отнять у него то, что, как он считал, принадлежало ему по праву. Это, безусловно, объясняет ожесточенные споры ученого о первенстве в открытиях, которые Ньютон вел и с Гуком, и с Лейбницем.

Отталкиваясь от перечня фраз и имен, от записей, которые Ньютон делал в тетрадях в молодости, во время учебы, мы можем определить, по каким книгам он учился.

И тогда, сопоставляя списки, мы обнаруживаем, что первые слова из этих рядов точно совпадают с первыми словами из книг, откуда они были переписаны. Но в определенный момент маленький Исаак начинает создавать перечни, а не копировать их, связывая теперь слова свободными ассоциациями.

Овдовев в 1653 году, Ханна вернулась к матери и сыну. С собой она привезла еще троих детей, рожденных в браке с преподобным Смитом, и сотню книг. В основном они были посвящены теологии и, безусловно, способствовали зарождению и сохранению интереса к Библии, который Ньютон испытывал всю свою жизнь.

Возвращение матери создало в жизни мальчика определенное напряжение, которое повлияло на его будущее. За 18 лет, прошедшие с того момента, как Ньютон поступил в Кембридж в 1661 году, до смерти матери в 1679-м, сохранилось всего одно письмо из их переписки. Может быть, писем было много и они просто утеряны, однако это предположение достаточно маловероятно. Нет и свидетельств о частых посещениях Ньютоном родного дома: за 13 лет, начиная с длительного пребывания в Вулсторпе между 1665 и 1666 годами – так как университет был временно закрыт из-за эпидемии чумы – до смерти матери, сохранились свидетельства всего о трех посещениях родного дома, хотя вероятно, что еще один или два таких визита нам неизвестны.

КОГДА РОДИЛСЯ НЬЮТОН?

Все говорят о том, что Ньютон родился в год смерти Галилея (1642). Однако это совпадение в датах жизни двух гениев – лишь кажущееся. На самом деле год смерти Галилея исчисляется по григорианскому календарю, в то время как год рождения Ньютона – по юлианскому, который в тот период еще использовался в Англии. По григорианскому календарю Ньютон родился 4 января 1643 года, что нарушает волшебство дат. Григорианский календарь был введен католической церковью в 1582 году; в календарной реформе участвовал и Коперник, и это подтолкнуло его к созданию собственной теории: «Математики настолько не уверены в движениях Солнца и Луны, что не могут ни доказать, ни отметить постоянную продолжительность времен года», – написал он в посвящении к своему De revolutionibus («О вращении небесных сфер»), адресовав эти слова папе Павлу III. Григорианская реформа календаря мгновенно прошла во всех католических странах юга Европы. В протестантских странах для этого потребовалось больше времени: в Дании, Голландии, немецких государствах переход на новый календарь произошел в 1700 году, в Великобритании и Швеции – в 1752 и 1753 годах соответственно.

Как написал Ричард Уэстфол, автор самой полной биографии Ньютона, «в мире существуют и более смелые проявления сыновней любви».

Однако все свои сыновние чувства Исаак Ньютон в полной мере проявил в последние дни жизни матери. Ханна лечила своего младшего сына, заболевшего лихорадкой, и заразилась от него. Ньютон приехал ухаживать за ней. Много лет спустя кто-то рассказал о его бессонных ночах, проведенных у смертного одра матери.

«Он заботился о ней с настоящим сыновним милосердием. Сидел ночи напролет рядом с ней, давал ей лекарства и перевязывал ее язвы собственными руками. Сэр Исаак Ньютон проявил невероятные расторопность и умение, облегчая страдания матери, вызванные действием лекарства, обычно применяемого при лечении этой болезни. Большую самоотдачу ученый не проявлял даже во время своих самых увлекательных экспериментов».

В завещании Ханна назвала Исаака своим душеприказчиком: вручая душу всемогущему Богу, она распорядилась, чтобы ее тело было похоронено достойно и по-христиански – так, как решит ее сын Исаак.

Лучше понять горе Ньютона, вызванное расставанием с матерью, поможет тетрадь с сохранившимися признаниями Исаака – Тетрадь Фицуилъям, по названию музея в Кембридже, где она хранится. Это личный дневник Ньютона, который он вел перед тем, как покинуть Кембридж из-за эпидемии чумы. В записях содержится ценная информация, например списки расходов и доходов ученого в кембриджский период между 1665 и 1669 годами, где указано, что именно он покупал для своих экспериментов по оптике или упражнений в иврите, который Ньютон выучил, чтобы лучше понять Библию.

Первый из серии известных портретов Исаака Ньютона, сделанных художником Готфридом Кнеллером. На этом лукасовскому профессору 46 лет. Всего за два года до этого он опубликовал свой труд «Математические начала натуральной философии».

Также он составил список самых тяжелых грехов, совершенных им за первые 20 лет жизни. Любопытно, что даже по прошествии многих лет Ньютон не вырвал из дневника страницы, содержащие настолько личную информацию. Правда, свои признательные записи он зашифровал, но ведь его блестящий ум не мог не догадываться, что расшифровка дневника – всего лишь вопрос времени. И действительно, так в конце концов и произошло – тайны Ньютона открыл Ричард Уэстфол. Возможно, ученый к этому и стремился: вовлечь других в мир своих грехов и преподать пример пуританства, пусть и немного хвастливого. В его записях упоминаются различные нечистые мысли и поступки, хотя самые главные грехи идут под номерами 13 и 14 и показывают, насколько вынужденное расставание с матерью ожесточило юношу. Он пишет: «Угрожал отцу и матери Смит сжечь их в своем доме» и «Желал смерти другому человеку и ждал ее».

В дискуссиях о научных приоритетах, которые красной нитью проходят через жизнь ученого, он всегда шел по пути отрицания заслуг «вторых изобретателей». Так, в 1715 году он написал, имея в виду Лейбница и открытие анализа бесконечно малых: «…вторые изобретатели не имеют прав». Такие высказывания наводят на мысль, что призрак преподобного Смита бродил в подсознании Ньютона.

СПИСКИ СЛОВ НЬЮТОНА

В одном из упражнений по каллиграфии ясно видно, что молодой Ньютон перестал переписывать слова, дойдя до слова father («отец»), чтобы добавить от себя: stepfather («отчим»), fornicator («прелюбодей») и flatterer («льстец»). В другом списке, после wife («жена»), он добавил wedlock («брачный союз»), wooer («ловелас»), widow («вдова») и whore («распутница»). В одном из упражнений по латыни Ньютон, переписывая слова латинской грамматики, начинавшиеся с буквы В, остановился после brother («брат») и начал импровизировать: bastard («бастард»), barren («бесплодный»), blaspheimer («богохульник»), brawler («дебошир»), ЬаЫег («болтун»), Babylonia («Вавилония»), bishop («епископ»), bedlam («сумасшедший дом»), beggar («нищий»), Benjamin («Бенджамин») – так, кстати, звали младшего сына, рожденного Ханной в браке с пастором Смитом.

УЧЕБА В ГРЭНТЕМЕ

В возрасте 12 лет Исаак пошел в школу в Грэнтеме, в восьми километрах от дома. Жил он в доме аптекаря Уильяма Кларка, женатого вторым браком на подруге матери Ньютона. У этой женщины была дочь от предыдущего брака, на несколько лет младше мальчика. Ей мы и обязаны значительной частью своих знаний об английском гении в этот период: в 1727 году, когда ей было уже 82 года, она поделилась воспоминаниями о тех временах с Уильямом Стьюкли, апологетом Ньютона, который тогда собирал материал для биографии ученого. Госпожа Винсент, а именно так звали в 1727 году детскую подругу Исаака, рассказала, что он всегда был серьезным, молчаливым и задумчивым мальчиком и вместо игр со своими сверстниками предпочитал компанию девочек, которым строил маленькие столики, шкафчики и другие игрушки. Она также упомянула, что Ньютон был в нее влюблен. Вероятней всего, ухаживания одинокого подростка трудно было назвать романом, но если даже это и так, то Винсент говорила о первом и последнем романе Ньютона за всю его жизнь.

Многочисленные записи о снадобьях и лекарствах, которые появляются в некоторых тетрадях Исаака Ньютона в грэн- темский период его жизни, позволили некоторым авторам предположить, что именно аптекарь Кларк стал человеком, зародившим в Ньютоне страстное влечение к алхимии, а также естественный интерес к изготовлению зелий и лекарств.

По словам Стьюкли, Ньютон приобрел в Грэнтеме конструкторские навыки и не только делал игрушки для своих подруг, но и строил макеты ветряных мельниц, солнечные часы и другие занятные предметы. Ему с детства нравилось экспериментировать, и эта страсть принесла огромную пользу в научных исследованиях Ньютона, а между 1668 и 1671 годами ученый даже своими руками построил телескоп-рефлектор, благодаря чему его приняли в Королевское общество.

Стьюкли полагает, что соученики не слишком-то любили Исаака, потому что считали его чересчур хитрым. Они просто не доверяли этому мальчику, который так явно превосходил их в способностях и скорости мысли. Между подростками нередко вспыхивали жестокие драки. До нас дошел рассказ об одном таком происшествии, записанный Джоном Кондуиттом, мужем любимой племянницы Ньютона, который слышал его от самого ученого:

«Сын учителя приблизился к дерущимся и начал хлопать по плечу одного и подмигивать другому, чтобы подзадорить их. Хотя маленький Исаак не был таким сильным, как его противник, он проявил гораздо большую решительность и напор и бил того, пока он не заявил, что драться больше не желает, после чего сын учителя потребовал от Исаака, чтобы он обошелся с соперником как с трусом и растер тому нос об стену. Ньютон тогда схватил противника за уши и прижал лицом к церковной стене».

Закончив учебу в Грэнтеме, Ньютон вернулся домой. Ему было 17 лет, и мать предложила Исааку заняться семейной фермой. Она назначила надежного служащего, который обучал бы юношу всем секретам управления, но эти планы не вызвали энтузиазма у самого Исаака, который предпочитал проводить время в размышлениях, а не заниматься хозяйственными делами.

Однако дела эти все усложнялись, потому что незаинтересованность Ньютона начала создавать проблемы с соседями: стадо убегало и наносило потраву соседним владениям. Однажды юноша был оштрафован за то, что его овцы сломали изгородь, а в другой раз – за то, что свиньи зашли на чужое поле.

Когда ему говорили отвести на луг стадо овец, он садился под дерево с книжкой или занимался выстругиванием деревянных макетов.

Уильям Стьюкли о Ньютоне

Когда Ньютону предстояло отправиться на рынок с продуктами фермы, он поручал всю работу слуге, а сам посвящал время более интересным занятиям. Стьюкли рассказал, что Исаак даже платил слуге, чтобы тот сам занимался делами и оставил бы будущего ученого наедине с книгами на постоялом дворе или в библиотеке аптекаря Кларка.

Как говорит Стьюкли, из-за своей задумчивости Ньютон нередко попадал в комические ситуации: однажды он возвращался с рынка и вел лошадь в поводу, но так погрузился в свои размышления, что даже не заметил, когда лошадь освободилась. Только подойдя к ферме Исаак увидел, что держит в руках лишь повод.

Эта невнимательность и отсутствие интереса к тому, что должно было стать его будущей работой, вероятно, отравляли обстановку в доме. В своих признаниях, относящихся к 1662 году, ученый пишет о совершенных грехах, и они говорят сами за себя: «Отказался идти во двор по просьбе своей матери», «Ударил сестру», «Назвал Дороти Роуз падшей женщиной». Все это заставляет думать, что поведение Исаака становилось все более дерзким и создавало постоянную напряженность в семье.

В конце концов вмешался брат матери, и было решено отправить юношу в тот же университет, где учился дядя, – в Кембридж. Еще одним ньютоновским грехом, включенным в его список, была ругань со слугами. Их крайне удивлял хозяин, который был невнимателен к стаду, далек от рыночных дел и нередко, задумавшись, пропускал ужин (это же часто происходило с ним и в университетские годы). Совсем не странно, как говорит Стьюкли, что слуги его матери вздохнули с облегчением, когда Ньютон, приспособленный только для научной работы, покинул отчий дом.

ГЛАВА 2 Гравитация и законы движения. «Математические начала натуральной философии»

Мысль о том, что одни и те же законы объясняют движение планет по орбитам и падение предметов на земле, Ньютон лелеял с того времени, как он, 20-летний, гулял по английским садам. Однако только в своей великой работе «Математические начала натуральной философии» ученый собрал воедино нити своих грандиозных прозрений.

В начале этой книги мы оставили Эдмунда Галлея по дороге в Кембридж к профессору Ньютону. Эта судьбоносная встреча произошла в августе 1684 года. Ньютон еще не считался гением, однако уже приобрел авторитет в английском научном сообществе.

О чем шла речь на этой встрече, мы знаем со слов Ньютона, рассказавшего о ней несколько лет спустя Абрахаму де Муавру (1667-1754). Этот французский математик и протестант, вынужденный покинуть родину и переселиться в Англию по религиозным причинам, позднее поведал о встрече Ньютона и Галлея следующее:

«Доктор Галлей спросил сэра Исаака Ньютона, какой могла бы быть кривая, описывающая движение планет, предполагая, что сила притяжения Солнца обратно пропорциональна квадрату расстояний. Сэр Исаак Ньютон мгновенно ответил, что они эллиптические. Удивленный доктор в большом возбуждении поинтересовался, откуда профессор это знает. «Потому что я это рассчитал», – ответил Ньютон; и Галлей попросил, чтобы тот скорее показал свои расчеты. Сэр Исаак Ньютон поискал в бумагах, но расчетов не нашел, однако пообещал, что сделает их заново и пошлет Галлею».

Это был типичный ответ Ньютона, который всегда с крайней неохотой делился своими открытиями. На самом деле ученый отнюдь не терял своих расчетов, он просто хотел еще раз подумать над проблемой движения планет и пересмотреть свои записи, прежде чем показывать их другим. Но в этот раз все вышло иначе: вопрос Галлея «поглотил ученого полностью, как ничто не поглощало его ранее», писал Уэстфол, и разжег его воображение до крайней степени.

При этом на свободу было отпущено не только воображение Ньютона, но и его огромная работоспособность. Любопытно, что ученый пытался, особенно в свои последние годы, создать о себе некую легенду, окружить себя мифологическим ореолом, для чего поощрял истории, анекдоты и мистификации со своим участием.

ЗВЕЗДНЫЕ МОМЕНТЫ В НАУКЕ

Два величайших звездных момента в науке – падение яблока на Ньютона и «Эврика!» Архимеда (на иллюстрации). Как писал Витрувий, римский архитектор I века до н.э., сиракузский тиран Гиерон II приказал изготовить новую золотую корону в форме триумфального обруча из золотых ветвей, который водружали на голову в знак отличия военачальнику-победителю, входившему в Рим. Чтобы узнать, действительно ли корона сделана из чистого золота или недобросовестный ювелир добавил в нее серебра, но при этом не переплавлять и не портить вещь, Гиерон пригласил Архимеда. Ученый не знал, как выполнить пожелание правителя, особенно учитывая, что ему было запрещено расплавить украшение, чтобы вычислить его массу и объем (а значит, и плотность) и выяснить таким образом, совпадает ли она с плотностью золота. Однажды, принимая ванну, Архимед заметил, что уровень воды поднялся, когда он в нее вошел. Тогда ученый подумал, что с короной можно сделать то же самое: погруженная в воду, она вытеснит количество жидкости, равное своему объему. Разделив вес короны на объем вытесненной воды, можно узнать плотность короны. Поняв, насколько простым оказался ответ в поставленной задаче, Архимед выбежал, не одеваясь, на улицу и радостно закричал: «Эврика!» (на древнегреческом это означает «Нашел!»). Вероятно, это все же вымышленная история, потому что описанный метод измерения требовал бы высокой точности. Более того, упоминания о нем нет ни в одной из известных работ Архимеда. Но в своем трактате «О плавающих телах» изобретатель описывает принцип гидростатики, согласно которому на тело, погруженное в жидкость, действует выталкивающая сила, равная массе объема вытесненной жидкости. Как бы то ни было, этот принцип сегодня известен по имени гениального греческого ученого.

ПАДЕНИЕ ЯБЛОКА

Поразительная простота известной истории с яблоком помогла представить Ньютона гениальной личностью. Нечто похожее уже произошло раньше с Архимедом.

Возможно, Ньютон очень хорошо понял, что ореол гениальности, который с незапамятных времен окружает греческого ученого, связан не только с его потрясающими открытиями, но и с некоторыми легендами. Самая знаменитая из них – легенда об «Эврике», но кроме нее существуют и другие. Ньютон также смог найти не менее изящный сюжет – историю с яблоком. Мы говорим «смог найти», потому что именно сам Ньютон уже в возрасте 70 лет начал рассказывать этот анекдот всем окружающим. Сохранились четыре независимые версии легенды, и все они были рассказаны самим Ньютоном уже в старости. Одним из вариантов ученый поделился с Уильямом Стьюкли, своим соотечественником, который занимался составлением его биографии. Естественно, Стьюкли включил легенду в свою книгу «Жизнь Ньютона» (1752):

«Было жарко, и после обеда мы с сэром Исааком Ньютоном пошли в сад выпить чаю; под тенью яблонь мы остались вдвоем. Мы разговаривали, и он рассказал, что именно в таком месте ему пришла в голову идея притяжения. На эту мысль его навело упавшее яблоко. Почему яблоко всегда падает перпендикулярно земле, спросил себя Ньютон. Почему оно не падает в другом направлении или не летит вверх? Наверняка причина в том, что его притягивает Земля. Должна существовать сила тяготения материи, и сущность силы тяготения всей материи на Земле должна находиться в центре Земли, а не где-либо еще. Поэтому яблоко падает перпендикулярно, то есть к центру Земли. Если материя притягивает другую материю, это должно происходить пропорционально ее количеству. Таким образом, яблоко притягивает Землю, как Земля притягивает яблоко».

Из этого рассказа создается впечатление, что как только Ньютон увидел падающее яблоко, сразу же в его голове со всей ясностью предстала динамика планетарного движения. Это же стремление выдвинуть на первый план романтизированную сторону своего гения, а не предстать обычным неутомимым тружеником ученый демонстрирует и в других описаниях обстоятельств, которые сопровождали некоторые его открытия.

В главной работе Ньютона, «Математические начала натуральной философии», обнаруживается отличие между этими выдуманными гениальными озарениями и продолжительной работой, необходимой, чтобы сформировать зерно идеи, очистить ее, оставив лишь главное, избавиться от пустых предположений и ошибок, окружить ее другими мыслями, пока с помощью тяжелого труда и опираясь на имеющиеся научные достижения не придешь к настоящему открытию. Однако именно таков реальный образ Ньютона-ученого, и он противоречит романтическому образу гения, который сам Исаак Ньютон пытался нарисовать. Ведь ничто лучше подробностей проделанной работы не объяснит одно из самых великих научных открытий – закон всемирного тяготения. В редких случаях сам Ньютон все-таки отдавал себе должное: в письме, датированном 10 декабря 1692 года, он признается, что созданием своего фундаментального труда «Математические начала натуральной философии» он обязан лишь «трудоспособности и терпеливому размышлению».

Чтобы увидеть полную картину, оставим Ньютона проверять свои расчеты после встречи с Галлеем в августе 1684 года, а сами вернемся в год 1543-й, без сомнений, символичный в истории науки.

ДВА РАЗНЫХ ОБРАЗА ГЕНИЯ

«Архимед, развлекаемый сиреной, – писал Плутарх в своих „Сравнительных жизнеописаниях", – забывал о пище и не заботился о себе. Когда его силой заставляли умаслить свое тело и помыться, он был занят лишь своими геометрическими фигурами, рисуя их в воздухе, не помня себя, как будто музы овладели всем его существом, в высшем удовольствии, которое приносило это занятие». Этот рассказ, в котором Архимед предстает перед нами довольно легкомысленным и ребячливым, послужил основой для более пуританской версии Ньютона: «Не знаю, что может казаться людям,- сказал он однажды, – но я смотрю на себя как на ребенка, который, играя на морском берегу, нашел несколько камешков поглаже и раковин попестрее, чем удавалось другим, в то время как великий океан истины продолжает хранить от меня свои тайны».

КОПЕРНИК И КЕПЛЕР

В 1543 году в Нюрнберге была опубликована книга De revolutionibus orbium coelestium («О вращении небесных сфер»), название которой возвестило начало эпохи научных потрясений; не зря период с этого момента и до конца XVII века – времени публикации «Математических начал натуральной философии» Ньютона – назвали научной революцией. Эта революция затронула самые разные области знания и поставила под сомнение прежнюю суть науки, возведя в новую степень важность практического опыта и подчинив теоретические достижения экспериментальным данным. В конце этого процесса (и Ньютон наряду с Коперником, Кеплером, Галилеем и Декартом был одним из его великих мастеров) возникла новая наука в своей теперешней форме.

Автором упомянутой книги-прорыва был Николай Коперник (1473-1543). Легенда гласит, что первый напечатанный экземпляр De revolutionibus он держал в руках на своем смертном одре, готовясь покинуть этот мир 24 мая 1543 года.

До этого момента астрономия, унаследованная от Античности, утверждала, что Земля неподвижна и располагается в центре Вселенной. Вокруг нее обращаются семь планет: Луна, Меркурий, Венера, Солнце, Марс, Юпитер и Сатурн (по расстоянию до Земли, от меньшего к большему, хотя не было единого мнения по тому поводу, в каком порядке следовало расположить Меркурий, Венеру и Солнце), а также неподвижные звезды, расположенные на сферической поверхности, которая представлялась крайним пределом Вселенной.

Неподвижные звезды совершают ежедневный оборот вокруг Земли без видимых различий между одними сутками и другими, чего не происходит с промежуточными телами. Например, Солнце не проходит каждый день один и тот же путь, хотя кажется, что каждые 365 дней он повторяется. Если каждый день на закате Солнца мы отметим на фоне звездного неба точное место, где светило коснулось горизонта, мы увидим, что эта точка будет продвигаться примерно на один градус на восток, совершая полный цикл к концу года. Этот ежегодный путь Солнца, вокруг которого группируются зодиакальные созвездия, называется эклиптикой, и она была воображаемой базовой линией, которая использовалась в птолемеевской астрономии для объяснения движения Солнца, Луны и планет. Хотя движение последних не зависело друг от друга и сопровождалось сложными отклонениями, например ретроградацией.

Если я и мог смотреть вдаль, так это потому, что стоял на плечах гигантов.

Исаак Ньютон в письме 1676 года Роберту Гуку

Большой астрономический сборник с подробным описанием движения планет имел название «Альмагест» и был составлен греческим ученым Птолемеем. Для физического объяснения планетарного движения использовалась аристотелевская космология: каждая планета вписывалась в кристаллическую сферу, которая без остановок вращалась вокруг Земли.

Это космогоническое представление было полностью воспринято средневековыми схоластами. Во Вселенной у каждой вещи есть свое место и у каждого места – своя вещь. Существование пустоты не признавалось; так, ад находился в центре Земли, а Эмпирей, где физически пребывает Бог, прямо за сферой неподвижных звезд. Аристотелево-схоластическое восприятие космоса было воспето Данте Алигьери в «Божественной комедии». Эта эпическая поэма описывает Рай, разделенный на девять небес, расположенных по ангельской иерархии: Луна (обитель исполняющих обеты), Меркурий (обитель честолюбивых), Венера (обитель возлюбленных), Солнце (обитель мудрых), Марс (обитель воителей за веру), Юпитер (обитель справедливых правителей) и Сатурн (обитель созерцателей). Перводвигатель – самая дальняя из всех сфер, ее наполняют статичные звезды, а ее движение управляется Богом. Вокруг всего этого располагается Эмпирей, «обитель Бога и всех избранных» – место, не ограниченное пространством, не созданное из материи и вечно неподвижное.

Это космологическое объяснение устанавливало четкую границу между неизменным и идеальным небесным миром – Вселенной, которая тянется далеко за пределы земной атмосферы, и переменчивым и неидеальным земным пространством, находящимся под атмосферой. Естественно, этими мирами управляли разные физические законы.

ПЕРИГЕЛИЙ, АФЕЛИЙ И ЭКЛИПТИКА

Перигелий – это ближайшая к Солнцу точка орбиты небесного тела. И наоборот, афелий – это самая удаленная от Солнца точка орбиты (рисунок 1). Например, Земля достигает своего перигелия каждый год в начале января, когда расстояние до Солнца составляет примерно 147 миллионов километров, в то время как при достижении афелия это расстояние составляет около 152 миллионов километров. Феномен наблюдается только на эллиптических орбитах, когда Солнце находится в одном из фокусов эллипса, а не на круговых, где Солнце находится в центре.

Эклиптикой называется воображаемая линия движения Солнца за год по отношению к неподвижному полю звезд. Образуется пересечением проекции земной орбиты с небесной сферой. Когда солнечный свет падает перпендикулярно 23°27‘ северной широты, он попадает на Тропик Рака (21 июня), когда падает перпендикулярно 23°27‘ южной широты – на Тропик Козерога. Это максимальный и минимальный угол, который занимает Солнце, двигаясь по небу. Эклиптика определяет воображаемую плоскость земной орбиты. Она наклонена на 23°27‘ по отношению к экватору Земли (рисунок 2). Другие планеты не расположены в этой плоскости.

РИС. 2

Аристотелева физика основывалась на доктрине о четырех элементах греческого философа Эмпедокла. Эта теория подразумевала, что существуют четыре основные субстанции: огонь, земля, воздух и вода, на которые действуют любовь, их объединяющая, и ненависть, которая их разделяет. Четыре элемента, смешанные в различных пропорциях, создают все сложные вещи и материи, существующие в подлунном мире, а то, что находится на небе, – это пятая субстанция, или эфир. Таким образом, каждый из элементов имеет свое естественное положение во Вселенной: место земли, например, в центре Вселенной, в то время как место огня – промежуточное между атмосферой и сферой, которую занимает Луна. Элементы, из которых состоит любое тело, стремятся вернуться на свое изначальное место. Твердые вещества, над которыми главенствует земля, падают вниз, потому что земля стремится к своему естественному расположению, в центр Вселенной, а, например, пламя, над которым главенствует огонь, поднимается вверх, также в поиске своего естественного места, которое в этом случае находится в верхних слоях атмосферы.

В своей книге «О вращении небесных сфер» Коперник предлагал новую астрономию, основанную на неподвижном Солнце, расположенном в центре Вселенной, в то время как Земля и другие планеты оборачиваются вокруг своей оси каждый день, и вокруг Солнца – раз в год. Единственная планета, которая вращается вокруг Земли, – это Луна. В теории Коперника оставалась звездная сфера, но теперь она была неподвижной. Однако подобный подход ставил множество вопросов как в области астрономии и космологии, так и в физике.

Коперник попытался дать ответ на некоторые из них в своем труде «О вращении небесных сфер», используя при этом аргументы Аристотеля. Вероятно, по-другому быть не могло: чтобы полностью перевернуть концепцию мира, необходимы совместные усилия многих ученых. Коперник дал первый импульс, предложил альтернативу птолемеевой астрономической модели. После этого пришло время решать проблемы, возникшие как последствия космологических и физических теорий, и преодолевать неизбежное противостояние с католической церковью, развязанное идеей о движущейся Земле.

Требовалось время, чтобы астрономические идеи Коперника пробили себе дорогу в науке. Ему приходилось бороться с религиозными предубеждениями, и в этом сражении легко было проститься с жизнью. Сначала против ученого выступили воинствующие протестанты: неподвижное Солнце и блуждающая Земля противоречат Библии. Однако вскоре они заняли более прагматическую позицию: предложение Коперника – это всего лишь рабочая гипотеза, которая может и не подтвердиться. Однако за этим последовал взрыв гнева в католической церкви и инквизиции. Книга Коперника вошла в перечень запрещенных, Джордано Бруно за поддержку его теории был сожжен на костре, а Галилею едва удалось спастись. До сих пор существуют трения между наукой и религией, особенно в части новых открытий, которые могут противоречить традиционному прочтению Библии, Корана или какой-либо еще священной книги.

РЕТРОГРАДАЦИЯ ПЛАНЕТ

Одним из преимуществ теории Коперника по сравнению с идеями Птолемея была простота. Новая теория объясняла необыкновенный феномен – кажущуюся ретроградацию планет. При наблюдении с Земли планеты движутся с запада на восток, за исключением кратких периодов, когда они меняют направление с востока на запад, как будто пятясь назад по своему пути – это то, что называется ретроградным движением планет. Такая ретроградация происходите определенной периодичностью: Меркурий становится ретроградным каждые 116 дней, Венера – каждые 584 дня, Марс – 780, Юпитер – 399, а Сатурн – 378 дней. В птолемеевой системе требовалось бы множество геометрических действий, чтобы вписать планетарную аномалию в картину неба. А по теории Коперника эта нерегулярность движения была лишь кажущейся, результатом наблюдения с Земли, которая сама находится в движении. Коперник объяснил, что ретроградация – не что иное, как наблюдаемый эффект, видимый, но не соответствующий действительности. Он связан с тем, что планеты, более близкие к Солнцу, чем Земля, проходят свои орбиты за меньший отрезок времени и обгоняют при этом Землю, а затем начинают движение по орбите в обратном направлении, что и видится с нашей планеты как возвратное движение.

ПОЛОЖЕНИЕ ПЛАНЕТ СОГЛАСНО КОПЕРНИКУ

Теория Коперника была более полной, чем теория Птолемея, поскольку его модель была способна упорядочить планеты в соответствии с их отдаленностью от Солнца, а птолемеева модель выстраи- вала планеты по времени, необходимому для прохождения эклиптики. Однако таким методом невозможно объективно определить расположение Меркурия, Венеры и Солнца: все они проходят эклиптику приблизительно за год. А если, напротив, иметь в виду, что Земля огибает Солнце за год, а ретроградация планет происходит, когда их траектории пересекают прямую, соединяющую Землю и Солнце, то становится возможным рассчитать длительность планетарных орбит, что и сделал Коперник. В действительности мы знаем, что Меркурий становится ретроградным каждые 116 дней, и поскольку Земля проходит свою орбиту за 365 дней, за это время как Земля, так и Меркурий проходят 116/365 своей орбиты; кроме этого, Меркурий делает еще один оборот, прежде чем стать ретроградным,- это происходит когда планета, Солнце и Земля лежат на одной прямой. Таким образом, мы приходим к уравнению:

1+116/365=481/365

Значит, Меркурий проходит свою орбиту 481/365 раза каждые 116 дней, и простое вычисление дает нам время прохождения орбиты, равное 88 дням. Составив такое же уравнение для Венеры, которая становится ретроградной каждые 584 дня, мы получаем, что ей на прохождение своей орбиты потребуется 225 дней. Таким образом, порядок по отношению к Солнцу таков: Меркурий, Венера, Земля, Марс, Юпитер и Сатурн.

Христианство, иудаизм или ислам настаивают на непреложности истин, описываемых в священных книгах. Научное видение, в свою очередь, таких истин не признает. Ценность любой научной теории определяется только соответствием гипотезы или идеи наблюдениям в природе. В этом смысле религия дает непреложные ответы, которые следует воспринимать некритично; наука, напротив, ставит временные гипотезы, которые могут меняться и обогащаться благодаря критическому мышлению. Эта научная концепция стала плодом революции, которую пережила наука от Коперника до Ньютона.

Теория Коперника была вынуждена противостоять двум концепциям: религиозной, с одной стороны, и традиционной научной – в этом случае схоластической – с другой. И хотя новая теория была более простой, более полной, хотя она идеально упорядочивала планеты в соответствии с их отдаленностью от Солнца и отличалась изяществом, она, тем не менее, не была точнее теории Птолемея, так как Коперник держался за платоновскую гипотезу о том, что планеты должны двигаться по окружностям с постоянной скоростью. Эта гипотеза, унаследованная от греков, вынуждала ученого усложнить свою теорию, чтобы привести ее в соответствие с наблюдениями.

Почти три десятилетия спустя после смерти Коперника родился Иоганн Кеплер (1571-1630), математик и астроном, который придал нужное направление революции, начатой Коперником, и включил в его систему новую порцию революционных идей. Кеплер раскрыл тайну планетарного движения при помощи точных астрономических таблиц, разработанных датским ученым Тихо Браге (1546-1601) во второй половине XVI века. Им при этом двигала несокрушимая вера в простое и изящное строение Вселенной и опора на расчеты. Кеплер решил задачу, сформулировав три закона. Первые два, описанные в его книге «Новая астрономия» (Astronomi nova) (1609), утверждают, что:

– каждая планета Солнечной системы обращается по эллипсу, в одном из фокусов которого находится Солнце;

– каждая планета движется в плоскости, проходящей через центр Солнца, причем за равные промежутки времени радиус-вектор, соединяющий Солнце и планету, описывает равные площади.

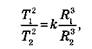
Орбиты, рассчитанные на основе этих двух законов, идеально подтверждались наблюдениями, доступными в то время. Третий закон Кеплера был выведен десять лет спустя и описан в его книге «Гармония мира» (Harmonices mundi) (1619); в его основе лежат количественные расчеты, до тех пор не применявшиеся в астрономии. Закон утверждает, что квадраты периодов обращения любых двух планет вокруг Солнца пропорциональны кубу их средних расстояний до Солнца. Теория Коперника, дополненная законами Кеплера, превосходила геоцентрическую теорию в простоте, изяществе и точности. И теперь в соответствии с законами Кеплера следовало объяснить, что заставляет планеты двигаться вокруг Солнца.

ТРИ ЗАКОНА КЕПЛЕРА

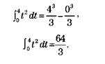
Астрономическая модель Кеплера заключается в трех законах, которые математически описывают движение планет по своим орбитам вокруг Солнца. Первый закон гласит: каждая планета Солнечной системы обращается по эллипсу, в одном из фокусов которого находится Солнце. Эллипс определяется как совокупность точек поверхности, которые соответствуют условию l1 + l2 = константа (рисунок 1). Второй закон гласит: каждая планета движется в плоскости, проходящей через центр Солнца, причем за рав- ные промежутки времени радиус-вектор, соединяющий Солнце и планету, описывает равные площади. Закрашенные зоны одинаковой площади преодолеваются за одинаковые промежутки времени. За одно и то же время на участке, закрашенном темно-се- рым, планета должна пройти дугу эллипса большей длины, чем на светло-сером участке (рисунок 2). Третий закон, изложенный десять лет спустя, гласит: квадраты периодов обращения планет вокруг Солнца относятся как кубы больших полуосей орбит планет. Время, которое планета затрачивает на прохождение орбиты (период T), пропорционально большей полуоси R, возведенной в степень 3/2 (рисунок 3).

РИС.1

РИС. 2

РИС.3

ОТ ГАЛИЛЕЯ ДО НЬЮТОНА

По мере укрепления идей Коперника на смену аристотелевой физике пришла количественная динамика, представленная Галилеем (1564-1642). Галилей защищал новую концепцию науки, основанную на сочетании эксперимента и математических размышлений. Эта концепция обобщена в его изречении:

«Философия написана в великой книге Вселенной, всегда открытой перед нашими глазами. Но ее невозможно прочитать, не понимая ее языка и символов. Эта книга написана на языке математики, а буквы в этом языке – треугольники, круги и все геометрические фигуры. Без этих средств невозможно человеку понять ни слова, без них мы тщетно блуждаем в темном лабиринте».

Вернейшим доказательством его идей стала главная работа Ньютона «Математические начала натуральной философии». В качестве примера новой науки Галилей стал изучать траектории падения тел. Он показал, что вопреки утверждениям Аристотеля время падения тел не зависит от их размера и маcсы. Вряд ли можно считать достоверной популярную историю о том, что Галилей сбрасывал свинцовые шары с Пизанской башни. Для экспериментов он использовал наклонные поверхности, которые позволяли более точно корректировать время падения. Он же открыл общий закон ускорения, действующий при падении тел, и подтвердил идею о параболической траектории, по которой движутся снаряды.

Галилей не изобретал телескоп, но он стал первым, кто направил его в небо и правильно описал увиденное. Наблюдения ученого – лунные горы, спутники Юпитера, пятна на Солнце, фазы Венеры – стали мощным подтверждением теорий Коперника. Католическая церковь предупредила Галилея, что тот вступает на опасную почву. Ученый, находившийся в дружеских отношениях с папой римским, недооценил серьезность предупреждения, однако в 1632 году, когда увидела свет его работа «Диалог о двух главнейших системах мира – птолемеевой и коперниковой» (Dialogo sopra i due massimi sistemi del mondo, tolemaico e copemicano), он был подвергнут инквизицией постыдному судебному процессу и едва не простился с жизнью. Несмотря на то что Галилею на тот момент уже было почти 70 лет, его принудили встать на колени и клятвенно отречься от своего мнения о движении Земли, а также приговорили к пожизненному тюремному заключению – которое папа заменил на домашний арест, – запретив писать и получать письма без специального разрешения. Приговор также включал еженедельную обязанность на протяжении трех лет читать семь покаянных псалмов.

Труд Галилея также попал в список запрещенных книг. В своих «Диалогах» он ввел термин «инерция», очень важный для понимания динамики Солнечной системы. Ньютон использовал его в своем первом законе механики.

Часто говорят о символическом совпадении: дескать, Ньютон родился в год смерти Галилея, в 1642-м. Пусть сохранится подобная символичность, объединяющая этих двух гениев. Второй из них – Ньютон – покажет, что причины, по которым планеты остаются на своих орбитах, а пушечное ядро летит по параболической траектории, – одни и те же.

ЗАГАДОЧНОЕ БЛУЖДАНИЕ ПЛАНЕТ

Путь Ньютона к написанию «Математических начал натуральной философии» был длинным и начался во время его вынужденного затворничества в родном доме, куда он вернулся из-за закрытия университета в связи с эпидемией чумы 1665 года.

В первые месяцы после приезда в Вулсторп ученый все свое время посвящал математическим размышлениям, на основании которых он вывел принцип анализа бесконечно малых. Окончательно этот принцип будет оформлен через три-четыре года. В начале 1666 года Ньютон стал также заниматься вопросами, связанными с механикой. Вдохновленный трудами Декарта и Галилея, он начал разрабатывать то, что позже назовет принципом инерции: тело продолжает сохранять состояние движения, пока на него не действуют другие силы.

Вслед за Декартом Ньютон начал изучать круговое движение и попытался решить задачи, поставленные теорией Коперника и касающиеся движения Земли и других планет, – они были собраны Галилеем в его «Диалогах». Ньютон поставил вопрос о движении планет в рамках декартовой теории вихрей, которую он самостоятельно изучил в годы, предшествующие учебе в Кембридже. Он исходил из закона прямолинейной инерции и пары «притяжение – центробежная сила» для изменения прямых траекторий, так же, как это сделал нидерландский астроном и математик Христиан Гюйгенс (1629-1695). Гюйгенс первым количественно выразил стремление тел удаляться от центра при круговом движении. В своей работе «О центробежной силе» (De vi centrifuga), опубликованной в 1673 году, он назвал эту тенденцию центробежной силой и с ее помощью пытался объяснить такие природные феномены, как движение света и притяжение тел. Таким образом, сначала Ньютон придавал большее значение стремлению планет отдаляться (центробежная сила), чем силе притяжения Солнца. Использовав третий закон Кеплера, он смог открыть, что центробежные силы, порождаемые планетами, изменялись обратно пропорционально квадрату их расстояний до Солнца.

ЛУННЫЕ ГОРЫ

В своей работе «Звездный вестник» (Sidereus Nuncius) (1610), проведя серию наблюдений при помощи телескопа, Галилей заявил, что на Луне существуют горы, опровергнув таким образом тезис Аристотеля о том, что небо совершенно, а Луна – это гладкая и неизменная сфера. Другие наблюдения ученого из Пизы, свидетельствующие в пользу тезисов Коперника, были следующими: сезонные изменения пятен на Солнце подтверждают, что ось вращения Солнца наклонена; звезды не увеличиваются в размере (что, напротив, происходит с планетами), и это доказывает гипотезу о существовании огромного расстояния между Сатурном и неподвижными звездами; у Юпитера есть спутники (возможно, это самое значительное открытие Галилея), и это означает, что не все небесные тела вращаются вокруг Земли; фазы Венеры, связанные с изменением размера звезды, доказывают, что она вращается вокруг Солнца.

Слева – фазы Венеры, определяемые гелиоцентрической орбитой планеты и подтвержденные наблюдениями Галилея. Справа – фазы планеты в соответствии с геоцентрической моделью.

Однако стоит более подробно описать путь, которым шел Ньютон в своих исследованиях планетарного движения, пытаясь найти связь между центробежной силой и квадратом расстояния.

Предположим, что тело массой m движется с постоянной скоростью v по окружности с радиусом r. Ньютон рассчитал, что полная сила при равномерном круговом движении стремится к 2пи mv. Если теперь рассчитать не полную, а мгновенную силу (разделив на время полного оборота 2пи r/v), получаем

Эту формулу центробежной силы, из-за которой тело, совершающее равномерное круговое движение, в каждый момент времени стремится от центра, мы используем при расчете подобного кругового движения.

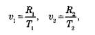
Ньютон воспользовался третьим законом Кеплера, чтобы найти центробежную силу, благодаря которой планеты отдаляются от Солнца. Пусть Т1 и Т2 – это периоды обращения планет вокруг Солнца, a R1 и R2 – их средние расстояния до Солнца. Третий закон Кеплера утверждает, что квадраты периодов обращения планет относятся как кубы радиусов:

где k – общий коэффициент пропорциональности. Добавим теперь скорости, с которыми двигаются планеты, v1 и v2 ; по формуле, приведенной выше, результаты для соответствующих центростремительных сил равны:

и, таким образом,

Принимая во внимание, что скорости – это частное расстояния и времени, получаем:

подставим это в предыдущую формулу и получим:

В итоге, применив третий закон Кеплера, Ньютон получил:

Вынеся за скобки множитель, который учитывает массы, Ньютон пришел к выводу, что центробежные силы обратно пропорциональны квадрату расстояний:

Возможно, Ньютон начинал подозревать, пока более или менее туманно, что яблоко заставляет падать то же притяжение, которое держит Луну на орбите возле Земли, однако от этого момента до открытия всеобщего закона тяготения должно пройти еще много времени, полного тяжелой работы и бессонных ночей. Сначала Ньютон пытался сравнить ускорение, придаваемое центробежной силой и заставляющее Луну двигаться, и ускорение тяготения на земной поверхности; и снова ученому помог его талант экспериментатора: он смог обнаружить точные значения, когда с помощью наклонных поверхностей измерял скорость падения тел на Землю.

ДЕКАРТОВЫ ВИХРИ

Часть пластины, изображающей декартовы вихри, включенной в книгу «Математические начала натуральной философии».

Рене Декарт выдвинул точку зрения, что своим движением планеты обязаны действию неких вихрей. Эта механистическая теория была опубликована в «Математических началах натуральной философии» (1644) и предполагала, что пространство занято невидимым потоком, который, двигаясь, создает гигантские небесные вихри.

Солнце, по теории Декарта,- центр одного из таких вихрей, и поэтому оно тянет за собой планеты, которые, в свою очередь, являются центрами других, более маленьких вихрей, воздействующих на Луну и другие спутники. Эта идея была достаточно сильной, потому что объясняла движение тел без видимого воздействия сил, при этом она наследовала аналогию с речными водоворотами, которая уже применялась в Древней Греции Левкиппом и, позднее, Эпикуром. Но если силы не действуют на расстоянии, как тогда объяснить падение тел на Земле? Декарт считал Землю гигантской центрифугой, а «сила, с которой небесная материя, более легкая, стремится удалиться от центра Земли, не может иметь воздействия; если частицы небесной материи отдаляются, они не достигают некоторых земных участков, которые в то же время нисходят, пока не займут место, освобожденное частицами небесной материи». Ньютон защищал точку зрения, согласно которой планетам на орбитах для сохранения движения необходимо только притяжение к Солнцу, но не сила, двигающая вперед.

Хотя гипотеза о тождественности обеих сил была верной, Ньютон оставил ее из-за накладок в расчетах: он использовал неточные значения радиуса Земли, а также он не знал, что расстояния следует измерять от центров.

Если верить истории о яблоке, идея тяготения, применимая ко всей материи во Вселенной, уже полностью оформилась в голове Ньютона. Однако это очень далеко от реальности. Уэстфол написал по этому поводу:

«История популяризирует всемирное тяготение, как если бы это была блестящая идея. Но блестящая идея не может сформировать научную традицию. Всемирное тяготение не сдалось под первым натиском Ньютона. Ньютон сомневался и потерял нить рассуждения, приведенный в замешательство временными трудностями».

На самом деле, по косвенным свидетельствам, мы знаем, что в 1681 году Ньютон еще не говорил о том, что сила тяготения затрагивает все небесные тела. В то время он вел с королевским астрономом Джоном Флемстидом дискуссию о комете, которую можно было видеть на небе зимой в ноябре и декабре 1680 года. Флемстид предположил, что на самом деле это была одна и та же комета, которая в первый раз приближалась к Солнцу, а во второй – удалялась от него. В те времена считалось, что перемещение комет подчиняется законам, отличным от законов движения планет. Ньютон также не думал, что кометы притягиваются к Солнцу с силой, обратно пропорциональной квадрату расстояния, хотя и понял, что так происходит с планетами. Ученый сначала возражал Флемстиду, но когда в 1682 году вернулась комета, которая позже получила имя Галлея, к нему в первый раз пришла мысль, что это небесное явление тоже подчиняется эффекту тяготения.

После исследований 1666 года Ньютон на какое-то время потерял интерес к планетам, но вернулся к этой теме 13 лет спустя – в 1679-м, когда получил письмо от Гука с предложением возобновить их научную переписку после ссоры, разрыва и последующего примирения, произошедших несколькими годами ранее. Причиной конфликта стали первые публикации Ньютона о природе света и цвета. В одном письме Гук спрашивал Ньютона о его мнении по поводу орбит, по которым движутся планеты под воздействием инерции и притяжения к центральному телу, вокруг которого они вращаются. Ньютону это предположение Гука показалось крайне любопытным, и в итоге оно натолкнуло его на решение задачи о планетарном движении. Действительно, начиная с того момента он отверг мысль о стремлении планет отдалиться под влиянием центробежной силы, сформированную под влиянием Гюйгенса, и остановился на идее инерции и силы притяжения, направленной в центр орбиты, – центростремительной силе, как позже ее назовет сам Ньютон.

Обложка первого издания труда «Математические начала натуральной философии» 1687 года

и внутренняя страница экземпляра, принадлежавшего самому Ньютону, с его пометками, сделанными от руки

Аллегория на Ньютона (1795) Уильяма Блейка – знаменитое изображение ученого в роли землемера Вселенной.

Ученый ответил Гуку, что не желает вести никакой переписки, так как в этот момент его интересуют другие исследования, не касающиеся натурфилософии, которой он посвящает теперь только «несколько свободных часов в качестве развлечения». Ньютон имел в виду теологию и алхимию. Однако он согласился на предложение Гука провести эксперимент, доказывающий ежедневное вращение Земли вокруг своей оси. Ньютон поспешил с ответом, что привело к ошибке в расчетах, и Гук отправил ему свои исправления. Это привело к тому, что ученые продолжили обмениваться письмами. В одном из них Гук описал свой закон обратной пропорциональности квадрата расстояний при измерении силы притяжения тел – эту формулу Ньютон уже вывел, когда в первый раз изучал проблему в годы эпидемии чумы.

Вопрос Гука разбудил забытый было интерес Ньютона к проблеме движения планет. Возобновив занятия, он выяснил, что два первых закона Кеплера включают силы притяжения, обратно пропорциональные квадрату расстояния. Это и были те расчеты, о которых шла речь во время визита Эдмунда Галлея в августе 1684 года.

Переписка тем не менее привела к новому грандиозному конфликту между Гуком и Ньютоном. Ссора разразилась, когда Ньютон работал над «Математическими началами натуральной философии» – Гук обвинил ученого в плагиате. В результате Ньютон чуть не забросил свою ключевую работу и в порыве, говорящем о его злопамятном характере, удалил из финальной версии книги почти все упоминания о Гуке.

ОТ «ДВИЖЕНИЯ ТЕЛ ПО ОРБИТЕ» К «МАТЕМАТИЧЕСКИМ НАЧАЛАМ НАТУРАЛЬНОЙ ФИЛОСОФИИ»

Вернемся к событиям, произошедшим после визита Галлея в Кембридж в августе 1684 года. Ньютон просмотрел и дополнил свои расчеты и в ноябре 1684 года отправил Галлею небольшой трактат на девяти страницах под названием «Движение тел по орбите» (De motu corporum in gyrum). В нем ученый в общих чертах привел доказательство того, что траектория, которую создает сила притяжения, обратно пропорциональная квадрату расстояния, определяется в виде конического сечения и под действием скоростей ниже определенной границы является эллипсом. В работе также речь шла о взаимном воздействии, что, как мы знаем, Ньютон понял из письма Гука.

Это небольшое научное сочинение содержало зерно дальнейших исследований Ньютона в сфере динамики. В различных версиях работы увидели свет знаменитые законы Ньютона. Изначально их было пять, затем количество сократилось до трех, именно их мы и изучаем сегодня. Вот как звучат их формулировки, приведенные в «Математических началах натуральной философии».

– Первый закон: Всякое тело продолжает удерживаться в состоянии покоя или равномерного и прямолинейного движения, пока и поскольку оно не понуждается приложенными силами изменить это состояние.

– Второй закон: Изменение количества движения пропорционально приложенной движущей силе и происходит по направлению той прямой, по которой эта сила действует. (Изменение количества движения – это не что иное, как ускорение.)

– Третий закон: Действию всегда есть равное и противоположное противодействие, иначе, взаимодействия двух тел друг на друга равны и направлены в противоположные стороны.

Этот принцип иллюстрируется следующим рисунком: слева шар замедляется от своей начальной скорости до нуля; тогда шар справа ускоряется от нуля до скорости, которую развил шар слева.

После этого были обобщены фундаментальные физические понятия, такие как абсолютные пространство и время или понятие массы: «Количество материи (масса) есть мера таковой, устанавливаемая пропорционально плотности и объему ее. Воздуха двойной плотности в двойном объеме вчетверо больше, в тройном – вшестеро. Это же количество я подразумеваю в дальнейшем под названиями тело или масса». Понятие массы, отличающееся от веса, было фундаментальным для формулировки второго закона Ньютона о движении: сила равняется массе, умноженной на ускорение. Таким образом сформировались привычные нам физические термины, такие как центростремительная сила.

Благодаря приезду Галлея Ньютон подошел к изучению нескольких проблем, которые ранее уже привлекали его внимание, но пока не захватывали. Уэстфол написал: «С августа 1684-го до весны 1686 года его жизнь свелась к „Математическим принципам"».

Ассистент ученого описывает Ньютона тех лет целиком поглощенным своими исследованиями:

«Он был так сконцентрирован, так углублен в свои занятия, что забывал поесть. Он заходил в свою комнату, видел нетронутую тарелку, а когда я ему напоминал про обед, он отвечал: «А, да?» – и направлялся к столу, где съедал пару кусков, даже не присаживаясь. В редких случаях, когда он вдруг решал поужинать в гостиной, он сворачивал налево и выходил на улицу; там он останавливался, поняв свою ошибку, и быстро возвращался, но потом нередко вместо того, чтобы пройти в гостиную, шел в свою комнату. Прогуливаясь по саду, он мог внезапно остановиться, развернуться и, взбежав по лестнице наверх, как Архимед со своей «Эврикой!», броситься к столу, где начинал что-то писать, даже не задумавшись о том, чтобы пододвинуть стул и сесть».

Когда приехал Галлей, Ньютон занимался первыми версиями работы «О движении» и все более приходил к убеждению о всеобщности тяготения. Чтобы подтвердить свои расчеты, он запросил у Флемстида информацию об орбитах спутников Юпитера, а также об орбитах Юпитера и Сатурна в момент их схождения, когда обе планеты находятся ближе всего друг к другу, чтобы попытаться определить пертурбации на их орбитах, вызванные взаимным притйжением планет. Он также запросил данные о приливах и отливах на Темзе, так как в его голове уже начинала оформляться мысль о том, что гравитация вызывает и периодические колебания уровня морей и океанов.

Небольшой трактат, который Ньютон выслал Галлею, дополнялся и дополнялся новыми положениями по мере того, как ученый уточнял формулировки. Так почти за год «Движение тел по орбите» (De motu corporum in gyrum) из сочинения на девяти страницах превратилось в двухтомник. Его название, напротив, сократилось до «Движения тел» (De motu corporum). В этой книге уже содержалось одно из главных открытий Ньютона: расстояния для расчета силы притяжения между сферическими телами следует измерять из их центральных точек. В это, как признавал сам ученый, было сложно поверить, но математические доказательства не оставляли сомнений. «Без моих доказательств ни один здравомыслящий философ не сможет этого признать», – написал он Галлею в 1686 году. В этой гипотезе расчеты, которые он сделал, чтобы определить силы тяготения, воздействующие со стороны Земли на яблоко и Луну, поразительным образом совпадали.

КТО ЗАПЛАТИЛ ЗА ПУБЛИКАЦИЮ «МАТЕМАТИЧЕСКИХ НАЧАЛ»

Весной 1686 года в Королевское общество пришло прошение о публикации книги Исаака Ньютона под названием Philosophiae naturalis principia mathematica («Математические начала натуральной философии»). 19 мая, по настоянию Галлея, на встрече общества публикация книги была одобрена. Нужно сказать, что выражение «натуральная философия» означает примерно то, что сегодня мы скорее назовем физикой, а слова «математические начала» подчеркивают решение Ньютона использовать язык и возможности математики для объяснения физических явлений. Во введении к книге III «Математических начал натуральной философии» читаем:

«В предыдущих книгах я изложил начала философии, не столько чисто философские, поскольку математические, однако такие, что на них могут быть обоснованы рассуждения о вопросах физических. Таковы законы и условия движений и сил, имеющие прямое отношение к физике… Остается изложить, исходя из тех же начал, учение о строении системы мира»[ 1 Перевод А. Н. Крылова. – Примеч. ред.].

Как написал научный историк Хосе Мануэль Санчес Рон, «существует другой аспект „Математических начал натуральной философии", который следует выделить: это высший пример того, что может называться методом Ньютона. И сам ученый завещал нам в этом труде – в других трудах тоже, но в этом особенно, – то, что составляет сущность современного научного метода: создание простых математических моделей, которые сравниваются с природными явлениями, и в результате этого возникают новые версии, более сложные по сравнению с предыдущими. Благодаря Ньютону математика по-настоящему вросла в физическую теорию».

Через две недели после подтверждения публикации книги совет Королевского общества улаживал щекотливый вопрос, связанный с оплатой расходов: «Было решено, что книга господина Ньютона будет опубликована и что господин Галлей возьмет на себя все связанные с публикацией вопросы, в частности понесет все расходы, что он и согласился сделать». Это решение обернулось для Галлея не одной бессонной ночью. С одной стороны, его экономическое положение на тот момент было не таким уж благополучным: Галлей жил в то время на более чем скромную зарплату ассистента в Королевском обществе. С другой стороны, он еще не знал точного размера и содержания «Математических начал натуральной философии», так как они очень быстро переросли рамки маленького трактата «О движении тел».

ТРЕБОВАНИЯ ГУКА

В процесс написания «Математических начал натуральной философии» вмешалось происшествие другого рода, которое едва не стоило Ньютону части книги. Роберт Гук узнал, что Ньютон использует в своем труде значение гравитационного притяжения (притяжение между двумя телами обратно пропорционально квадрату расстояния между их центрами), и мгновенно заявил свои права на эту формулировку.

Вначале Ньютон ограничился сообщением Галлею, что открыл теорию притяжения, обратно пропорционального квадрату расстояний, до того как Гук в 1679 году обнародовал свою гипотезу. Но вскоре гнев Ньютона начал расти, и через несколько недель он сказал Галлею, что исключит из «Математических начал натуральной философии» третью часть, посвященную системе мира.

Ньютон по отношению к Гуку становился все язвительнее: «Скажи, красиво ли это? – жаловался Ньютон Галлею. – Математики, которые исследуют, кропотливо собирают по крупицам и делают всю работу, должны смириться с тем, что они лишь подневольные счетоводы, а тот, кто ничего не сделал, а лишь имеет притязания и жадно хватается за все, что может, требует тех же прав на изобретение, как и те, кто его совершил первым».

Безусловно, ситуация была тревожной, ведь Галлей знал, что Гук не просто претендовал на благодарность: он обвинял Ньютона в плагиате. На официальных собраниях Королевского общества он еще сдерживался, но во время неформальных встреч, которые проводились в кафе, давал волю языку.

Философия – дама с таким дерзким и неоднозначным характером, что для мужчины обращаться с нею – как вести судебные тяжбы. Я давно это понял и сейчас, приближаясь к ней, слышу предостережение.

Ньютон во время спора с Робертом Гуком

Ярость Ньютона накипала, и он начал вымарывать имя Гука из текста: он вычеркнул ссылку на Гука, где признавался его приоритет, концепцию тяготения Гука во втором разделе и наблюдение Clarissimus Hookius («Славнейшего Гука») в дискуссии о кометах. В конце концов и к радости Галлея, осознав, с каким восторгом английское научное сообщество ждет выхода в свет этой книги, Ньютон подумал: лучшее, что он может сделать, чтобы задеть Гука, – это опубликовать третий том «Математических начал натуральной философии» в полном объеме.

СОДЕРЖАНИЕ «МАТЕМАТИЧЕСКИХ НАЧАЛ НАТУРАЛЬНОЙ ФИЛОСОФИИ»

5 июля 1687 года Галлей сообщил Ньютону, что подготовка к печати «Математических начал натуральной философии» завершена. Печатная версия представляла собой три тома, где, среди прочего, излагались три физических закона Ньютона. Какими были основные идеи, описанные в труде?

В первой книге излагаются три закона Ньютона о движении тел. Также определяются и проясняются фундаментальные концепции, такие как центростремительная сила – сила, которая при движении по круговой траектории притягивает тело к центру, в отличие от центробежной силы – термина, который использовал Гюйгенс для представления идеи отдаления от центра. Также Ньютон ввел в научную терминологию понятие массы, то есть количества материи, пропорционального плотности и объему тела.

Вторая книга – это трактат о механике жидкостей и воздействии трения на движение твердых тел в жидкой среде. Ученый пришел к мнению, что, например, сопротивление меняется пропорционально квадрату скорости. Книга исследует движение при сопротивлении среды и являет собой беспощадную критику декартовой теории вихрей. В финальной части Ньютон опровергает существование вихрей, с помощью которых Декарт объяснял движение планет. Он доказывает, что пространство должно быть свободно от трения любого вида, и хотя это может показаться противоестественным, существуют силы, способные действовать на расстоянии. Причину этого, по мнению Ньютона, следует искать в первом томе его книги и, более подробно, – в третьем.

В третьем томе, «Система мира», рассчитываются движения небесных тел в среде, где отсутствует сопротивление, описанное в первом томе. В третьей книге Ньютон заключает, что причиной движения планет, а также спутников и комет, приливов и отливов является сила тяготения, которая распространяется на все тела пропорционально количеству материи, которой они обладают. Без сомнений, это самая важная мысль труда, которую сам ученый назвал законом всемирного тяготения.

Таким образом, третий том «Математических начал натуральной философии» демонстрирует, как работают в физическом мире законы движения, описанные в первой книге. С помощью нескольких законов Ньютон связал Землю со всеми небесными явлениями.

В «Системе мира» центростремительная сила, удерживающая планеты на эллиптических орбитах, отождествляется с тяготением; как следствие, Луну на ее орбите удерживает та же сила, которая заставляет тела падать на поверхность Земли. В этой модели гравитационные силы всегда притягивающие; и действительно, отталкивающая сила, такая как центробежная, не могла бы создавать замкнутые орбиты, а тем более заставить яблоко упасть на землю. Кроме того, тяготение является всеобщим: все тела во Вселенной притягиваются друг к другу с силой, пропорциональной их массам и обратно пропорциональной квадрату расстояний. В связи с тем что этот закон включает законы планетарного движения Кеплера, можно сделать вывод, что этим принципам подчиняется и движение спутников вокруг планет, и движение комет вокруг Солнца, и возмущения, вызванные всеохватывающим действием гравитационного притяжения.

Ньютон изучал возмущения на примере движения Луны: «Мы наконец-то узнали, – написал Галлей в своей оде Ньютону, которая стала вступлением к первому изданию «Математических начал натуральной философии», – почему в другие времена казалось, что Луна движется неравномерными шагами, как будто смеется над нами, не позволяя рассчитать свой ход, до сих пор покрытый тайной для астрономов». Однако Галлей преувеличивал, потому что ньютоновское исследование лунной орбиты было недостаточно удовлетворительным; кроме того, необходимость сравнить теоретические прогнозы с результатами наблюдений стала причиной дискуссии Ньютона с королевским астрономом Джоном Флемстидом.

В «Системе мира» речь шла о разных вопросах, среди которых – теория приливов и отливов как результата гравитационного воздействия Солнца и Луны на Мировой океан, рассуждения о форме планет, обязательно приплюснутых на полюсах. Это предположение Ньютона имело разные последствия. С одной стороны, теории Декарта уверяли в противоположном: планеты должны были удлиняться по направлению к полюсам. Вопрос можно было решить, измерив соответствующие дуги меридиана у одного из полюсов и на экваторе, и это доказательство было, безусловно, областью большого научного интереса, так как оно могло исключить одну из двух самых важных теорий того времени. В итоге Парижская академия наук решилась на рискованное предприятие: в начале XVIII века были снаряжены две экспедиции (одна в Лапландию, другая – в Перу), чтобы измерить дугу меридиана. На это потребовались годы, но в результате было установлено, что Земля приплюснута на полюсах. Это стало окончательным триумфом ньютоновской системы над декартовой.

Сила притяжения между двумя телами, разделенными расстоянием, пропорциональна обеим массам и обратно пропорциональна квадрату расстояния между ними.

Закон всемирного тяготения, описанный в третьем томе ««Математических начал натуральной философии»

Кроме того, растянутость Земли у экватора позволила Ньютону объяснить один из самых таинственных астрономических феноменов, обнаруженный еще греческими учеными. Речь идет о предварении равноденствий, то есть медленном смещении полюса мира по отношению к звездам, и прохождении окружности с периодом почти 26 ООО лет. В древней геоцентрической концепции Вселенной полюс мира – это точка, в которой звездная сфера срезана по оси, перпендикулярной плоскости эклиптики и проходящей через центр Земли; в гелиоцентрической концепции предварение равноденствий – это небольшой поворот оси вращения Земли с периодом 26 000 лет.

Несмотря на кажущуюся незначительность, этот феномен, открытие которого приписывается греческому астроному Гиппарху (II век до н.э.), имеет фундаментальное значение для составления календарей, поскольку определяет длительность года. Предварение равноденствий не влияет на эклиптику и не воздействует на длительность сидерического года, то есть отрезка времени, за который Солнце проходит эклиптику, однако оно влияет на небесный экватор и, таким образом, на равноденствия – точки, когда эклиптика пересекает небесный экватор.

В течение периода прецессии – этих 26 ООО лет – каждое равноденствие медленно перемещается над эклиптикой из расчета полтора градуса каждые сто лет; таким образом, меняется время, которое требуется Солнцу, чтобы пройти от одного весеннего равноденствия до другого – этот период называется тропическим годом. В результате тропический год примерно на 20 минут короче сидерического и его сложнее измерить. Накопление этих 20 минут, не учтенных в юлианском календаре, и привело к необходимости реформы, которую осуществила католическая церковь в XVI веке.

Исламские ученые смогли описать предварение равноденствий, добавив к системе, составленной Птолемеем, новую сферу, но ни одна теория не была способна объяснить причины этого явления. Ньютон нашел ключ к разгадке в «Математических началах натуральной философии». Его объяснение было верным, хоть и немного несовершенным: в результате гравитационного притяжения Солнца и Луны земная ось смещается, описывая конус с периодом примерно 26 000 лет [2 По современным данным, этот период составляет 25 800 лет. – Примеч. ред.]; поворот земной оси смещает и связанную с Землей экваториальную систему небесных координат примерно на 50м в год относительно неподвижных звезд. Из этих 50” Ньютон 9” объяснил влиянием Солнца и 41” – влиянием Луны. Для Джорджа Эйри (1801- 1892), Лукасовского профессора в Кэмбридже и королевского астронома в Гринвиче, самым удивительным в труде Ньютона было именно объяснение предварения равноденствий: «Если бы нужно было выбрать часть из „Математических начал натуральной философии", которая более всего удивила, восхитила и угодила читателям, я бы без сомнения назвал толкование предварения равноденствий».

Начальная цена «Математических начал» в первом издании, выпущенном тиражом примерно 400 экземпляров, составила девять шиллингов. Однако маленький тираж быстро разошелся, и в начале XVIII века некоторые экземпляры продавались за более чем два фунта. При жизни Ньютона книга была переиздана еще два раза, и с каждым изданием в нее вносились изменения. Тираж второго издания в 1713 году составил примерно 750 экземпляров (выпуском руководил Роджер Коте), а тираж третьего в 1726-м – приблизительно 1250 экземпляров (изданием руководил Генри Пембертон).

Словно юла, теряющая скорость, Земля медленно и постепенно меняет свою ось вращения в течение периода продолжительностью приблизительно 26 000 лет. Предварение равноденствия происходит из-за гравитационного воздействия Солнца и Луны на экватор. Оно не сказывается на продолжительности сидерического года, но влияет на равноденствия. На иллюстрации внизу изображены равноденствия и полюса мира.

ПРИРОДА ГРАВИТАЦИИ

Распространение «Математических начал натуральной философии» вызвало восхищение Ньютоном в научном мире, но и послужило почвой для критики. Приверженцы механицизма заявляли, что абсурдно утверждать, будто тяготение может действовать на расстоянии. По их мнению, это толкование роднило силу тяготения с анимизмом и сближало теорию Ньютона с точкой зрения Аристотеля и схоластов. Гюйгенс и Лейбниц, особенно последний, тоже критиковали Ньютона. Лейбниц рассуждал в письме от 1715 года:

«Если любое тело имеет вес, то следует – что бы ни говорили его сторонники, хотя бы и страстно отрицали это, – что тяготение будет оккультным схоластическим свойством или, более того, чудесной силой. Недостаточно сказать: „Бог создал закон природы, поэтому это естественно". Необходимо, чтобы закон мог объяснить природу созданных вещей. Если, например, Бог дал свободному телу закон вращаться вокруг некоего центра, он должен был соединить это тело с другими, которые при помощи своего импульса держали бы тело на круглой орбите, или поместить его под стопы ангела. Я всем существом поддерживаю экспериментальную философию, но господин Ньютон сильно от нее отдалился, заявляя, что любая материя имеет вес – или что каждая часть материи притягивает другую, и, конечно, это не доказано экспериментально».

Ньютон понимал, что не может объяснить причину притяжения, поэтому защищался единственным возможным способом, взывая к тому, что опирался на вычисления и вероятные значения. Так, в первом издании «Математических начал натуральной философии» он пишет: «Здесь я использую общее слово „притяжение" для любого усилия, которое делают тела, чтобы приблизиться одно к другому; будь это усилие происходящим от действия этих же тел или стремления друг к другу или будь оно следствием действия эфира, или воздуха, или любого другого телесного и бестелесного средства, которое любым способом толкает одни тела к другим. В этом же общем смысле я использую слово „импульс". И я не определяю в этой книге типы или физические качества этих сил, но исследую их количества и математические пропорции». И далее приводит аргумент: «Наша единственная цель – понять количество и свойства этой силы по отношению к явлениям и применить наши открытия к некоторым простым случаям в качестве принципов, чтобы затем можно было оценивать математически воздействие, которое произойдет в более сложных случаях. Мы говорим „математически", чтобы избежать вопроса о природе или качестве этой силы, ибо не в наших намерениях заключать ее в рамки какой-либо гипотезы».

Все это было пропитано той же утилитарной философией, которая проступает в значительной части «Общих схолий» – комментариев, добавленных во второе издание труда: «Но я еще не мог раскрыть, основываясь на явлениях, причину этих свойств притяжения, и я не выдумываю гипотез. Потому что то, что нельзя вывести из феномена, должно называться гипотезой, а гипотезам либо метафизическим, либо физическим, либо оккультных свойств, либо механическим нет места в экспериментальной философии […]. И довольно того, что притяжение существует и действует по законам, истолкованным нами, и является достаточным для всех движений небесных тел и земного океана».

ЗАДАЧА ТРЕХ ТЕЛ

Определить траекторию трех тел, взаимодействующих по закону гравитационного притяжения, – Солнца, Земли и Луны – задача гораздо более сложная, чем когда рассчитывается взаимное движение только двух тел: планеты и Солнца. На самом деле все еще не существует точного решения этой задачи; расчеты оставались крайне сложными вплоть до середины XVIII века, когда математики нашли достаточно удовлетворительные методы для приближенных вычислений. Ньютон остался недоволен тем, как этот вопрос раскрыт в его работе «Математические начала натуральной философии», и годы спустя вернулся к нему, хотя и не сделал значительных прорывов. Ученый признался по этому поводу: «Никогда у меня так не болела голова, как когда я занимался изучением Луны».

Ньютон настаивал на том, что его интересует не сущность притяжения, а его эффекты. Чтобы проиллюстрировать это, приведем точку зрения ученого, описанную в письме Ричарду Бентли в 1693 году:

«Непостижимо, что чистая неодушевленная материя взаимодействует и влияет без посредничества чего-либо, что является материальным, на другую материю без взаимного контакта, как должно было бы быть, если бы притяжение (в значении Эпикура) было бы основным и неотъемлемым для этой материи. И это одна из причин, по которым я выразил Вам свое желание, чтобы Вы не приписывали мне врожденное тяготение. Чтобы притяжение было врожденным, неотъемлемым и существенным в материи, так что тело могло бы воздействовать на другое тело на расстоянии через вакуум, без того, чтобы вмешивалось что-то, через что действие или сила могут передаваться от одного к другому, мне кажется таким огромным абсурдом, что я не верю, что подобное могло бы прийти в голову кому-либо сведущему в философских вопросах. Причиной притяжения должен быть посредник, действующий в соответствии с определенными законами, но является ли он материальным или нематериальным – вопрос, который я оставляю для размышлений моим читателям».

ИСПОЛЬЗОВАНИЕ МАТЕМАТИЧЕСКОГО ЯЗЫКА

Тот, кто сегодня начнет читать «Математические начала натуральной философии», удивится, не найдя в них и следа анализа бесконечно малых – великого математического изобретения Ньютона, которому посвящена значительная часть следующей главы. Для описания математических размышлений в своем труде ученый предпочел язык синтетической геометрии. Английский гений часто говорил, что использовал вычисления для большей части данных, приведенных в «Математических началах натуральной философии», хотя и представлял их затем на гораздо более строгом языке геометрии. Возможно, Ньютон и утверждал подобное, но документальных доказательств этому нет.

«Математические начала натуральной философии» появились после того, как Ньютон отверг новую аналитическую геометрию и обратился к идеям греков в области синтетической геометрии. Это превращение не может не удивлять, если знать, что вначале Ньютон изучал Декарта, а не Евклида, и с помощью декартовой геометрии обосновал свои расчеты со всей алгоритмической мощью. Между тем так все и было. Начиная с 1680 года Ньютон начал серию работ о синтетической геометрии, которую завершил к 1693 году попытками реставрировать греческие геометрические методы. Эти работы так и остались неопубликованными. Другая возможная причина отсутствия алгебраических расчетов состоит в том, что ученый, приступая к написанию «Математических начал натуральной философии», подумал: если он представит свои мысли на этом новом и недостаточно распространенном языке, понять написанное смогут немногие.

ЗА ПРЕДЕЛАМИ «МАТЕМАТИЧЕСКИХ НАЧАЛ»

Чтобы принять всерьез научную теорию, необходимо, чтобы она была согласована с наблюдениями, доступными в момент ее разработки, и объясняла самые важные явления. Так как три закона Кеплера выводились из теории гравитации и согласовывались с результатами наблюдений за небесными телами, теория Ньютона, описанная в «Математических началах натуральной философии», переступила через незыблемое научное правило: соответствовать имеющимся данным.

Однако успех физической теории определяется точностью прогнозов, которые она позволяет сделать. Математическая формула всемирного тяготения в виде уравнений позволила делать прогнозы, и экспериментальное подтверждение подняло ее научную состоятельность. Теория гравитации была подтверждена в течение следующих двух веков, и некоторые сюжеты этого триумфа были весьма впечатляющими.

Два таких момента произошли почти одновременно в середине XVIII века. С одной стороны, крупные французские экспедиции в Лапландию и Перу подтвердили предсказание Ньютона о том, что Земля сплюснута у полюсов. С другой стороны, появились лунные таблицы, разработанные немецким астрономом Тобиасом Майером на основании теории тяготения Ньютона и расчетов швейцарского математика Леонарда Эйлера (1753). Английское адмиралтейство было готово заплатить немалую сумму, чтобы помочь своим кораблям определять положение в море.

Однако теорию гравитации ожидали гораздо более сложные испытания, так как каждое открытое тело в Солнечной системе означало новый вызов: следовало доказать, что наблюдаемая траектория совпадает с теоретической. В течение полутора веков после публикации «Математических начал» было обнаружено немало небесных тел. Среди них – планета Уран, открытая Уильямом Гершелем в марте 1781-го, и пояс астероидов между Марсом и Юпитером. Расчетные орбиты этих тел соответствовали наблюдаемым. Каждое совпадение вело к новым успехам, а сама теория завоевывала все большее доверие. Однако наиболее потрясающее ее достижение состояло в том, что исключительно с помощью теоретических выкладок и математических уравнений гравитации удалось предсказать и обнаружить новую планету дальше Урана.

Открытию Нептуна предшествовала угроза провала: по мере того как шли годы после открытия Урана, планета демонстрировала четкую тенденцию к отклонению от орбиты, которую ей приписывали законы Ньютона. Приблизительно в 1790 году с некоторой точностью был намечен путь, по которому должен был следовать Уран, учитывая силу, с которой его притягивало Солнце, и воздействие других планет, в основном Юпитера и Сатурна. В связи с отдаленностью от Солнца Уран имеет очень маленькую угловую скорость – ему нужно более 84 лет, чтобы совершить один оборот; его медленное перемещение и стало причиной того, что только в 1800 году было замечено: Уран отклоняется от орбиты. В расчеты вносились уточнения, которые Уран снова нарушал. В начале 1830-х годов отклонение Урана стало настолько угрожающим, что ученые пришли к выводу: либо он не подчиняется закону тяготения, либо существует нечто, препятствующее выполнению закона. Кто-то выдвинул предположение, что этой помехой может быть планета, расположенная дальше Урана, которая влияет на его орбиту; другие считали, что если бы эта планета существовала, ее уже давно локализовали бы при помощи математических расчетов. Словом, появилась задача определить размер и местоположение объекта, способного воздействовать таким образом на орбиту Урана. Независимо друг от друга необходимые расчеты сделали два астронома: француз Урбен Леверье (1811-1877) и англичанин Джон Адамс (1819-1892). Несмотря на несовершенство астрономических обсерваторий, где они проводили свои исследования, оба попали в цель, и, благодаря настойчивости Леверье, работавшего над проблемой в Берлинской обсерватории, сентябрьской ночью 1846 года была открыта планета, из-за которой смещается орбита Урана. Новая планета получила название Нептун.

ЛУННЫЕ ТАБЛИЦЫ МАЙЕРА

Если изучение движения Луны представляло собой проблему, то новая небесная механика, возникшая после открытия Ньютоном закона всемирного тяготения, обещала наконец ее решить. Однако необходимые математические методы еще были в состоянии разработки. Первые теоретические результаты появились в середине XVIII века благодаря швейцарскому математику Леонарду Эйлеру, который свел движения Солнца, Земли и Луны к серии изящных уравнений.

Немногим позже в Гёттингене немецкий астроном Тобиас Майер (на иллюстрации) объединил результаты своих наблюдений и наблюдений Джеймса Брэдли – последователя Галлея на посту королевского астронома – с теоретическими выводами, чтобы составить первые таблицы положений Луны и Солнца, необходимые для навигации. Таблицы в 1755 году были представлены Адмиралтейству Англии и получили премию, предложенную за решение задачи по определению долготы в море. Двумя годами позже таблицы Майера были опробованы английским капитаном Джоном Кэмпбеллом в море, на борту «Эссекса»: они позволили определить долготу в море с точностью в полградуса.

ЭЙНШТЕЙН ОСПАРИВАЕТ НЬЮТОНА

Открытие Нептуна стало очередным подтверждением закона гравитации Ньютона. И хотя в Солнечной системе были и другие отклонения, в середине XIX века многие считали, что все их можно объяснить с помощью теории Ньютона.

Самое важное из этих отклонений было связано с перигелием Меркурия – самой ближней к Солнцу точкой на его орбите, которая каждый год немного перемещалась вокруг Солнца, вызывая смещение целой орбиты. Проблема, как объявил Леверье, состояла в том, что это смещение происходило быстрее, чем требует теория гравитации.

И наконец, этот «непорядок» мог бы означать, что хотя теория гравитации Ньютона объясняет устройство Солнечной системы, на самом деле в ней есть ошибки. Пространство Ньютона – это своего рода вместилище планет и звезд, которые двигаются в соответствии с законом гравитации. По Ньютону, пространство абсолютно, и тела, существующие в нем, не могут его изменить, как не могут сделать этого по отношению ко времени, которое также абсолютно и течет везде в одинаковом безвозвратном ритме. Однако окружающая нас Вселенная сложнее, чем представлял Ньютон.

Теория относительности Альберта Эйнштейна (1905) предложила идею неразрывно связанных времени и пространства. Время, масса, скорость относительны, и эти признаки меняются, если мы будем двигаться со скоростями, сравнимыми со скоростью света.

С другой стороны, общая теория относительности (1915) говорит нам, что пространство меняется под воздействием того, что в нем находится, что небесные тела изгибают его в зависимости от своей массы; например Солнце воздействует на пространство сильнее, чем Земля или Луна. Во время своей поездки в Соединенные Штаты в 1921 году сам Эйнштейн так объяснил свою идею толпе журналистов, которые попросили кратко рассказать, что такое общая теория относительности:

«Если вы не примете мой ответ слишком всерьез, а посчитаете его наполовину шуткой, я могу вам сказать, что раньше люди верили в то, что если все материальные тела в один момент исчезнут из Вселенной, время и пространство в ней останутся. Согласно моей теории относительности, напротив, время и пространство исчезнут, как только исчезнут тела».

Общая теория относительности идеально объясняет, что происходит с Меркурием. Если тело в Солнечной системе движется не слишком быстро и на достаточном отдалении от крупной массы, законы Ньютона описывают его движение с великолепной точностью, а если и существует определенная погрешность, то она не фиксируется нашими измерительными приборами. Но Меркурий, приближаясь к своему перигелию, двигается слишком быстро, гораздо быстрее, чем другие планеты, и находится очень близко к Солнцу, поэтому его орбита выявляет ограничения закона тяготения Ньютона. Мы знаем, что Эйнштейн был более озабочен тем, чтобы объяснить явления, а не исправлять недочеты существующих физических теорий, будь то теория гравитации или движения эфира, хотя он и считал, что его идеи могут объяснить то, что идеи Ньютона объяснить не могли.

Эйнштейн испытал огромную радость, поняв, что его теория объясняла изменения орбиты Меркурия: «Я три дня был вне себя от радости». По словам Абрахама Пайса, одного из биографов Эйнштейна, его успех с перигелием Меркурия стал «самым сильным эмоциональным потрясением в научной жизни Эйнштейна, а может, и во всей его жизни. Природа заговорила с ним, и он знал это. „Я чувствовал, как меня переполняет радость". После ученый сказал другу, что его открытие вызвало у него сильную дрожь по всему телу. Или еще более глубокое переживание, которым он поделился с другим своим другом: когда Эйнштейн увидел, что его расчеты совпадают с астрономическими наблюдениями, которые нужно было объяснить, ему показалось, что что-то надорвалось внутри».

Я занят работой над релятивистской теорией гравитации, при помощи которой надеюсь понять вековое необъяснимое изменение в движении перигелия Меркурия.

Слова Эйнштейна в 1907 году

Тот факт, что Эйнштейн, в качестве доказательства своих теорий, не один раз подчеркивал, что они основаны на подходе Ньютона, лишний раз говорит о том авторитете, которым пользовалась теория гравитации Ньютона в XX веке. Во введении к одной из своих работ 1916 года, которая подробно рассказывала об общей теории относительности, Эйнштейн писал:

«Посредством этих уравнений, которые от условий общей теории относительности следуют методом чистой математики, получаем в первом приближении теорию тяготения Ньютона и во втором – объяснение движения перигелия планеты Меркурий, открытого Леверье. Эти факты должны, по моему мнению, считаться убедительными доказательствами теории».

Переход от теории тяготения Ньютона к теории относительности Эйнштейна не был таким же революционным, как переход от птолемеевой астрономии к астрономии Коперника. Как говорил Эйнштейн, гравитация Ньютона – это хорошее приближение к пониманию Вселенной, которая нас окружает. В действительности же речь идет об отличном приближении, если ограничиться Солнечной системой, на знаниях о которой построил Ньютон свою теорию. Это приближение настолько эффективно, что и по сей день мы используем его для описания траекторий искусственных спутников и космических кораблей или в расчетах сопротивления при строительстве подвесных мостов.

Когда Эйнштейн представил свою общую теорию относительности в 1915 году, она была не более чем объяснением космоса, полученным с помощью математических расчетов, начиная с физического принципа эквивалентности: силы гравитационного взаимодействия пропорциональны массе тела. В этот момент общая теория относительности имела не слишком прочную опору: да, в ее основе лежала теория тяготения Ньютона, и да, новая теория объясняла отклонение перигелия Меркурия, но это было достаточно скудной поддержкой для идеи, которой суждено было произвести революцию в научном мире. Кроме этого, можно было опираться на состоятельность Эйнштейна как ученого, однако этот аргумент не является научным.

Подтверждение общей теории относительности произошло благодаря тому, что ее прогнозы подтверждались экспериментально. Один из таких прогнозов устанавливает, что свет искривляется под воздействием гравитационного поля, или, иначе говоря, наличие материи искривляет пространство, и в этом искривленном пространстве углы в треугольниках, например, в сумме уже не составляют 180 градусов. Физические принципы и математический подход к этим принципам позволили Эйнштейну рассчитать искривление, вызванное воздействием массы Солнца на лучи света, посылаемые дальними звездами. В конце весны 1919 года англичане отправили в Гвинейский залив экспедицию во главе с Артуром С. Эддингтоном для наблюдения за полным солнечным затмением. После нескольких месяцев расчетов и проверок 6 ноября 1919 года Эддингтон пришел к заключению, что оценки Эйнштейна совпадают с наблюдениями. Газета Times вышла на следующий день со звучным заголовком: «Революция в науке: новая теория Вселенной низвергает идеи Ньютона». Это превратило Эйнштейна, до того дня известного лишь в научных кругах, в популярную фигуру, равную по масштабу английскому ученому, которого он «низверг».

Новость, однако, имела неоспоримый политический налет: прошел год после окончания Первой мировой войны, и лондонская Times «низвергла» Ньютона, самого восхваляемого из всех английских ученых, в пользу немца Эйнштейна. Конечно, Эйнштейн родился в Германии, был членом Прусской академии наук, однако сами немцы своим его не считали. В 1901 году он получил швейцарское гражданство и решительно стоял на позициях пацифизма во время войны. В 1918 году он писал: «По рождению я еврей, по гражданству – швейцарец, а по образу мыслей я человек, и только человек, без привязанности к какому-либо государству или национальному сообществу». Многое было сказано о том, был ли Эддингтон полностью объективен в своих выводах; неспроста же он заявил: «Это лучшее, что могло случиться для научных отношений между Англией и Германией». Но все эти подробности лишь подчеркивают политическую остроту новости.

Нечасто случается, что наука входит в сферу политики, и тот факт, что причиной этому стали работы и личность Ньютона – ученого, которого не было в живых уже почти 200 лет, – лишний раз говорит о его авторитете.

ГЛАВА 3 Математик и маг

Достижения Ньютона в математике известны меньше его работ по физике, однако они также достойны уважения. Самое значительное из них – анализ бесконечно малых, идея, появившаяся во время его первых лет в Кембридже. А помимо математики и физики, ученого крайне увлекали алхимия и толкование Библии.

Ньютон приехал в Кембридж в начале лета 1661 года, и там началось его научное образование. В то время программа обучения в университете веками не менялась и опиралась на аристотелеву модель. Так что Кембридж нельзя было назвать площадкой научного новаторства, однако там были очень хорошие библиотеки.

Таким образом, своим образованием Ньютон обязан не столько лекциям, сколько научным книгам и трактатам. Он довольно рано серьезно проштудировал «Геометрию» Декарта, впервые опубликованную в 1637 году как приложение к «Рассуждению о методе». Юноша начал с изучения первых десяти страниц. Он останавливался каждый раз, когда у него скапливалось определенное количество вопросов, и снова возвращался к началу. Этот цикл повторялся, пока Ньютон не приходил к полному пониманию изложенного, затем он двигался дальше, а когда после нескольких новых страниц у него вновь накапливалось непонимание, опять возвращался в начало. В конце концов, попытка за попыткой, Ньютон изучил это сложнейшее произведение французского философа.

Позже, во время создания анализа бесконечно малых, эти знания сослужили Ньютону отличную службу.

После трех лет, проведенных в Кембридже, Исаак вернулся в Вулсторп: университет был вынужден закрыться в связи с эпидемией чумы. Ньютон пробыл дома почти 20 месяцев в 1665 и 1666 годах. Это время стало исключительно плодотворным и даже получило определение anni mirabiles (год чудес) Ньютона: анализ бесконечно малых, механика, гравитация, теория цвета, разработка бинома, который теперь носит его имя, – и это далеко не все идеи, обдуманные в этот удивительный период.

БИНОМ НЬЮТОНА

В своем самом распространенном значении термин «бином» означает любое выражение, состоящее из двух слагаемых. Ньютон создал простую формулу в виде ряда, позволяющую рассчитать результат возведения любого бинома в степень. Согласно ей:

Например, возьмем m = 1 и n = 2. Формула позволяет извлечь квадратный корень из числа, основанный на бесконечном ряде:

С помощью приведенной выше формулы Ньютон смог разложить на слагаемые большую часть элементарных функций: обратных тригонометрических (арксинус, арккосинус и арктангенс) и тригонометрических (синус, косинус и тангенс); аналогичным образом он рассчитал логарифмические и экспоненциальные функции. Формула для расчета бинома, открытая, по словам самого Ньютона, в 1665 году, стала ключевым моментом в создании и последующем развитии анализа бесконечно малых.

АНАЛИЗ БЕСКОНЕЧНО МАЛЫХ

Из всех математических открытий Ньютона самым значительным и повлекшим огромное количество научных достижений стал, без сомнения, анализ бесконечно малых, хотя очень важны и другие его математические работы, например сделанные в сфере аналитической геометрии или вычислительной математики.

Достижения Ньютона и Лейбница были уточнены и дополнены последующими математиками, такими как Огюстен Луи Коши (1789-1857) или Карл Вейерштрасс (1815-1897), и легли в основу дифференциального и интегрального анализа – области математики, которая изучает количественное изменение так же, как геометрия изучает формы, и используется при решении огромного количества технических и физических задач.

Анализ бесконечно малых является самым мощным и эффективным инструментом, когда-либо созданным математиками, он состоит из двух разделов: дифференциального (его основное понятие – производная) и интегрального исчисления.

ПРОИЗВОДНАЯ

Производная – это фундаментальное понятие не только дифференциального исчисления или математики, но и всей науки в целом. Этот термин объединяет скорость или силу в физике, тангенс в геометрии…

В общих словах производная – это мера того, как изменяются значения функции в зависимости от значений, которые принимают ее переменные. Например, если у нас есть функция, описывающая положение объекта в каждое мгновение времени, то производная этой функции будет описывать, как меняется положение объекта в разные моменты времени (учитывая скорость объекта).

Рассмотрим две функции: с одной стороны – функция s, которая в каждый отрезок времени t определяет расстояние s(t), проходимое телом; с другой – функция v, которая в каждое мгновение времени t определяет скорость v(t), с которой тело движется. Рассмотрим следующее выражение: s(t) = sqrt(t) и v(t) = t² . Обе функции принимают значение 1 при t = 1: s(1) = 1 и v(1) = 1. Однако таблица значений показывает, что вблизи значения t = 1 функции изменяются по-разному.

t s(t) v(t)
0,8 0,8944 0,64
0,9 0,9486 0,81
1 1 1
1,1 1,0488 1,21
1,2 1,0954 1,44

Видно, что функция v меняется сильнее, чем функция s. Чтобы определить это изменение – то есть определить производную, – возьмем некоторое число а и число а + h и сравним, как изменяются разности ƒ(a + h) – ƒ(a), с одной стороны, и a + h – а = h, с другой стороны. Затем определим частное:

Используя формулы функций s(t) = sqrt(t) и v(t) = t² , определим значение частного при а = 1 и различных значениях h.

h s(1+h)-s(1)/h v(1+h)-v(1)/h
-0,01 0,5012 1,99
-0,001 0,5001 1,999
0,001 0,4998 2,001
0,01 0,4987 2,01

Результат для функции v близок к 2, в то время как для функции s – около 0,5, и это подтверждает данные первой таблицы, где мы заметили, что функция v менялась сильнее, чем функция s. Теперь нас интересует значение частного

при h = 0, то есть когда а + h совпадает с a. Это значение мы назовем производной ƒ в точке а и, вслед за математиком Жозефом Луи Лагранжем (1736-1813), обозначим его ƒ'(a). Как можно убедиться, результат вычислений будет равен 0/0, то есть не имеет смысла.

Однако этот результат лишь кажется абсурдным, поскольку, как показывает предыдущая таблица для наших функций s(t) = sqrt(t) и v(t) = t² , когда h – маленькое число, хотя и стремящееся к нулю, оба частных,

вполне имеют смысл и похожи на уже полученные значения: 0,5 для функции s(t) = sqrt(t), и 2 – для функции v(t) = t². Немного дальше мы увидим, что на самом деле эти значения совпадают с производными обеих функций в точке 1: s'(1) = 0,5, v’(l) = 2.

Однако деление на ноль, с которым столкнулись при вычислении производной ученые XVII века, представляло некоторую сложность, которая появлялась каждый раз, когда они пытались вычислить, например, касательную к кривой или мгновенную скорость при известном расстоянии, пройденном движущимся телом.

Следует иметь в виду, что до появления анализа бесконечно малых (а произошло это в конце XVII века) могли изучаться только самые простые виды движения: равномерное движение, при котором пройденное расстояние линейно зависит от времени, скорость постоянна и отсутствует ускорение, или равномерно ускоренное движение, когда пройденное расстояние пропорционально квадрату времени и, таким образом, скорость пропорциональна времени и постоянному ускорению.

Изучение последнего вида движения, которое наблюдается, например, при падении тела под воздействием силы тяготения, потребовало всех мыслительных способностей гениального Галилея, который вник в сущность явления за несколько десятилетий до того, как благодаря анализу бесконечно малых изучение этого типа движения стало относительно простым.

Вернемся к одному из наших примеров: тело в движении прошло расстояние s(t) = sqrt(t) за время t (время мы измеряем в секундах, а расстояние – в метрах). Расчет средней скорости, с которой двигается тело, – задача легкая: например, за период времени между 1 и 4 секундами средняя скорость будет равняться результату деления пройденного расстояния на затраченное время:

Средняя скорость

Но что произойдет, если вместо средней скорости за интервал времени мы захотим измерить мгновенную скорость, с которой движется тело в конкретный момент? Для простоты представим, что мы хотим измерить эту скорость именно в тот момент, когда наступает первая секунда движения. Для этого возьмем изменение времени h и посчитаем среднюю скорость между 1 и 1 + h.

Средняя скорость

Чтобы посчитать мгновенную скорость в первую секунду, достаточно приравнять h к нулю. Но тогда, как и ранее, мы получим не имеющий смысла результат:

Мгновенная скорость в момент времени 1 =

Это происходит потому, что мгновенная скорость соответствует значению производной функции, которая измеряет расстояние s(t) = sqrt(t) при t = 1.

Предыдущая таблица показывала, что значение этой производной должно быть 0,5. Теперь посмотрим как, используя предыдущее выражение, мы можем выполнить кажущееся бессмысленным деление на ноль и получить ожидаемое значение:

Средняя скорость

Далее умножаем числитель и знаменатель на sqrt(1+h) + 1 и сокращаем:

Средняя скорость

Если в этом выражении мы приравняем значение h к нулю, задача меняется, и при h = 0 отсутствует деление на ноль. Как и подсказывала таблица, частное при h = 0 составляет 0,5. В физических терминах это означает:

Мгновенная скорость в момент времени

Таким образом, от бессмысленного деления нуля на ноль мы пришли к заключению, что если тело проходит sqrt(t) метров за t секунд, то за 1 секунду оно движется со скоростью:

ИНТЕГРАЛ И ОСНОВНАЯ ТЕОРЕМА АНАЛИЗА

Другое базовое понятие анализа бесконечно малых – интеграл. Он применяется для измерения площади графика функции.

Пусть у нас есть функция ƒ, определенная между числами a и b, тогда интеграл . символ интегралbaƒ(t)dt есть площадь образованной функцией фигуры. Символ символ интеграл для записи интеграла ввел Лейбниц, он является стилизацией буквы s – первой буквы слова «сумма». Почему выбор Лейбница пал именно на нее, мы увидим позже.

РИС.1

Понятие интеграла гораздо более объемное, чем понятие площади. В математике его можно использовать, чтобы рассчитывать объем, длину или центр тяжести, а в физике он соответствует понятию работы: работа, необходимая, чтобы переместить тело, на которое воздействует сила ƒ, между положениями a и b, равна символ интегралbaƒ(t)dt.

Интеграл также необходим для расчета расстояния, пройденного телом, если известен закон его движения (скорость).

Производную и интеграл связывает основная теорема анализа, согласно которой интегрирование обратно дифференцированию. Ньютон называл анализ расчетом флюксий, а мы знаем его как дифференциальное исчисление – это название предложил Лейбниц, второй изобретатель анализа бесконечно малых. Ньютон же считал интегральный анализ обратным анализу флюксий и никогда не стремился дать ему собственное наименование.

Давайте проанализируем простую физическую задачу: какое расстояние прошло тело за 4 секунды от начала движения, если к t секундам оно двигается со скоростью t² метров в секунду? Это соответствует функции v(t) = t² , которую мы уже рассматривали, и ответ равен символ интегралbat²dt. Как рассчитывается этот интеграл? Исходя из понимания интеграла как площади, его значение соответствует площади, ограниченной участком функции, имеющим параболическую форму. Точное определение интеграла – если не обращаться к геометрическому пониманию площади – сложный вопрос.

Если мы посмотрим на рисунок 1, то убедимся, что площадь состоит из вертикальных сегментов длины/(Ј), где число t принимает все значения между a и b. Рисунок предполагает, что площадь – это сумма этих сегментов. Далее, эти сегменты, будучи отрезками прямой линии, имеют ширину 0, из-за чего кажется, что их сумма не сможет образовать никакой площади. И снова мы сталкиваемся с бесконечно малым значением ширины этих сегментов, которые требуется сложить. В записи, предложенной Лейбницем, появляется понимание площади, ограниченной кривой, как суммы бесконечно малых: в соответствии с рисунком 1 каждый сегмент графика имеет высоту ƒ(t) и, по Лейбницу, бесконечно малую ширину, которую мы записываем как dt. Площадь этих сегментов равна произведению основания на высоту, то есть ƒ{t)dt, а общая площадь, которую мы хотим вычислить, будет суммой произведений: символ интегралƒ(t)dt. Какое значение следовало придать этой сумме, Лейбниц и Ньютон – основатели анализа бесконечно малых – так и не объяснили.

Как мы уже говорили, анализ бесконечно малых связывает производную и интеграл, а согласно основной теореме анализа производные и интегралы являются обратными величинами. Точнее говоря, если мы хотим рассчитать интеграл символ интегралbaƒ(t)dt, то в соответствии с основной теоремой анализа достаточно вычислить функцию F такую, что F'(t) = ƒ(t) для каждого числа t между a и b; тогда символ интегралbaƒ(t)dt = F(b) – F(a). (Также нужно учесть дополнительное условие – неразрывность функции ƒ.)

Рассмотрим пример: основная теорема анализа делает вычисление символ интегралbat²dt довольно простым. Понятие интеграла крайне гибко, так как в зависимости от своей интерпретации он служит для расчета площади, ограниченной параболой или спиралью Архимеда, либо, как мы видели, расстояния, пройденного телом, которое двигается со скоростью v(t)=t² .

Используя основную теорему анализа бесконечно малых, достаточно найти функцию F, производная которой будет равна t². Общая форма производной функции вида ƒ(t)=t' равна ƒ(t)-ntn-1. Отсюда получается, что производная функции

равна t² , так как F'(t)=ntn-1 =3 * t²/3=t². Таким образом:

Как мы уже говорили, расстояние, пройденное за четыре секунды телом, движущимся в течение t секунд со скоростью t² м/с, дает интеграл символ интегралbat²dt ; таким образом, достаточно подставить в предыдущую формулу а = 0 и b = 4, чтобы получить

ОТЦЫ АНАЛИЗА

До последней трети XVII века в математическом европейском мире существовал ряд методов для решения абсолютно разных задач: нахождение касательных к кривым, расчет площадей, объемов и центров тяжести, задачи максимальных и минимальных значений и т.д., которые представляют собой зачаточный этап современного анализа. Однако специфика методов, разработанных в каждом конкретном случае для решения определенных задач, не позволяет говорить об общей теории.

ПРОИЗВОДНАЯ КАК КАСАТЕЛЬНАЯ К КРИВОЙ

Прямая (секущая) и кривая могут пересекаться в нескольких точках. Математически интересный случай – когда прямая касается кривой только в одной точке Р. Эта секущая будет называться касательной, а Р – точкой касания. Для случая с кривой у = ƒ (х) определим две точки α и α + h (h – произвольное значение), как показано на рисунке. Когда функция принимает значение ƒ (α), кривая пересекается двумя прямыми: секущей (S) и касательной (7). Секущая снова пересекает кривую в точке Q, которая соответствует значению ƒ (α + h).

Рассмотрим теперь углы: α, образованный секущей с осью ординат; и β, образованный касательной с той же осью. По мере того как а уменьшается и приближается к β, прямая S все больше приближается к Т. Этот процесс эквивалентен процессу уменьшения разницы между α и α + h, из-за чего по мере того, как h стремится к 0, наклон прямой S все больше приближается к наклону прямой Т. В пределе этого сближения наклон обеих прямых будет одинаковым и связанным с производной f в точке α. Так доказывается, что значение производной функции в точке – то же, что наклон касательной к этой функции в указанной точке. Математически это выглядит так:

КАВАЛЬЕРИ И РОЖДЕНИЕ ЗНАКА БЕСКОНЕЧНОСТИ

Итальянский иезуит Бонавентура Кавальери (1598-1647) придумал метод определения площадей и объемов и описал его в трудах «Геометрия, изложенная новым способом при помощи неделимых непрерывного» (Geome- tria indivisibilibus) (1635) и «Геометрические этюды» (Exercitationes geometricae) (1647). Кавальери предложил разложить геометрические величины на бесконечное количество элементов, или неделимых, которые представляют собой последние возможные значения этого разложения.

Затем он решил представить объемы, поверхности и длины в виде бесконечной суммы неделимых. Британец Джон Валлис (1616-1703), член-основатель Королевского общества, которого можно считать прямым предшественником Ньютона и Лейбница, перевел на арифметическую основу метод неделимых Кавальери и присвоил им числовые значения, превратив таким образом анализ площадей (до того момента исключительно геометрический) в арифметический анализ. В трактате «О конических сечениях» (De sectionibus conicus) (1655) Валлис предложил представить бесконечность при помощи символа oo.

Ньютон и Лейбниц поняли, что за всеми этими внешне разными процессами стоят одни и те же фундаментальные понятия, и связали их в единое целое. Кроме того, ученые разработали несколько общих алгоритмических методов для анализа и решения самых разных задач, среди них – вычисление степеней биномов. Ньютон разработал понятие флюксий – сходное с понятием производной – и показал, что, например, чтобы рассчитать площадь, очерченную кривой, достаточно посчитать флюенту (ньютоновский аналог современных функций), то есть, другими словами, найти интеграл.

Ньютон показал, как эти понятия – дифференциал и интеграл в терминологии Лейбница – могут использоваться для решения не только частных задач касательных, максимальных и минимальных значений или расчета площади, но и бесконечного количества других. В результате ему удалось превратить набор разрозненных операций, совершенных его предшественниками, в общий математический анализ.

Очень скоро изобретение продемонстрировало удивительную эффективность. Благодаря анализу бесконечно малых сложные расчеты площадей, которые принесли Архимеду славу гения, или обратные задачи, над решением которых бились лучшие математики середины XVII века, сегодня являются или, по крайней мере, должны являться упражнениями, доступными для ученика средней школы.

Хотя об этом часто забывают, слава Ньютона и его гениальность во многом определяются его математическими способностями и воображением: талант математика, сделавший возможным удивительные открытия ученого, например анализ бесконечно малых, в значительной степени отличает его от других ученых того времени. Вспомним, например, Гука, Галлея и Рена, собравшихся в кафе и пытающихся рассчитать орбиты планет, которые зависят от притяжения Солнца. Основным инструментом, которого им не хватало для успешных вычислений, был именно анализ бесконечно малых.

Ньютон построил цельную систему мира, что превратило его в самого успешного из всех ученых. Как подметил Лагранж, «систему мира можно открыть лишь один раз». И этим открытием Ньютон обязан именно своему великолепному владению математикой. Не стоит считать ученого исключительно физиком – он был скорее натурфилософом, а еще точнее – прикладным математиком. Напомним, что по этому поводу написал Д. Т. Уайтсайд, занимавшийся изданием математических манускриптов английского гения:

«Никогда не стоит забывать, что Ньютон представлял математику сундуком с инструментами истины, видел в ней внутреннюю красоту и мощь, независимые от внешних побуждений. […] В те времена не было в мире математики ученого ни более талантливого, ни более осведомленного; никто не был таким способным в алгебре, таким искусным в геометрии, достойным и знающим все тонкости анализа бесконечно малых».

DE ANALYSI

В конце июня 1669 года, за несколько дней, Ньютон написал «Анализ с помощью уравнений с бесконечным числом членов» (De analysi), основываясь на исследованиях, которые он проводил с 1664 года. Содержание и идея этого трактата имели огромную ценность. Обнародовав его, Ньютон превратился в первооткрывателя анализа бесконечно малых, а сам «Анализ» стал великой хартией новой дисциплины. В первой части трактата Ньютон показал, каким образом, используя степенные ряды, вычисление площади можно расширить до огромного разнообразия функций. Таким образом, был сделан гигантский шаг вперед в решении проблемы расчета площади, ограниченной кривой, – вопроса, который поднимался еще греческими математиками.

Хотя могло сложиться впечатление, что Ньютон стремился найти решение для случая с определенным количеством кривых, в реальности он сделал гораздо больше: он смог обобщить процесс и вычислить некое абстрактное значение. Ньютон пишет: «Все задачи о длине кривых, об объеме и площади поверхности, а также о центре тяжести могут быть решены, когда будет вычислена площадь плоской поверхности, ограниченной кривой линией». Этими словами ученый хотел очертить границы первой части трактата, в которой был представлен общий метод, и отделить ее от второй, где был показан пример его применения. Мы можем согласиться, что результат не слишком впечатлял: Ньютон придавал огромное значение абстрактному характеру операции, хотя на этой начальной стадии, когда идея только вызревала в его голове, достаточно сложно было просто выразить ее и разъяснить. Также вероятно, что в этот период ему не хватало подходящих названий и обозначений.

Итак, требовалось решить абстрактную задачу: рассчитать функцию, зная ее производную. Кроме того, устанавливался обратный характер процесса к расчету вариации (производной) функции, и в итоге Ньютон давал алгоритмическую операцию для расчета этой вариации, хотя ее описание в «Анализе» минимально и отсутствуют ясные правила нахождения производной, как и у Лейбница. Сказанное подводит нас к тому, что работа Ньютона сделала анализ бесконечно малых реальностью.

ФЛЮЕНТЫ И ФЛЮКСИИ

Второй труд Ньютона, «О методе рядов и флюксий» (De methodis serierum etfluxionum), – самый значительный из посвященных анализу бесконечно малых, был написан через два года после «Анализа» (De analysi) но опубликован только в 1736 году, уже после смерти ученого.

В этой работе Ньютон представляет понятия флюенты и флюксии. Первая (флюента) – это переменная, меняющая свое значение с течением времени, вторая (флюксия) – производная этой переменной по времени:

«В дальнейшем я буду называть флюентами, или текущими величинами, величины, которые я рассматриваю как постепенно и неопределенно возрастающие; обозначать я их буду последними буквами алфавита u, у, х и z, чтобы их было возможно отличать от других величин, которые рассматриваются в уравнениях как известные и определенные и которые поэтому обозначаются первыми буквами алфавита а, b, с и т.д. Скорости, с которыми возрастают вследствие порождающего их движения отдельные флюенты (и которые я называю флюксиями, или просто скоростями или быстротами), я буду обозначать теми же буквами, но пунктированными, например v', х', у', z'».

Чтобы продемонстрировать потенциал своего анализа бесконечно малых, Ньютон применил его в работе «О методе» (De methodis) при решении почти всех задач о расчете площадей, касательных, кривых, объемов или расстояний, максимальных и минимальных величин, центров тяжести и рассмотрении других вопросов, которые занимали умы его предшественников в течение почти века. В работе «О методе» (De methodis) очевиден вклад Ньютона в открытие анализа: он четко определил понятия флюенты и флюксии как элементов теории, дал простые алгоритмы для расчета флюксии флюенты, а также привел примеры задач, которые новые понятия позволяют решить. Это разграничение абстрактных элементов теории и ее конкретного применения для решения колоссального количества задач позволяет признать за Ньютоном – и Лейбницем – открытие анализа.

МАКСИМУМЫ И МИНИМУМЫ

Одно из многочисленных применений анализа бесконечно малых – это определение максимальных и минимальных значений функции, фундаментальных, к примеру, для процессов оптимизации в технике. Сравним кривую, описанную функцией у = х³ -3х.

Ясно, что у функции есть абсолютный минимум и максимум. Если проследить за ней слева, кривая стремится к бесконечности вниз; если справа, кривая идет к бесконечности вверх. Максимальное и минимальное значения, соответственно, +oo и -oo.

Но вместе с этими абсолютными значениями есть другие точки кривой, которые являются максимальными и минимальными точками, а именно:

(-1; 2) и (1; -2). Метод анализа бесконечно малых Ньютона позволяет легко определить такие точки, опираясь на понятие производной. Одним из свойств производной является то, что ее значение в заданной точке – то же, что и значение наклона касательной к функции в той же точке. Однако в точке максимума или минимума касательная является горизонтальной прямой и ее наклон равен нулю.

Следовательно, производная функции в указанной точке тоже будет равна нулю. В нашем примере f(x) = х³ -3х, производная f'(x) = 3х² -3. Соответственно, нас интересуют значения х, при которых выполняется равенство 3х² -3 = 0. Как и можно было ожидать, мы получим значения х = 1 и х = -1.

ИРРАЦИОНАЛЬНЫЙ СТРАХ ПУБЛИКАЦИЙ

Читатель наверняка уже заметил некоторые детали, связанные с двумя упомянутыми работами Ньютона. Первую, «Анализ», ученый написал в 1669 году, но не публиковал ее целых 42 года, до 1711-го! А вторая, «О методе», была закончена в 1671 году, но увидела свет только в 1736-м, то есть через 65 лет после ее завершения и через девять лет после смерти Ньютона! Следует отметить, что в те годы термин «публиковать» имел несколько иное значение, нежели сейчас. Сегодня «публиковать» означает «доводить что-либо до сведения заинтересованных лиц посредством периодического издания или книги», но тогда таких каналов, как периодические издания, например журналы, практически не существовало, распространение они получили несколько десятилетий спустя. Для современников Ньютона «публиковать» означало выпустить рукопись, причем даже необязательно в печатной форме, для ограниченной группы заинтересованных людей. Несмотря на уговоры, Ньютон всячески уклонялся от того, чтобы обнародовать свои работы, и это можно считать проявлением одной из фобий ученого.

Прекрасно иллюстрируют эту фобию меры предосторожности, которые предпринял автор «Анализа» при публикации работы. Как только трактат был написан и весь мир должен был узнать о новом гении, Ньютон показал работу Исааку Барроу, который в то время был лукасовским профессором в Кембридже. Лукасовская кафедра, единственная из восьми кафедр университета, специализировалась, как мы бы сказали сейчас, на математике и натурфилософии. Барроу был в некотором роде предтечей анализа, он ближе кого бы то ни было подошел к Ньютону и Лейбницу в своих открытиях, но незнание аналитической геометрии Декарта не позволило ему развить алгоритмические методы, применяющиеся в анализе бесконечно малых. Когда Ньютон показал ему свою работу, Барроу предложил немедленно отправить трактат Джону Коллинзу, члену Королевского общества, который занимался распространением информации о последних достижениях и новостей в области математики. Тут Ньютон впервые проявил свое нежелание публиковаться: ведь показывать свой труд публике, заявив об открытии, означало также подвергнуть себя критике.

Титульный лист сохранившегося издания «Анализа».

Расчет площадей в первой тетради, посвященной Ньютоном исключительно математическим вопросам. Начало 1660-х.

Расчет бесконечных рядов из тетради, куда Ньютон записывал большую часть своих работ, связанных с анализом.

В начале июля 1669 года Ньютон позволил Барроу лишь проинформировать Коллинза, что он получил в свое распоряжение «Анализ», но запретил упоминать имя автора. Барроу отправил Коллинзу записку следующего содержания:

«Некий друг, живущий среди нас, исключительно талантливый в этих вопросах, прислал мне позавчера несколько писем, в которых он описывает метод […] в высшей степени всеобщий; я пришлю вам одно из них вместе с моим следующим письмом, уверен, вы получите от прочтения невыразимое удовольствие».

Одиннадцать дней спустя Ньютон дал согласие на то, чтобы Барроу выслал Коллинзу копию «Анализа», хотя и настаивал на сохранении своей анонимности и последующем возвращении книги. Обратите внимание, что Барроу в своем письме ниже говорит о «прочтении», а не «снятии копии» – намек на то, что отправленное предназначается только для глаз Коллинза:

«Высылаю вам обещанные письма моего друга, изучение которых принесет вам истинное наслаждение, как я на то надеюсь. Прошу вас вернуть их, когда вы их прочтете и когда вам будет это удобно; об этом попросил меня мой друг после того, как я уговорил его позволить мне показать его работу. Поэтому умоляю вас сообщить мне как можно быстрее, как только вы их получите, что они у вас, так как я волнуюсь об их сохранности; я отправил вам письма почтой, чтобы они попали к вам как можно скорее».

Коллинз изучил «Анализ» и поделился с Барроу своим восторгом, и только после этого Ньютон позволил раскрыть свое имя. Вскоре Коллинз вернул «Анализ» Ньютону через Барроу, но сначала собственноручно переписал его. Эту копию, вместе с письмами Барроу, нашел английский математик Уильям Джонс среди документов Коллинза, попавших к нему в 1708 году. Находка натолкнула его на мысль предложить Ньютону издать «Анализ», который в конце концов увидел свет в 1711 году. Эти же письма, когда разгорелся спор Ньютона с Лейбницем о первенстве в открытии анализа, послужили доказательствами, подтверждающими приоритет Ньютона. До конца 1669 года Коллинз и Барроу просили у Ньютона разрешения опубликовать «Анализ», но так и не добились положительного ответа. Как написал Ричард Уэстфол, намекая на спор с Лейбницем, «мнительность Ньютона сеяла семена ожесточенных конфликтов».

Его неуступчивость была тем сильнее, чем более ученый осознавал логические пробелы внутри самого метода: понятие флюксии и правила ее определения, как и дифференциал Лейбница или многочисленные искусные манипуляции с бесконечно малыми предшественников, основывались на так называемых бесконечных количествах. Это были бесконечно малые величины, стремящиеся к нулю, что позволяло при необходимости их не учитывать; однако, поскольку они все же не равнялись нулю, они могли выступать делителем. Было очевидно, что речь идет о крайне неоднозначном математическом понятии, но как Ньютон ни старался избежать его использования, это ему не удалось.

В другой своей работе об анализе, «О квадратуре кривых» (De quadratura curvarum), опубликованной в 1704 году в качестве приложения к «Оптике», Ньютон рассказывает об исчезающем увеличении, близком к математической идее предела, который в XIX веке будут использовать Бернард Больцано и французский математик Огюстен Луи Коши в качестве обоснования современного анализа бесконечно малых.

Ньютон осознавал слабость теории и противился каким- либо публикациям, хотя среди его друзей ходили несколько рукописных копий его работ. Страх ученого повлиял и на его ключевой труд «Математические начала…». В них Ньютон использовал геометрический язык греков, сложный, но более точный с позиций логики. В любом случае, небольшие отрывки, посвященные анализу, содержатся в «Математических началах натуральной философии».

БЕСКОНЕЧНО МАЛЫЕ ВЕЛИЧИНЫ

Бесконечность, сущность метода анализа бесконечно малых, маскируется в делении нуля на ноль, которое появляется каждый раз, когда мы хотим вычислить производную. Как говорилось ранее, частное

необходимое при определении производной, нас интересует только в том случае, когда h = 0. Эти величины, близкие к нулю, но не равные ему, математики XVII века называли бесконечно малыми величинами.

Напомним, что бесконечно малые появляются также в интеграле, в форме сегментов нулевой ширины, сумма которых, однако, чудесным образом формирует площадь. В чем смысл этой суммы? Ни Ньютон, ни Лейбниц этого не объяснили. Первоначальный анализ бесконечно малых, который эти ученые создали, а другие математики XVIII века позднее усовершенствовали, можно описать как искусство оперировать бесконечно малыми величинами. Парадокс в том, что никто из этих математических гениев так и не определил, хотя бы с минимальной точностью, что это за величины.

ЛУКАСОВСКАЯ КАФЕДРА

Научная карьера Ньютона в Тринити-колледже Кембриджского университета была поистине фантастической: уже в 1669 году, спустя восемь лет после приезда, он был назначен лукасовским профессором.

Лукасовская кафедра была создана в Кембридже в середине 1660-1670-х годов в соответствии с завещанием Генри Лукаса и просуществовала до наших дней (до 2009 года ее возглавлял один из самых видных представителей науки, Стивен Хокинг). Стипендия, которую завещал Лукас, превращала эту академическую должность в одну из самых престижных. Как мы уже сказали, лукасовская кафедра была в то время единственной из восьми, которая специализировалась на математике и натурфилософии: профессор должен был читать лекции по геометрии, астрономии, географии, оптике, математическим дисциплинам и каждый год передавать в университетскую библиотеку тексты минимум десяти своих докладов. За невыполнение этого условия на профессора налагался штраф, но, кажется, Ньютон, редко следовавший этому правилу, никогда взысканию не подвергался. Как утверждал один его современник, «немногие ходили слушать лекции Ньютона, еще меньше было тех, кто их понимал; в отсутствии слушателей он часто вещал в пустых стенах».

ОТСТАВКА БАРРОУ

Некоторые источники говорят, что Барроу (на иллюстрации) подал в отставку, поскольку был в восторге от необыкновенных способностей Ньютона. Впрочем, эту историю, как и многие другие, повествующие о гениальности ученого, распространял и сам Ньютон: он сказал аббату Конти – человеку, с которым сдружился на почве конфликта с Лейбницем, – о своем первенстве в открытии анализа бесконечно малых, отметив, что он в шести строках уместил решение задачи, в то время как Барроу после долгих попыток предложил более сложное и длинное решение. Тогда Барроу и объявил о своем уходе с кафедры, якобы заявив, что Ньютон – более компетентный и более способный ученый. Без сомнения, отставка Барроу имела другую причину. Глава кафедры был больше теологом, чем математиком, и хотел посвятить себя своему призванию; кроме того, он стремился к должности, имевшей большее политическое влияние. И действительно, на следующий год после своей отставки Барроу был назначен королевским духовником, а спустя два года – главой Тринити-колледжа, и эта должность, в соответствии с уставом кафедры, была несовместима с должностью ее профессора. В любом случае, Барроу покинул свой пост.

Со дня основания Лукасовской кафедры ее возглавлял Исаак Барроу, но летом 1669 года он решил оставить этот пост, предложив Ньютона в качестве своего преемника.

Два душеприказчика Лукаса, ответственные за назначение нового профессора, к тому времени уже достигли солидного возраста и были очень польщены тем, что Барроу собирался посвятить им одну из своих книг, так что они поддержали его предложение. И 29 октября 1669 года Ньютон был назначен лукасовским профессором.

МОНАШЕСКАЯ ЖИЗНЬ В КЭМБРИДЖЕ

Одно из самых любопытных зданий Кембриджа – библиотека Тринити-колледжа. Именно Исаак Барроу в 1675 году стал инициатором ее строительства, что в конце концов вызвало большие финансовые трудности для колледжа. Спроектированная в 1676 году известным ученым Кристофером Реном и завершенная через 20 лет строительства библиотека нуждалась в пожертвованиях профессоров. Надо сказать, что участие Ньютона было более чем скромным: он сделал маленькое пожертвование и дал небольшую сумму в долг, чтобы помочь покрыть расходы.

Ньютон жил в Тринити, но не отдал ему своего сердца.

Ричард Уэстфол в книге «Жизнь Исаака Ньютона»

Ньютон провел в Кембридже 35 лет. За эти годы он сделал все свои замечательные открытия, хотя большую часть времени уделял и другим занятиям – теологии, библейской истории и особенно алхимии. Ньютон, конечно же, был гением, но также он отличался невероятной работоспособностью, которую сохранял всю жизнь. В Кембридже он занимался только исследованиями и работой, забывая иногда есть и спать. По этому поводу Уильям Стьюкли, один из его первых биографов, вспоминал:

«Ученый уходил в себя до такой степени, что пока он собирался обедать, со стола уже снимали скатерть. Или мог пригласить в свою комнату друзей, уйти в мастерскую за бутылкой вина и остаться там размышлять над внезапно посетившей его идеей, напрочь забыв о гостях. Он всегда был занят исследованиями, все время проводил в мастерской и крайне редко сам наносил визиты. Гостей он также редко принимал. Ученый почти никогда не ужинал в столовой, за исключением редких дней, когда он появлялся там непричесанным, в поношенной обуви и со спущенными чулками».

Годы в Кембридже были для Ньютона годами одиночества – подходящих собеседников для научных дискуссий он так и не нашел. Как написал Уэстфол, «философ в поиске истины, он оказался среди чиновников в поиске должности. Это было фоном всей его творческой жизни».

У Ньютона почти не было друзей. В молодости, в 1660-х и 1670-х годах, Ньютону было легче общаться с людьми более старшего возраста, чем он сам, – это подтверждают его научные контакты с Генри Мором (родился в 1614 году), Джоном Валлисом (1616 год), Джоном Коллинзом (1625), Генри Олденбур- гом (1626), Исааком Барроу (1630) или Кристофером Реном (1632). При этом сам Ньютон, напомним, родился в 1642 году. Да и это общение нельзя было назвать дружеским, оно ограничивалось академической сферой.

Известна едва ли пара имен сверстников ученого, с которыми он поддерживал отношения в годы, проведенные в Кембридже, – пусть не дружеские, но хотя бы представляющие собой чуть больше, чем просто поверхностное общение. Заводить друзей Ньютону мешало его чрезмерное пуританство. Ученый, например, разорвал отношения с Джоном Вигани, итальянским преподавателем химии в Кембридже, потому что тот рассказал Исааку непристойную историю о монахине.

КОМНАТЫ НЬЮТОНА В КЕМБРИДЖЕ

Тринити-колледж предоставлял всем членам учебного корпуса индивидуальное жилье. Несмотря на то что Ньютон получил этот статус в октябре 1667 года, а Уикинс – чуть позже, они продолжали жить вместе и, похоже, сдавали выделенное им жилье. Ньютон потратил порядочную сумму весной 1667 года на ремонт их с Уикинсом комнат: поменял стекла в окнах, починил дымоход, перекрасил стены и купил мебель – среди предметов обстановки были даже два испанских стола и новые ковры. Сын Уикинса знал, как его отец и Ньютон познакомились, и этот рассказ позволяет оценить, насколько одинок был ученый в свои первые годы в Кембридже.

«Близкая дружба моего отца с сэром Исааком началась с обычной случайности. Однажды, находясь в печальном расположении духа, мой отец отправился на прогулку и встретил господина Ньютона, одинокого и грустного. Они разговорились и обнаружили, что причина их одиночества одна и та же; тогда они решили оставить своих беспутных товарищей и жить в одной комнате, что они и сделали так скоро, как смогли, и жили вместе, пока мой отец был в колледже».

Одним из людей, с которыми Ньютон поддерживал дружеское общение, был Джон Уикинс, сосед Исаака по комнате в Кембридже с января 1663 года до 1683-го. Уикинс также ассистировал ему в качестве секретаря. В 1683 году Уикинс покинул Кембридж, приняв пост викария, а когда для Ньютона наступило время материального благополучия, он выслал Джону экземпляры Библии для бедных прихожан.

В годы своего пребывания в Кембридже Ньютон практически не отлучался из Тринити-колледжа. Если не считать anni mirabiles, самый долгий период, который ученый провел вне стен университета, был в 1679 году, когда умерла его мать.

НЬЮТОН-МИСТИК

Биографы Ньютона представляли ученого как гения-отшельника, прячущегося в своей комнате в Кембридже, сосредоточенного на своих исследованиях в оптике, физике и математике, сыгравших поразительную роль в развитии науки. Именно в этот период Ньютона начинают воспринимать как настоящего гения.

Однако сегодня мы можем составить более сложный и более полный образ Ньютона. Как подтверждает огромное количество его рукописей, в Тринити, да и в последующие годы, ученый посвящал себя не только науке. Его труды, написанные в Кембридже, говорят о Ньютоне также как о человеке, пытающемся постичь алхимию и найти аргументы, которые укрепили бы его в арианском вероучении.

Огромный научный авторитет Ньютона, его незаурядное положение в истории науки на одном уровне с Архимедом, Эйнштейном или Дарвином объясняются масштабом его работ: Philosophiae naturalis principia mathematica («Математические начала натуральной философии», 1687), Opticks: or а treatise of the reflections, refractions, inflections and colours of light («Оптика, или Трактат об отражениях, преломлениях, изгибаниях и цветах света», 1704), De analysi per aequationes numero terminorum infinitas («Анализ с помощью уравнений с бесконечным числом членов», 1711) или Methodus flwcionum («Метод флюксий», 1736). Еще полвека назад нам было недоступно глубокое понимание сложнейшей личности ученого. Дата 13 июля 1936 года стала новой вехой в истории о Ньютоне. В этот день на аукцион «Сотбис» были выставлены 332 лота из коллекции Портсмут, включавшие рукописи Ньютона, его переписку и личные предметы ученого. История этих бумаг завораживает и открывает нам подлинную личность Ньютона, которая оказалась более сложной и интересной, чем о ней было принято думать.

НАСЛЕДНИКИ ГЕНИЯ

После смерти Ньютона, который не оставил завещания, произошло несколько споров между возможными наследниками (всего их было восемь) – потомками детей матери Ньютона от ее второго мужа. Почти все они, за исключением любимой племянницы, Кэтрин Бартон, и ее мужа, Джона Кондуитта, хотели получить деньги из наследства ученого. Родственники начали торговать книгами из библиотеки Ньютона, а затем в июле 1727 года полностью продали ее некоему Джону Хаггинсу. Также они продали все записи, которые были в порядке и могли быть пригодны для публикации. Документы и рукописи, не нашедшие покупателя, были переданы дочери господина и госпожи Кондуитт, которая вышла замуж за виконта Лимингтона. Позднее эти документы перешли к их сыну, второму графу Портсмутскому – отсюда название «коллекция Портсмут», под которым известно наследство Ньютона. В 1872 году рукописи впервые начали каталогизировать, для чего они были отданы на хранение в Кембридж. Результат работы был опубликован в 1888 году, а сами документы вернулись в семью Портсмут, за исключением рукописей, связанных с математикой, части корреспонденции и некоторых книг, которые семья передала Кембриджу.

Издание «Начал» Евклида с заметками самого Ньютона – одно из сокровищ коллекции Портсмут.

Количество сохранившихся рукописей, писем и других документов огромно, несмотря на то что, возможно, часть переписки в последние месяцы своей жизни ученый сжег. Вероятнее всего, погибли письма, полученные от матери, некоторые научные работы, которые сам Ньютон мог посчитать недостаточно удачными, и другие записи, которые ему показались не заслуживающими интереса, – если, конечно, таковые были.

Часть наследства, в основном математические заметки и письма, перешла в 1888 году университету Кембриджа; оставшаяся часть была выставлена на аукцион «Сотбис»: все рукописи по алхимии, химии и делам казначейства, все материалы, собранные Джоном Кондуиттом, мужем племянницы Ньютона Кэтрин Бартон, для написания будущей биографии Ньютона; большое количество написанных или полученных писем, тетрадей времен молодости Ньютона, работы по хронологии, теологии, два великолепных портрета – один из них работы Кнеллера, написанный в 1702 году, и посмертная маска – все это было продано за два дня за немногим больше чем 9000 фунтов. Легко представить разочарование, которое должен был испытать девятый граф Портсмутский, который выставил все эти вещи на продажу, потому что нуждался в наличных.

ПОСЛЕДНИЙ ИЗ МАГОВ

Возмущенный проведенным аукционом и тем, что бумаги Ньютона разошлись по разным рукам, известный экономист Джон Мейнард Кейнс решил выкупить личные документы ученого и его рукописи по алхимии, хронологии, истории и теологии, пока не собрал значительную часть распроданного на аукционе.

Кейнс завещал свою коллекцию Кингс-колледжу Кембриджского университета, где она и хранится сегодня.

Кроме него, поиску наследия Ньютона посвятили себя и другие. Востоковед Абрахам С. Е. Ягуда смог приобрести большую часть текстов по теологии – некоторые он передал Кейнсу. Ягуда завещал свою коллекцию Национальной библиотеке Израиля в Иерусалиме, куда она и попала в 1966 году.

После Второй мировой войны началось интенсивное изучение трудов и личности Ньютона – подобная работа не проводилась в отношении никакого другого ученого. Объясняется это прежде всего тем, что на аукционе «Сотбис» на всеобщее обозрение было выставлено практически нетронутое сокровище – рукописи Ньютона. В результате историческое восприятие Ньютона как ученого и человека претерпело некоторые изменения, которые описывает известная цитата Джона Мейнарда Кейнса:

«Ньютон не был первым ученым Века Разума. Он был последним из магов, последним из вавилонян и шумеров. Это последний великий ум, который вошел в обозримый интеллектуальный мир с теми же глазами, как у тех, кто еще 10 000 лет назад заложил первый кирпич в интеллектуальное достояние человечества».

Вместо образа отца современной физики, создателя закона всемирного тяготения, автора глубоких и вдумчивых работ о природе света и цвета, изобретателя анализа бесконечно малых, гениального провидца, который так старательно распространял сам Ньютон, в его рукописях мы видим более сложного и поэтому более реального человека. Он интересовался не только научными вопросами, но большую часть времени посвящал изучению неясных теологических проблем, алхимической практике, находясь на полпути между экспериментом и мистикой. Рукописи говорят о том, что Ньютон был не только автором «Математических начал» или «Оптики» – его перу также принадлежат библейские хронологии и исследования божественной природы трех фигур христианской Троицы. Анализу тем сомнительной научной важности (даже для той эпохи) Ньютон посвятил гораздо больше страниц, чем темам научным.

Рукописи ставят под сомнение и образ Ньютона-гения, который без каких-либо усилий заложил колоссальный научный фундамент. Напротив, его работа была нескончаемой и изнурительной; безостановочный труд – вот о чем говорит Уэстфол в названии своей биографической книги, посвященной ученому – «Ни дня отдыха: биография сэра Исаака Ньютона». «Его рукописи доказывают,- говорит Уэстфол,- что Ньютон совершал ошибки и учился на них, шел в неверных направлениях и не сразу понимал значения своих собственных идей. Так и есть, рукописи раскрывают человеческую составляющую, которую можно понять, в то время как вспышки гениальности – нет». Давайте проанализируем этого неизвестного Ньютона.

БИБЛИОТЕКА НЬЮТОНА

Прекрасное представление об интересах Ньютона дает содержание его библиотеки, которое нам известно достаточно подробно благодаря исследованию, опубликованному в 1978 году библиотекарем Джоном Харрисоном. Среди многих томов библиотеки заслуживают упоминания научные книги, посвященные: алхимии (138) и химии (31), вместе они составляли примерно 9% библиотеки; математике (126, или 7 %); медицине и анатомии (57, или 3,5%); физике (52, или 3%); астрономии (33, или 2%). Ненаучные книги: классическая литература, греческая и латинская (149, или 8%); история (143); справочники (90, или 5%) и теология. Среди теологических книг насчитываются: общие произведения (205); Библия, Заветы и библейские учения (99); отцы церкви (61); история церкви (28); религиозные полемики (28); иудейские ритуалы и обычаи (24) и другие (32); итого 477 книг, или 27 % его библиотеки. Таким образом, только 25 % из почти 1800 книг, входивших в библиотеку на момент смерти Ньютона, могут классифицироваться как имеющие научное содержание. Впрочем, надо иметь в виду, что в то время в Кембридже гораздо легче было найти не научные работы, а работы, посвященные другим темам.

«ДОЧЬ САТУРНА И ОДНОЙ ИЗ ГОЛУБОК»

Интерес Ньютона к алхимии возник практически одновременно с тем, как он возглавил лукасовскую кафедру Из его Тетради Фицуильям – той самой, с признаниями грехов, – мы знаем, что в 1669 году Ньютон отправился в Лондон, чтобы купить собрание сочинений по алхимии и оборудование для экспериментов: печи, реторты, котлы, химические реактивы и т.д.

Из всех занятий Ньютона алхимия – одно из самых малоизвестных. Этот пробел можно объяснить тем, что алхимия требует скрытности, она стоит между философией, магией и наукой; во все времена эта деятельность была закрытой, а практикующие ее считались колдунами и чернокнижниками. И это неудивительно, принимая во внимание, что одна из главных целей алхимических опытов – получить философский камень, необыкновенное вещество, позволяющее превращать свинец и другие простые металлы в золото, а вторая главная цель – не больше и не меньше, чем создание эликсира вечной молодости, то есть напитка, способного продлить жизнь.

Ситуация начала меняться в XVII веке, с превращением алхимии в химию, хотя даже до XVIII века разделить эти дисциплины было сложно. Возможно, лучше всего проиллюстрировать это слияние сможет фигура Роберта Бойля (1627- 1691). Бойль сформулировал основные научные законы, такие как закон, который сегодня носит его имя, об обратной связи между давлением и объемом в газообразном веществе, а также защищал научный метод Бэкона, основанный на разуме и эксперименте. С другой стороны, Бойль не скрывал своих занятий алхимией и верил в возможность превращения металлов и существование философского камня. Если Барроу был наставником Ньютона в том, что касалось математики и оптики, то Бойль, с которым ученый поддерживал интенсивную переписку, играл ту же роль в области химии и алхимии. Барроу и Бойль даже чувствовали что-то вроде ревности друг к другу и соперничали за влияние на Ньютона. Быть может, в алхимии его интересовал не поиск философского камня, а возможность углубить свои знания о материи и веществах, составляющих физический мир, созданный Богом.

Ньютон в возрасте 59 лет. Эта картина работы художника Готфрида Кнеллера, самый известный портрет ученого, стала одним из лотов на «Сотбисе» в 1936 году.

Интерес Ньютона к алхимии заставил его пройти первый теоретический этап: он не только прочитал книги и рукописи, но и посвятил много времени экспериментам, для чего оборудовал лабораторию в одной из своих комнат в Тринити-кол- ледже, которая примыкала к готической часовне университета.

Занятия алхимией для Ньютона не были промежуточным этапом при переходе к серьезной и «рациональной» химии. Наоборот, он начал с серьезной химии и достаточно быстро покинул ее ради, как он думал, глубины алхимии.

Ричард С. Уэстфол, «Жизнь Исаака Ньютона»

Кроме всего прочего, эксперименты были достаточно рискованными. Прежде всего, для их проведения нужно было отбросить всякую брезгливость: «Возьмите бочонок мочи» – так начинался рецепт производства фосфора. Кроме того, часто опыты были опасны для здоровья. Когда в 1670 году волосы Ньютона тронула седина, его сосед по комнате, Уикинс, предположил, что причиной этого является время, проведенное в думах. Ньютон в ответ расхохотался – и это один из немногих известных нам случаев, когда Ньютона видели хохочущим, – и объяснил свою седину экспериментами с серебром, которые он проводил достаточно часто. Вероятно, испарения серебра были не так вредны для здоровья в сравнении с гораздо более токсичными испарениями ртути – металла, длительная работа с которым могла быть одним из катализаторов нервного кризиса, пережитого Ньютоном в 1693 году.

Эти эксперименты требовали полной самоотдачи и изнурительной работы, что предполагало, например, бессонные ночи и приготовление зловонных снадобий. Вот как это описывает один из помощников ученого:

«Ньютон почти не спал, особенно весной и осенью, когда имел обыкновение проводить шесть недель в своей лаборатории, с огнем, горящим днем и ночью, всю ночь на ногах, пока не завершал свои химические эксперименты, над которыми работал скрупулезно, тщательно и с большой точностью. Он не всегда мог объяснить свои цели, но жертвенность и усердие, проявленные в некоторые периоды, заставляют меня думать, что он хотел добиться того, что находится далеко за пределами человеческих возможностей».

Несложно представить Ньютона-алхимика, стоящего у кипящих котлов, перемешивающего жидкости в ретортах, плавящего металлы в клубах ядовитого пара от растворов, солей и кислот.

Некоторые сохранившиеся рукописи помогают сделать образ ученого более живым и ярким; например, записи, рассказывающие о кульминационном моменте его алхимических изысканий датируются весной 1681 года. Ежедневно, по мере того как продвигались эксперименты, Ньютон записывал на туманном языке, свойственном алхимии, свои интерпретации происходившего в лаборатории: «Я понял, что утренняя звезда – это Венера, и что она – дочь Сатурна и одной из голубок», – гласит запись от 10 мая. Пять дней спустя он добавляет: «Я понял: действительно существуют некоторые сублиматы Меркурия и т.д., например другая голубка – это сублимат, извлеченный из нечистот ее мягкого тела, – оставляет черный осадок на дне раствора, и ртуть снова расширяется, пока полностью не исчезает со дна осадок». Три дня спустя все становится еще интереснее: «Я усовершенствовал идеальный раствор. Две одинаковые соли восходят к Сатурну. Затем он – к камню и, соединенный с тягучим Юпитером, тоже создает […] и пропорцию, такую, что Юпитер хватает посох. Затем орел поднимается к Юпитеру. Оттуда Сатурн может соединяться без солей в желаемых пропорциях. Наконец, ртуть сублимируется, и соль аммиака ударяет по шлему, и ртуть восходит ко всему». Тот факт, что некоторые из этих параграфов позднее были яростно вычеркнуты Ньютоном, показывает, что его ожидания закончились неудачей.

Подобные записи вызывают сегодня некоторое замешательство, если не знать, что эти мифологические названия, выдающие связь алхимии с астрологией, означают металлы и вещества: Юпитер, например, соответствует олову, а Сатурн – свинцу.

Алхимический опыт, полученный Ньютоном за годы в Тринити-колледже, неожиданно оказался полезным. После того как ученый в конце XVII века покинул университет, он стал главой английского монетного двора, и каждый раз, когда нужно было чеканить монеты и определять подходящие сплавы, его знания в области химии были как нельзя кстати.

ПРИВЕРЖЕНЕЦ АРИАНСТВА В КОЛЛЕДЖЕ СВЯТОЙ И НЕДЕЛИМОЙ ТРОИЦЫ

Религиозность Ньютона – одна из характеристик его личности, на которую открытые рукописи пролили новый и удивительный свет, посвятив нас в его занятия теологией и библейской историографией. Хотя его записи о теологии до 1672 года не сохранились, очень возможно, что это увлечение имеет своим истоком маленькую библиотеку, унаследованную Исааком от своего отчима, англиканского пастора Барнабаса Смита. Возглавив лукасовскую кафедру, ученый начал всеобъемлющее изучение библейских текстов, которое скоро превратило его в приверженца арианства: он верил, что из трех персоналий христианской Троицы – Отца, Сына и Святого Духа – только Отец имел божественную природу.

Понемногу Ньютон убеждался, что Троица была ошибочной догмой и что не существует другого Бога, кроме Бога Отца. Он тщательно изучил Библию в поиске всех возможных ошибок и расхождений с первоначальным вариантом, которые позволили обосновать догму Троицы, – для этого Ньютон выучил греческий и немного иврит.

Это усилие принесло свои плоды: ученый был уверен, что нашел в Библии около двух десятков мест, где была извращена идея Троицы. Например, стихи 7 и 8 главы 5 Первого Послания Иоанна, версия вульгата (латинский перевод Библии, сделанный святым Иеронимом в V веке), говорят: «Ибо три свидетельствуют на небе: Отец, Слово и Святой Дух, и сии три суть едино; и три свидетельствуют на земле: Дух, вода и кровь, и сии три об одном». Ньютон утверждал, что в оригинальном стихе говорилось: «Ибо три свидетельствуют на небе: Дух, вода и кровь, и сии три об одном». Ньютон отстаивал точку зрения, что дополнительной фразы, приведенной в вульгате, нет ни в греческих рукописях, ни в более древних версиях. Принимая во внимание деликатность ситуации – такое еретическое убеждение могло иметь страшные последствия для своего приверженца, – Ньютон был очень осторожен со своими открытиями и делился ими лишь с несколькими арианами, например философом Джоном Локком, кому он рассказал о своих находках в письме, датированном концом 1690 года.

Возможно, Ньютон считал обнаружение искаженных глав о Троице самым важным и значительным из своих достижений. Уэстфол описывает это следующим образом:

«Несложно представить, какое гнетущее чувство испытывал Ньютон, сделав это открытие и вынужденный посвящать свое внимание менее значительным занятиям, таким как оптика или математика, в то время как на его плечах покоился груз ответственности за новую интерпретацию центральной идеи всей европейской цивилизации».

За безупречной и успешной научной карьерой, от молодого Лукасовского профессора в Кембридже до члена парламента Англии, от скрупулезного чиновника казначейства до всесильного президента Королевского общества, стоит тайна, которую невозможно было раскрыть и которую мы знаем благодаря рукописям, проданным с аукциона «Сотбис». Убежденное арианство, которое сопровождало Ньютона всю жизнь начиная с молодости, могло стать причиной отстранения ученого от любой из должностей, если бы выявилась его приверженность к этому христианскому учению.

МУКИ СОВЕСТИ

Возможно, что первые занятия теологией, начатые примерно в 1672 году, были связаны с тем фактом, что пост в Тринити-колледже обязывал Ньютона принять сан англиканского священника. Срок принятия обетов заканчивался в 1675 году, а к тому времени Ньютон уже был убежденным арианином. Особая ирония заключается и в том, что колледж в Кембридже, где Ньютон – ярый противник идеи Троицы – провел три с половиной десятилетия своей жизни, носит имя Святой и Неделимой Троицы. Обязанный принять обеты, Ньютон оказался перед серьезной моральной дилеммой. По некоторым сохранившимся записям можно угадать, что после того, как мягкие попытки уклониться от обета не дали результата, Ньютон собирался отвергнуть должность, не сообщая никому о причинах отказа. Однако вопрос волшебным образом решился сам собой: в последний момент пришло королевское разрешение, освобождавшее Лукасовского профессора от принятия обетов в случае его нежелания. Обратите внимание на нюанс: имя Ньютона не упоминалось, и говорилось, что это право имеет тот, кто возглавляет лукасовскую кафедру, кем бы он ни был. Возможно, за этой привилегией стояла фигура Исаака Барроу.

Однако интерес Ньютона к Библии и теологии распространялся далеко за пределы интерпретации идеи Троицы. На теологические темы он написал многие тысячи страниц. Его работы включали детально описанные исследования пророчеств (Ньютон проявлял определенный, хотя и не чрезмерный, интерес к дате второго пришествия Христа), древних библейских царств и даже подробную реконструкцию храма Соломона с его точными размерами и описаниями предметов культа, упомянутых в священных текстах.

Две из его книг, опубликованных наследниками после смерти ученого, включали ничтожную часть записей Ньютона о пророчествах и хронологии царств: The chronology of Ancient Kingdoms amended («Исправленная хронология Древних Царств», 1728) и Observations upon the Prophecies of Daniel and the Apocalypse of St.John («Замечания на книгу пророка Даниила и Апокалипсису Святого Иоанна», 1733). Это были единственные источники, рассказывающие об увлечении Ньютона теологией, пока в 1936 году аукцион не привлек внимание к наследию ученого.

Любопытна сама история появления The chronology («Хронологии»). Принцесса Уэльская попросила в 1716 году копию хронологических исследований Ньютона о царствах Ветхого Завета. Королевская просьба заставила ученого пойти на уступку: работы необходимо было вначале очистить от возможных арианских утверждений. Ньютон решил вручить принцессе лишь очерк, который в итоге был опубликован. Выдержки вызвали суровую критику, особенно во Франции, и Ньютон в качестве ответа решил напечатать трактат полностью. Он умер в марте 1727 года, занимаясь подготовкой книги к изданию.

ГЛАВА 4 Разгадка тайны света и цвета

Хотя Ньютон вошел в историю науки благодаря своему закону всемирного тяготения, его вклад в изучение оптики был не менее гениальным. Ученый преодолел тернистый путь, ведущий к разгадке природы света, он объяснил, из чего состоит цвет, построил своими собственными руками первый телескоп-рефлектор…

И все это благодаря экспериментам, всеобъемлющим и одновременно простым.

Другая великая научная книга Ньютона заметно отличается от «Математических начал натуральной философии»; она носит название Opticks: or a Treatise of the Reflexions, Refractions, Inflexions and Colours of Light («Оптика, или трактат об отражениях, преломлениях, изгибаниях и цветах света»). «Математические начала натуральной философии» – это завершенный синтез знания о земной и небесной механике, написанный математическим языком настолько сложным, насколько и закрытым, и поэтому понимаемый лишь специалистами. «Оптика», напротив, может считаться экспериментально несовершенной работой и даже неудавшейся, написанной без какой-либо математической поддержки. Однако она со всеми своими недочетами доступна даже тем, кто не имеет больших познаний в предмете. Наибольшее внимание привлекает ее часть, посвященная природе света и цвета, однако книга содержит большое количество разнообразных размышлений, которые делают понимание оптики более широким. Это разделы, посвященные линзам и конструкции телескопа или изучению зрения человека, включая работу зрительного нерва. Также в книге есть положения, практически никак не связанные с оптикой, например о пищеварении или циркуляции крови, принципах морали в философии или вопросах библейской истории, а также описание снов одержимых.

Хотя «Оптика» появилась только в 1704 году, почти через два десятилетия после «Математических начал натуральной философии», изучение природы света и цвета было одним из самых первых интересов английского гения. Его творческая работа в сфере оптики закончилась примерно в 1670 году, после этого он в основном разъяснял свои теории и результаты экспериментов: и в 1672 году, когда представил свою первую работу в этой сфере в «Философских трудах» Королевского общества, и в последнее десятилетие XVII века, когда занимался составлением «Оптики».

Представления Декарта о свете как вибрации частиц сделали среди ученых XVII века распространенной корпускулярную теорию света.

ОТРАЖЕНИЕ И ПРЕЛОМЛЕНИЕ

В ньютоновской физике свет состоит из частиц, корпускул, и распространяется по прямой линии, а не в виде волн. Сегодня считается, что свет имеет одновременно как корпускулярную, так и волновую природу. В материальных средах свет всегда движется по прямой линии, хотя на границе сред его скорость меняется, что вызывает эффект преломления. На рисунке представлены разные ситуации, которые можно наблюдать, когда луч света, двигающийся по траектории, пересекающей однородную среду, достигает поверхности, которая отделяет данную среду от внешней. Если угол падения перпендикулярен поверхности, разделяющей обе среды, луч света продолжит беспрепятственно двигаться по своей траектории (от n1 к n2 ). Если угол падения θ1 немного больше, луч пересечет поверхность; хотя новая траектория не будет идеально совпадать с предыдущей, она образует новый угол θ2 с перпендикуляром. Оба угла соотносятся по закону Снеллиуса: n1 sin(θ1) = n2 sin(θ2), где n1 и n2 – индексы преломления обеих сред, зависящие от скорости, с которой движется свет, когда их пересекает. Таким образом, можно вывести, например, что если среда оказывает значительное сопротивление прохождению света, она будет иметь высокий индекс преломления и, значит, угол падения θ1 будет меньше, чем угол преломления θ2 . Этот феномен мы всегда наблюдаем, опуская трубочку в стакан с водой: кажется, будто она становится толще. По этой же причине бассейны всегда кажутся более глубокими, чем на самом деле. На рисунке

также можно наблюдать, что часть луча света отражается от поверхности и возвращается в исходную среду. Угол отражения также подчиняется закону Снеллиуса, но поскольку в этом случае индекс преломления среды тот же, оба угла одинаковы. Если мы продолжим уменьшать угол падения θ1 , мы придем к пограничной ситуации, когда угол преломления параллелен границе сред. Начиная с этой точки падающий луч уже не способен пересечь данную поверхность и отражается обратно в первую среду. В телекоммуникациях этот принцип используется, чтобы посылать световые лучи через оптическое волокно с высоким индексом преломления.

Тогда считалось, что луч белого света имеет однородную структуру; а в вопросе образования цвета царила полная неопределенность. Роберт Гук в Англии и Христиан Гюйгенс на континенте уточнили декартову формулировку. Гюйгенс, в частности, ввел идею вторичных волн: «Каждая частица материи, на которую падает волна, сообщает полученное движение всем окружающим ее частицам. Таким образом, вокруг каждой частицы формируется волна, в которой эта самая частица является центром». При помощи этой концепции он смог вывести известные нам законы отражения и преломления света. Однако ответа на главное возражение против волновой природы света не было: как объяснить прямолинейное распространение световых лучей? Ответ будет найден только в XIX веке Огюстеном Френелем (1788-1827), который использовал в своих исследованиях теорию интерференции волн Томаса Юнга (1773-1829).

Ньютон оказался жертвой своего главного заблуждения: «Эксперименты и опыты доказывают, – написал он, – что давления, волны или вибрации в жидкости окружают препятствия и проникают в область геометрической тени», чего, как выяснилось, свет не делает.

Ученый начал экспериментировать с призмами и изучать свет во время своих anni mirabiles. Хотя он и не был первым, кто этим занимался, никто из его современников не смог достичь того же мастерства и ловкости.

Первый осуществленный им эксперимент состоял в пропускании через призму единственного луча света, который проникал в темную комнату через маленькое круглое отверстие в окне и преломлялся в призме, направляясь на стену, противоположную окну. Теории того времени утверждали, что полученная таким образом проекция должна иметь форму окружности. Но Ньютон увидел другое: «Продолговатая фигура, ограниченная двумя параллельными и прямолинейными сторонами и двумя полукруглыми краями, – объясняет он в «Оптике». – Края размыты, так как свет в них рассеивается и постепенно уменьшается. Ширина отвечает диаметру солнечного диска, двум дюймам и одной восьмой, включая полумрак. Однако длина луча составляет десять дюймов и четверть, а длина прямолинейных сторон – восемь дюймов».

Этот эксперимент и его последующие уточнения убедили Ньютона в том, что доктрина об однородности белого света ошибочна. Найти выход помогли рассуждения о природе цвета – проблема до тех пор относительно второстепенная, но сыгравшая центральную роль в исследованиях Ньютона.

Для этого он сделал то, что назвал experimentum crucis, решающий опыт, который включал две призмы и два экрана, каждый с отверстием, через которое проходили лучи «из большого пучка солнечного света, входящего в комнату через отверстие, которое я сделал в оконных ставнях». Первая призма раскладывала белый солнечный свет на спектр, а затем, используя второй экран и вторую призму, Ньютон убедился в том, что однородные лучи не раскладываются снова на другие цвета, отметая таким образом вариант, что причиной появления спектра является призма (см. рисунок). Ученый заключил, что белый свет – это сочетание световых лучей различных цветов, и каждый из них характеризуется собственной степенью преломления, от меньшей к большей: красный, желтый, зеленый, синий и, наконец, фиолетовый. Другой эксперимент, в котором Ньютон использовал колесо, привел его к выводу, что белый свет – это не что иное, как впечатление, вызванное гетерогенной смесью цветов: он выставил колесо на некотором расстоянии от призмы таким образом, что на его широкие спицы падали только разные цвета; если колесо вращалось медленно, можно было увидеть, как разные цвета следуют друг за другом по кругу, но при высокой скорости вращения глаз переставал различать отдельные цвета, и появлялся белый цвет. В третьем эксперименте Ньютон разместил на одной линии несколько призм, через них он пропускал луч света, который, преломляясь, раскладывался на разные цвета. Лучи из обеих призм падали на специальный экран, где смешивались и снова давали свет белого цвета.

Из всего этого Ньютон сделал вывод, что цвет – это не свойство белого света, которое проявляется из-за различного преломления лучей на различных объектах, а неотъемлемая характеристика соответствующих световых лучей с собственным показателем преломления.

В начале 1672 года Ньютон опубликовал в «Философских трудах» свою новую теорию о природе света и цвета – и это была первая научная работа, о которой ученый заявил открыто. Публикацию с нетерпением ожидали не только в Англии, но и в Европе. И после ее появления мгновенно поднялась волна неизбежной критики и недоверия. И это несмотря на то, что Ньютон пытался скрыть свою приверженность корпускулярной теории света и не говорил о ней до публикации «Оптики» в 1704 году. Так, вопрос 28 «Оптики» начинается словами: «Не ошибочны ли все гипотезы, в которых свет приписывается давлению или движению, распространяющемуся через некоторую жидкую среду?», в то время как 29-й риторически спрашивает: «Не являются ли лучи света очень малыми телами, испускаемыми светящимися веществами?».

Против Ньютона выступили Роберт Гук, который считался главным авторитетом в вопросах, касающихся оптики, и Христиан Гюйгенс, светило европейской науки. Уэстфол так объяснил последствия этой публикации и последующего кризиса: «В течение восьми лет он, в одиночестве, отвоевывал истину в титанической борьбе. […] Восемь лет без времени на еду, восемь лет ночей без сна […] дали о себе знать. […] В 1672 году Ньютон жил со своей теорией уже шесть лет и теперь считал ее очевидной. Однако для всех остальных казалось, что она отрицает здравый смысл, и они просто не могли ее принять. Ньютон же не был готов к какой-либо иной реакции, кроме немедленного с ней согласия». Ученый относился к научному исследованию как к религиозному акту сопричастности к Творцу, поэтому провал эксперимента или его неверная интерпретация были для него не просто нарушением научного метода, а оскорблением божественного.

СОБСТВЕННОЕ ТЕЛО В КАЧЕСТВЕ ЛАБОРАТОРИИ

Экспериментаторство Ньютона шло рука об руку с его храбростью – он смело использовал собственное тело для опытов, при этом его храбрость часто граничила с безрассудством. Однажды ученый чуть не лишился зрения, пытаясь вставить шило между своим собственным глазом и костью, чтобы изменить изгиб сетчатки и понаблюдать за цветными кругами, появлявшимися при надавливании. В другой раз он закрыл один глаз, а другим не отрываясь смотрел на Солнце, чтобы проверить, как изменится восприятие цвета в одном и втором глазу. В результате, чтобы восстановить зрение, ученому понадобилось провести несколько дней в темноте.

Рукопись с записями Ньютона после эксперимента с надавливанием на свое собственное глазное яблоко.

При этом Ньютон, даже публикуя «Оптику», сохранял нежелание предавать свои работы широкой огласке. В первоначальном примечании к «Оптике» можно прочесть: «Я избегал до сегодняшнего дня публикации этих работ, чтобы не оказаться вовлеченным в дискуссии и споры, и если бы не упрямство друзей, которое одержало верх над моим принципом, я бы откладывал публикацию и дальше».

Эксперименты Ньютона с призмами и теория о природе цвета изменили строение телескопа. Прежние модели были рефракторными, то есть увеличивали изображение, пропуская его через выпуклую линзу, объектив, а в конце трубки оно попадало на линзу окуляра (рисунок 1). Этот тип телескопов имел недостаток: он искажал изображение, особенно по краям. Чтобы решить эту проблему, уже в XVI веке начали появляться идеи о возможности построить телескоп-рефлектор, который для увеличения изображения использовал бы зеркала, а не линзы.

РИС.1

РИС. 2

Ньютон прочитал о теоретической модели такого телескопа в работе шотландского математика Джеймса Грегори, засучил рукава и в 1668 году построил прототип, который усовершенствовал пару лет спустя, когда все свое время посвящал оптике. За разработку и строительство телескопа с такими великолепными характеристиками (при длине чуть меньше 20 см он имел увеличение в 40 раз без деформации изображения) ученого в начале 1672 года приняли в члены Королевского общества. Впрочем, несколько месяцев спустя он хотел аннулировать свое членство после научной полемики, вызванной публикацией его теории о природе света и цвета. Ньютона можно считать создателем современных телескопов. Его модель имела в конце трубки зеркало параболической формы, на которое попадало увеличенное изображение, отраженное во втором зеркале, расположенном диагонально по отношению к окулярной линзе (рисунок 2).

ГДЕ ПОРТРЕТЫ ГУКА?

Несмотря на научную известность Роберта Гука и на то, что несколько раз с него писались портреты, до нас не дошло ни одно его изображение. Сохранилось лишь несколько словесных описаний. Два из них, оставленные друзьями Гука, во многом совпадают: это был человек низкого роста, немного кособокий, худого телосложения и с большой головой. Периодически появляются новости о находке какого-либо потерянного портрета Гука, но вскоре они опровергаются. Последняя такая новость звучала в 2003 году. В трехсотлетнюю годовщину со дня смерти Гука историк Лайза Джардин заявила, что она обнаружила один из портретов ученого; на этот раз изображение больше совпадало с описаниями. Джардин использовала его на обложке биографии ученого, которую она вместе с другими тремя соавторами опубликовала в 2003 году. Однако позже оказалось, что на картине был изображен фламандский ученый Ян Баптиста ван Гельмонт (1579-1644). Некоторые злые языки именно на Ньютона возлагают ответственность за потерю портретов Роберта Гука. В тот период, когда Ньютон занимал пост президента, Королевское общество переезжало в новые здания на улице Крейн-корт. Вероятно, во время этого переезда и переноса всех вещей изображения Роберта Гука и были утеряны.

Построив телескоп, Ньютон продемонстрировал выдающееся мастерство. Несколько десятилетий спустя кто-то спросил ученого, кому он поручил строительство телескопа. «Я его построил сам», – ответил Ньютон. «А где вы взяли инструменты?» – снова спросил собеседник. «Я сам их сделал». Смеясь, Ньютон добавил: «Если бы мне пришлось доверять другим людям делать мне инструменты или другие вещи, я бы никогда ничего не создал». Но дело было не только в ловкости рук, но и в осведомленности в самых разных сферах. Ньютон сам cделал из двух медных пластинок зеркала телескопа и сам их отполировал, создав для этого специальный абразив.

«НА ПЛЕЧАХ ГИГАНТОВ»

Роберт Гук, человек, с рассказа о котором началась эта книга, был, наверное, лучшим из английских ученых XVII века… За исключением, естественно, Исаака Ньютона. Последние годы жизни Гука были омрачены горечью и злостью, так как он осознавал, что Ньютон превзойдет границы науки и останется в истории. Пройдут годы, и мало кто за пределами узкого мира науки будет помнить, кем был Роберт Гук, в то время как имя Исаака Ньютона будет известно даже самым необразованным людям.

В конце жизни Гук страшно похудел, съедаемый диабетом и ненавистью к Ньютону. Читая его дневник, мы видим сломленного человека, который понимает, что будущие поколения вспомнят о нем не за его собственные заслуги, а за то, что он был одним из недоброжелателей Ньютона. И это при том, что самому Гуку принадлежит немало научных достижений, а одна из его биографий называется «Лондонский Леонардо».

Гук и Ньютон довольно долго скрещивали диалектические шпаги. Разногласия начались после первой публикации Ньютона о природе света и цвета (1672). Лукасовскому профессору совсем не понравилась критика со стороны Гука, а тем более обвинения в плагиате: ранее Гук заявлял о своем авторстве в отношении части «Математических начал натуральной философии».

Этот и другие научные споры могли бы и не зайти так далеко, если бы Ньютон выражал подобающую благодарность своим коллегам, как в свое время это рекомендовал ему сделать Галлей. Но Ньютон всегда неохотно благодарил других, в то время как сам требовал соответствующего заслугам признания, которого, как считал ученый, он заслуживал. И несмотря на это – вот ведь парадокс! – в истории осталась фраза Ньютона, обращенная к Гуку в ходе переписки в 1676 году: «Если я и видел далеко, то только потому, что стоял на плечах гигантов», – она обычно интерпретируется как проявление благодарности со стороны Ньютона Гуку.

Гравюра, изображающая один из экспериментов Ньютона со светом, и копия телескопа-рефлектора, построенного Ньютоном.

Рисунок Ньютона, изображающий преломление белого света через призмы.

ТАЙНАЯ ЖИЗНЬ МАЛЕНЬКОГО МИРА

Неутомимое любопытство Гука направило его внимание в такие сферы, как механика, астрономия, оптика и архитектура. Однако сегодня его чаще вспоминают благодаря вкладу в биологию, которой он посвятил свою работу Micrographia («Микрография»), совершенно исключительную в истории науки. Опубликованная в 1665 году, она вобрала в себя результаты более 30 лет наблюдений, сделанных при помощи микроскопа. Этот прибор в то время был относительно новым, и Гук в полной мере использовал его невероятные возможности. Огромный успех книги, который пришел практически сразу после публикации, объясняется необыкновенными гравюрами (некоторые из них были в четыре раза больше формата самого фолианта), на которых с поразительными подробностями были изображены различные части насекомых – мух, блох (на рисунке внизу) и вшей. На страницах «Микрографии» в первый раз появляется термин «клетка», а также в книге Гук формулирует свои идеи о планетарном движении, волновой теории света и органическом происхождении ископаемых.

Правда в том, что переписка продолжила, по крайней мере формально, ссору, вызванную разными взглядами на природу света и цвета. Хотя Ньютон действительно написал эту фразу, он не был оригинальным. Это легко можно понять, если оглянуться назад и прочитать слова Иоанна Солсберийского (XII век), который в своей Metalogicon («Металогика», 1159), цитируя Бернарда Шартского, написал: «Мы подобны карликам, сидящим на плечах гигантов, видящим больше них и дальше них не потому, что наше зрение более остро или наш рост высок, а потому что мы можем подняться над их величием».

Конфликт с Гуком, кроме вопросов первенства в открытиях, был связан и с личными размолвками. Ученые перешли к грубости и жестокости на фоне изысканных декораций Королевского общества. В некотором смысле в столь тесной научной компании, какую представляло собой Королевское общество, не было места для двух личностей такого масштаба. Гук стал первым, кто пришел и засиял блеском своего гения, но продолжалось это до тех пор, пока не появился Ньютон и не затмил свет Гука, чьи язвительные замечания и обвинения в плагиате были попытками ослабить позиции противника и вернуть утраченный авторитет. Только смерть заставила Гука покинуть пост президента Королевского общества и уступить его Ньютону.

ДУШЕВНЫЙ КРИЗИС

Летом 1693 года, в свои последние годы в Кембридже, Ньютон пережил глубокий кризис, природа и последствия которого до сих пор являются предметом дискуссий. Следы душевного расстройства, которым он страдал в те месяцы, можно найти в его письмах к знакомым – Сэмюэлу Пипсу и Джону Локку, где, среди прочего, Ньютон обвинял адресатов в том, что они хотят впутать его в темные дела и желают ему смерти. Собеседники выразили открытое возмущение. Ситуация, казалось, изменилась к лучшему в начале осени; в октябре Ньютон оправдывался в письме Джону Локку: «Прошлой зимой я слишком часто засыпал у огня, я начал страдать бессонницей, и нервное возбуждение, которое охватило меня этим летом, полностью выбило меня из колеи. Когда я писал вам, я спал не более одного часа за ночь на протяжении пятнадцати дней и совсем не спал пять дней. Я помню, что вам писал, но совсем не могу вспомнить, о чем».

Кажется, все понятно: Ньютон в 1693 году страдал каким- то психическим расстройством. Хотя не совсем ясно, какой стадии достигла болезнь. Некоторые историки заявляют, что речь идет об обычной депрессии, в то время как другие убеждены, что это расстройство повредило научным способностям Ньютона на всю оставшуюся жизнь. Хотя последнее утверждение немного преувеличено, однако известно, что с тех пор Ньютон перестал быть прежним. Он больше не предпринимал новых значительных исследований, а только дорабатывал – в той мере, в какой это ему позволяла административная деятельность, – предыдущие результаты. Конечно, сказывался и возраст: Ньютон перешел в 1692 году символическую границу в 50 лет, а по достижении этого возраста значительный вклад в науку делали немногие ученые, особенно из числа математиков и физиков.

Еще более туманны причины и обстоятельства душевной болезни Ньютона. Согласно одной гипотезе, она была вызвана напряжением и усталостью, накопленной за годы работы над «Математическими началами натуральной философии», – что-то вроде послеродовой депрессии. Другая гипотеза утверждает, что болезнь могла быть вызвана возможным отравлением ртутью во время алхимических экспериментов. В последней четверти XX века, в разгар изучения архива ученого, развернувшегося после Второй мировой войны, был даже проведен анализ нескольких волос, предположительно принадлежавших Ньютону, в которых действительно было обнаружено высокое содержание ртути, хотя сама гипотеза об отравлении встретила убедительные возражения.

Дополнительная причина личного характера связана с фигурой человека, сыгравшего важную роль не только в конфликте с Гуком об анализе, но и в жизни Ньютона вообще. Речь идет о швейцарском аристократе Никола Фатио де Дюилье. Фатио родился в Базеле в 1664 году, первой его страстью была астрономия; но Гюйгенс, с которым он познакомился в 1686-м, направил его на стезю математики. В 1687 году, уже живя в Англии, Фатио смог разработать собственную версию анализа бесконечно малых, хотя она не была такой сложной, как у Ньютона или Лейбница.

Платон мой друг. Аристотель мой друг. Но мой самый большой друг – истина.

Ньютон, Quaestiones quaedam philosophicae ( «Некоторые философские вопросы» )

В последующем он поддерживал тесную дружбу с Ньютоном, но после того как был замечен в 1706 году в связях с группой французских гугенотов, бежавших в Англию, Фатио впал в немилость, и не только в глазах Ньютона, но и у всего европейского научного сообщества, и это положение сохранялось до самой его смерти в 1753 году.

Фатио приехал в Англию незадолго до публикации «Математических начал», которых уже ожидали все ученые, и сразу же почувствовал на себе влияние новой натурфилософии. Они смогли познакомиться с Ньютоном в 1689 году – этим годом датируются первые письма Ньютона к Фатио. Многие исследователи жизни английского гения соглашаются, что в этих письмах звучат довольно-таки необычные интонации: подобную привязанность и человеческое тепло не удалось найти больше нигде в переписке ученого.

Дружба Фатио и Ньютона достигла своей кульминации на рубеже 1692 и 1693 годов. После посещения Ньютона в Кембридже Фатио пережил несколько приступов лихорадки, которые едва не стоили ему жизни, и Ньютон предложил другу денег и разместил в своих комнатах в Тринити-коллед- же: «Я боюсь, что воздух Лондона вреден для вашего здоровья, и поэтому я бы хотел, чтобы вы переселились сюда так скоро, как вы сможете отправиться в путешествие. Я бы хотел, чтобы вы приехали и вам стало лучше, а также чтобы вы сберегли деньги и полностью восстановились. Когда вы поправитесь, вы сможете решить, хотите ли вы вернуться домой или остаться здесь».

Они обменивались письмами и не оставляли тему переезда Фатио: «Сэр, я желал бы прожить всю свою жизнь, – написал Фатио весной 1693 года, – или большую ее часть в вашей компании, если это возможно, конечно, если это не стало бы обузой для вас, вашего дома или вашей семьи».

После Ньютон несколько раз приезжал в Лондон, чтобы увидеться с другом. И вдруг отношения дали трещину: Фатио, видимо придя в себя после лихорадки, отправился в 1693 году в Швейцарию, чтобы уладить вопросы наследства, а чуть позже у Ньютона начался глубокий душевный кризис.

К этим возможным причинам психологических проблем, с которыми столкнулся Ньютон в 1693 году, следует добавить еще одну – ощущение, что он задыхается в закрытой атмосфере Кембриджа после того, как познал лондонскую свободу.

БОРЬБА ПРОТИВ ВОЛИ КОРОЛЯ

С окончанием работы над «Математическими началами натуральной философии» совпал кризис, разразившийся в Кембридже и повлекший для Ньютона неожиданные последствия: он показал, что, возможно, ученый слишком долго находился в стенах университета и наступил момент отправляться к более широким горизонтам. Началось все с того, что король Яков И, яростный католик, в своем крестовом походе за возвращение Англии под власть папы римского понял, что церковь должна усилить свое влияние в университетах Оксфорда и Кембриджа. В течение февраля 1687 года король прислал в Кембридж несколько писем с требованием, чтобы монаху-бенедиктинцу Альбану Френсису присвоили степень магистра без соответствующих экзаменов и не требуя от него никаких клятв в религиозной верности. Отец Френсис намеревался обосноваться после своего назначения в Кембридже и иметь доступ к решению некоторых вопросов, используя привилегии, которые давала его степень. Можно было ожидать, что это только начало и вскоре в университете появится еще больше католических монахов. Кембридж принял вызов и приготовился защищаться. Прежде всего, университет отказал монаху в степени и направил делегацию к королю. В число восьми защитников, которые должны были выступить против распоряжения монарха, входил и Ньютон.

«ЗАКРОЙТЕ ДВЕРЬ!»

Среди анекдотов о Ньютоне есть один, повествующий о его первом и единственном выступлении в английском парламенте, которое состояло в том, что он попросил привратника закрыть дверь (по другим свидетельствам, окно), откуда на ученого дуло. В сохранившихся парламентских отчетах ничто не говорит об участии Ньютона в дебатах, и кажется, что этот анекдот – выдумка. Впрочем, парламентское красноречие Ньютона не вошло бы в историю как образец выразительности. Конечно, у ученого могло быть немало причин, чтобы держать рот на замке. За годы его представительства в палате обсуждалась серия законов о религиозном инакомыслии, допускающих более широкую свободу вероисповедания для всех, кроме католиков, которые в результате папистской политики короля Якова II считались угрозой верховной власти и суверенитету государства, и «любого человека, который отрицал бы, устно или письменно, доктрину о Святой Троице». Арианину Ньютону эти прения не могли быть по душе.

Университетское представительство выступило против церковной комиссии. На одной из встреч вице-канцлер Кембриджа, Джон Пичелл, был признан виновным в непослушании, лишен своих званий и постов и соответствующего жалованья.

После наказания, которому подвергся один из членов делегации, угроза возмездия нависла и над остальными семью участниками миссии. Несмотря ни на что, ученые выстояли. Они вооружились манифестом, в котором опровергали все обвинения против Пичелла и требовали соблюдения прав университета. Они также требовали признать решение Кембриджа, восстановить Пичелла на его должностях и вернуть ему его привилегии. Все указывает на то, что главным автором манифеста был Ньютон.

Университетских представителей обвинили в упрямстве и пагубном поведении, хотя церковная комиссия отнесла его на счет лояльности вышестоящему руководству и поэтому не назначила никакого наказания. Несмотря на сильное неодобрение власти, университет добился победы: бенедиктинец Френсис так и не получил степень магистра. Более того, Яков II изменил и свое отношение к университетам – он находился в опасном положении, и англиканцы угрожали его трону. Ровно полтора года спустя разразилась революция, и последний католический король Англии отправился в изгнание. Его место заняли дочь короля, Мария, исповедовавшая протестантство, и ее муж, еще более убежденный протестант, Вильгельм III Оранский, правитель Нидерландов с 1672 года.

Участие Ньютона в этом эпизоде помогло ему затем при выдвижении в парламент в качестве представителя Кембриджа. Правда, вступил он на эту должность не сразу, в 1701 и 1705 годах его не избрали.

Парламентская авантюра позволила гению войти в светский мир английской столицы; известно, что он ужинал с Вильгельмом Оранским в январе 1689 года и провел почти весь 1690 год в Лондоне. Ученый явно хотел выйти за университетские рамки.

Затем наступил душевный кризис, после которого Исаака Ньютона охватило чувство, будто Кембридж из монастыря превратился в тюрьму. Этот период в его жизни совпал и со спадом в научных исследованиях.

ГЛАВА 5 Перед лицом английской науки

Ньютон был избран в парламент Англии и даже стал управляющим монетного двора. Также он возглавлял престижное Королевское общество, довольно авторитарно контролируя его деятельность. С этой высоты ученый вел знаменитую дискуссию с Лейбницем о первенстве в открытии анализа бесконечно малых.

С конца 1680-х годов Ньютон упорно пытался подыскать себе должность в Лондоне; сначала он воспользовался политическими контактами Джона Локка, а затем влиянием Чарльза Монтегю, первого графа Галифакса. Избранный членом парламента в 1689 году, Монтегю был назначен лордом казначейства в 1692-м; в 1697 году он стал главой казначейства и председателем палаты общин. Как говорится в энциклопедии «Британника», Монтегю был финансовым гением, создавшим несколько ключевых элементов финансовой системы Англии.

С Ньютоном они познакомились около 10 лет назад, дядя Монтегю был тогда директором Тринити-колледжа, а теперь они снова встретились, уже в парламенте. Сыграли ли свою роль схожие политические взгляды или научный авторитет Ньютона, но, как бы там ни было, Монтегю в 1696 году назначил ученого директором Монетного двора Англии. Девять лет спустя Ньютону снова окажется на руку это знакомство с Монтегю, который при раздаче доходных мест добился того, что королева Анна произвела Ньютона в рыцари на церемонии в Три- нити-колледже в 1705 году, на которой брат Монтегю также получил титул сэра, а сам Монтегю – степень почетного доктора.

Известно мнение Вольтера по поводу назначения Ньютона главой Монетного двора: «В юности я думал, – признавался он в своих «Философских письмах» в 1734 году, – что Ньютон разбогател благодаря своим заслугам. Я полагал, что суд и власти Лондона избрали его главой Монетного двора единогласно. Отнюдь нет. У Исаака Ньютона имелась очаровательная племянница, мадам Кондуитт, и она завоевала сердце министра Галифакса. Все эти флуктуации и гравитации бесполезны, если у тебя нет хорошенькой племянницы». Вольтер или преувеличил сплетню, или не был должным образом осведомлен, потому что когда Ньютон был назначен главой Монетного двора, его племяннице было всего 17 лет, и лорд Галифакс еще не был с ней знаком. Кэтрин Бартон родилась в 1679-м и была дочерью сестры Ньютона; Исаак добился для нее и двух ее братьев годовой ренты после смерти их отца в 1693 году. Кэтрин переехала в дом к Ньютону через некоторое время после того, как ученый обосновался в Лондоне, и оставалась с ним в течение 20 лет, даже став женой Джона Кондуитта в 1717 году.

Хотя связи между назначением Ньютона на пост главы Монетного двора и отношениями его племянницы с лордом Галифаксом не было, тем не менее между ними действительно возникла сильнейшая романтическая связь, и когда лорд Галифакс в 1715 году умер, племянница Ньютона унаследовала от него значительное состояние. Галифакс в своем завещании написал: «В знак искренней любви, приязни и восхищения, которые я так долго получал от нее как малый залог удовольствия и счастья от бесед с нею». Как язвительно заметил Флемстид, слишком много денег за искусство вести беседу. Злые языки обвиняли пуританина Ньютона в том, что внебрачная связь его племянницы с влиятельным политиком продолжалась с его позволения. Один из источников говорит, что Кэтрин и лорд Галифакс тайно обвенчались, однако это ничем не подтверждается.

Мисс Бартон обладала острым умом и имела славу красавицы и соблазнительницы, причем не только в Англии, но и в Европе. Отчасти своей известностью она была обязана слухам об отношениях с лордом Галифаксом, отчасти – рассказам Вольтера. Говорили, что Кэтрин сделала вечера в доме своего дяди желанными праздниками, которые с удовольствием посещали ученые, политики, поэты и философы со всего света, и неизвестно, для чего они это делали: чтобы встретиться с английским гением или с его ослепительной племянницей.

Когда Ньютон стал директором Монетного двора, там полным ходом шел грандиозный процесс перечеканки монет – одна из мер, принятых Монтегю для контроля дефицита государственного бюджета, обрушившегося после войны с Францией. С начала 1696 до середины 1698 года было отчеканено в два раза больше монет, чем за 30 предыдущих лет. Несмотря на то что пост интенданта и пост директора Монетного двора считались синекурой, Ньютон включился в процесс со всей своей работоспособностью, и даже Монтегю признал позже, что он не смог бы добиться успеха, если бы Ньютон не был так предан делу. Вознаграждение за труд ученого оставалось, однако, в руках интенданта, который, кроме своего жалованья, получал доход с отчеканенных монет: 22 000 фунтов за работу, которую в действительности делал Ньютон (жалованье интенданта было 500 фунтов в год, а директора – 400).

БОЛЬШЕ МЯСА, ЧЕМ ОВОЩЕЙ

Несмотря на значительные доходы Ньютона, биографы рисуют нам его лондонскую жизнь лишенной роскоши и внешнего блеска. Питался ученый скромно, если не сказать скудно, и придерживался вегетарианства. Правда, эти описания плохо соответствуют письменным источникам: у Ньютона была собственная карета, шесть слуг, сохранились счета, за которыми усматриваются ужины, достойные Пантагрюэля. В одном из них перечисляются один гусь, две индейки, два кролика и одна курица – все это в одну неделю. «После смерти, – писал Уэстфол, – в его деле о наследстве была задолженность мяснику в 10 фунтов, 16 шиллингов и 4 пенса и еще два долга на общую сумму 2 фунта, 8 шиллингов и 9 пенсов продавцам дичи и рыбы. Для сравнения, продавцу фруктов он был должен всего 19 шиллингов, лавочнику – 2 фунта, 8 шиллингов и 5 пенсов. Счет в 7 фунтов и 10 шиллингов за приблизительно 15 бочек пива позволяет нам немного усомниться в героической умеренности ученого».

Видя такое положение дел, Ньютон использовал первую же возможность, чтобы занять пост интенданта, что и случилось в 1699 году. Несмотря на то что лорд Галифакс попал в немилость, освободившаяся должность была передана Ньютону. За 28 лет на этом посту до самой своей смерти ученый зарабатывал в среднем более 2000 фунтов, большую часть этой суммы – за чеканку монет. Такое жалованье было доступно немногим высшим чиновникам короны.

В обязанности ученого в Монетном дворе входило и преследование фальшивомонетчиков. Дело, которое Ньютон считал «унизительным и опасным», сначала было совсем не в его вкусе, хотя потом он подошел к нему со свойственным вниманием, напором, тщательностью и даже страстью. Обширная сеть осведомителей и шпионов, созданная за годы работы, позволила Ньютону иметь информаторов в любом месте, где могли пострадать интересы Монетного двора, будь то самое дно Лондона или тюрьма. Его педантичные и исчерпывающие отчеты помогли отправить на виселицу не одного фальшивомонетчика, а мольбы преступников о прощении не оставляли следа в его непреклонной душе.

ПЕРЕД ЛИЦОМ АНГЛИЙСКОЙ НАУКИ

В этот период своей жизни Ньютон, добившись почестей и признания, стоял во главе английской науки и руководил ею с присущей ему властностью. Во время ссоры с Джоном Флемстидом ученый показал себя с самой худшей стороны.

Флемстид был первым королевским астрономом Англии и одним из людей, стоявших у основания астрономической обсерватории в Гринвиче, он же стал ее первым директором. Флемстид составил великолепный каталог звездного неба, включавший около 3000 небесных тел. Этот каталог считался первым большим достижением обсерватории. Едкая дискуссия, возникшая между ним и Ньютоном, разгорелась именно из-за этого каталога и наблюдений за траекторией Луны. Данные были необходимы Ньютону для того, чтобы закончить свою на тот момент неудовлетворительную лунную теорию: он хотел знать, верны ли его уточнения для решения задачи трех тел, но для этого их нужно было сравнить с данными обсерватории Флемстида. Для того чтобы избежать критики, которую могла спровоцировать слабость теории, и чтобы его ореол гения не пострадал в случае, если мир узнает о неудачных попытках объяснить непоследовательность лунной траектории, Ньютон хотел сохранить свои исследования в относительном секрете. Флемстид, со своей стороны, не хотел держать сотрудничество с ученым в тайне.

Я смотрю на себя как на ребенка, который, играя на морском берегу, нашел несколько камешков поглаже и раковин попестрее, чем удавалось другим, в то время как великий океан истины продолжает хранить от меня свои тайны.

Исаак Ньютон

Первые намеки на ссору возникли из-за столкновения этих противоположных интересов. Когда Флемстид захотел упомянуть в одной публикации, запланированной на 1699 год, о 150 положениях Луны, данные о которых он предоставил «славнейшему Ньютону для совершенствования его лунной теории», в ответ на это он получил довольно агрессивное письмо, в котором Ньютон категорически запретил упоминать его имя: «Вы можете оповещать весь мир, если вам так заблагорассудится, о том, сколько наблюдений разного рода вы сделали и какие расчеты провели для исправления теорий небесных движений. Но существуют моменты, когда ваши друзья не должны упоминаться без их на то одобрения. Поэтому я надеюсь, что вопрос будет решен, и вы избавите меня от ненужного внимания к моей персоне».

С 1704 по 1716 год Ньютон, думая завершить второе издание своих «Математических начал» вразумительной лунной теорией, давил на Флемстида, чтобы тот поторопился с публикацией звездного каталога. Более того, Ньютон добивался, чтобы разработка каталога велась в первую очередь с данными, которые интересовали больше всего его самого.

Сэр Исаак, ни минуты не сомневаясь, использовал в личных целях весь авторитет Королевского общества – так же он поступит и во время спора с Лейбницем. Ньютон возглавил научное общество в 1703 году, после смерти Гука. Его назначение было правильным решением для Общества, которое до тех пор возглавляли люди, имевшие больше политический, нежели научный вес. Эти номинальные президенты отсутствовали на собраниях, а если и приходили, то для вида; один из них не явился ни разу за все пять лет, проведенных на посту. Ньютон же присутствовал в среднем на трех из четырех собраний. Он также предложил улучшить работу Общества, назначив ответственных за опыты в каждой научной области. Одновременно Ньютон постарался увеличить свое влияние на Общество, назначая при малейшей возможности на управляющие должности (по мере того как освобождались места) своих доверенных людей. Всего за пять лет он получил абсолютный контроль над Королевским обществом.

Вы стерпели бы, если бы ваши труды были вырваны из ваших рук и переданы вашим врагам, которые к тому же ничего в них не понимают?

Флемстид о публикации своих астрономических наблюдений без его согласия

Ньютон, не задумавшись, использовал свое положение президента Королевского общества и политическое влияние, которое он имел, будучи интендантом Монетного двора Англии, чтобы осадить Флемстида. Он добился того, что королева передала обсерваторию под контроль Королевского общества, то есть под контроль самого Ньютона. Флемстид, однако, был крепким орешком и в ходе бурного собрания заявил, что все инструменты в обсерватории являются его частной собственностью и он не собирается отдавать их «сыщикам», которых президент Общества послал в обсерваторию.

МОЛОТ РАЗДОРА

Ньютон при управлении Королевским обществом не отказывал себе в некоторой театральности. Так, были изменены отдельные предписания о форме проведения встреч: «Никто, кроме президента, не имеет права занимать место во главе стола, а два его секретаря будут располагаться на противоположном конце, – говорилось в приказе, принятом в 1711 году. – Исключение составляет присутствие иностранного почетного гостя и оставляется на усмотрение президента. Ни один член Общества не может разговаривать с другим или другими во время пленарных сессий, особенно таким тоном, который может прервать ход дебатов в Обществе, а если кто-либо хочет высказаться, то должен сначала обратиться к президенту». Фактически Ньютон запретил, чтобы на столе лежал молоток для призвания к порядку, если он сам не присутствовал на заседании, – это его распоряжение было отменено Обществом вскоре позже смерти сэра Исаака. Уэстфол очень верно описал положение: «После 1710 года в Обществе воцарился имперский тон».

Но Флемстид ничего не мог поделать, кроме как признать поражение, поскольку Ньютон добился королевского указа о частичной предварительной публикации каталога. Когда кто- то попробовал утешить астронома, утверждая, будто все это было сделано в его же интересах, Флемстид ответил, что его враги украли результаты работы всей его жизни и вдобавок собираются их опубликовать лишь частично, обесценив его труд и добавив в него ошибок.

В конце концов публикацией каталога занялся Галлей, и в 1712 году из типографии вышли 400 экземпляров. Несмотря на то что книга была подготовлена не слишком тщательно и в ней встречались опечатки в некоторых расчетах, Галлей заработал на каталоге больше, чем сам Флемстид. Кроме того, Ньютон вычеркнул имя Флемстида в 15 местах. Тот, однако, не сдался. Он завладел 300 экземплярами тиража и сжег их у дверей обсерватории. Потом, как уверял Флемстид в уже упомянутом письме, он собрал все свои наблюдения. Полный каталог был опубликован в 1725 году, шесть лет спустя после смерти астронома, под названием Historia Coelestis Britannica («Британская история неба»). Книга должна была включать предисловие, написанное Флемстидом в 1717 году, в котором он обвинял Ньютона в обмане и предательстве, а себя представлял мучеником науки. Это предисловие по цензурным соображениям было удалено.

«ВТОРЫЕ ИЗОБРЕТАТЕЛИ НЕ ИМЕЮТ ПРАВ»

Конфликт между Ньютоном и Лейбницем за первенство в открытии анализа бесконечно малых, возможно, является самым известным из всех конфликтов в истории науки: он был в некотором роде прецедентом, который помогал решать подобные споры в будущем. Напомним, что именно в этом споре прозвучали ставшие крылатыми слова Ньютона: «Вторые изобретатели прав не имеют».

В современном мире, который стремится к предельной специализации, нас удивляет образ мыслей такого человека, как Лейбниц, мастера в любом деле, или, как отмечает «Бри- танника», «одного из самых могучих духом людей в западной цивилизации». Он обо всем жаждал узнать и во все сделать свой вклад, будь то области, в которых он сегодня признан более всего, – философия, физика или математика, или занятия, внешне далекие от интеллектуальной сферы: гидравлические прессы, дренирование шахт при помощи ветряных мельниц, геология или производство льна.

ВАЖНОСТЬ СИСТЕМЫ ЗАПИСИ

Значение, которое Ньютон и Лейбниц придавали записи расчетов, было очень разным. При разработке метода в 1675-1676 годах Лейбниц ввел свою нотацию (которую мы применяем до сих пор: dx, dy, fdx) и широко использовал ее. Это позволило ему идентифицировать интегрирование и дифференцирование и отметить их обратный характер. Ньютон, наоборот, не уделял нотации внимания до начала 1690-х, когда стал систематически использовать пунктированные переменные (х',у',z') для обозначения флюксии (он никогда не создавал нотации для интегралов). Лейбниц во время полемики настаивал на важности обозначений и на том, что у Ньютона такой системы не было. Ньютон в ответ стал уверять, что разработал свою систему за 15 лет до того, как он в действительности это сделал. Вопрос нотации, однако, имел большую историческую важность; система Лейбница гораздо лучше предложенной Ньютоном. Она не только позволяет более эффективно применять анализ бесконечно малых, но и облегчает обучение. Это достоинство, а также вклад последователей – семьи Бернулли и Эйлера – позволили анализу Лейбница начать триумфальное шествие в XVIII веке. Английские аналитики, со своей стороны, настаивали на том, что следует использовать несовершенную и негибкую нотацию Ньютона. В конце концов английской математике пришлось капитулировать перед прогрессом, достигнутым на континенте. Символично создание в 1812 году Чарльзом Бэббиджем, Джоном Герше- лем (сыном астронома Вильяма Гершеля) и Джорджем Пикоком аналитического общества, одной из целей которого была замена записи Ньютона системой Лейбница. Три партнера сделали реальностью один из своих принципов: «Делать все, что можно, чтобы оставить этот мир лучшим, чем мы его нашли».

Среди попыток Лейбница разбираться во всем и обо всем иметь свое мнение мы находим некоторые центральные идеи, например поиск characteristica universalis, то есть универсального языка, который должен быть точным, как скальпель. Его версия анализа бесконечно малых, такая цельная и наполненная прекрасными обозначениями, была героической поэмой в поиске языка characteristica universalis, который навел бы порядок среди квадратур, касательных, максимальных и минимальных значений, центров тяжести и т. д. Отголоски идеи универсального языка мы находим в записях, сделанных Лейбницем в конце жизни. В них он признает, что его вкладом в разработку анализа бесконечно малых был язык, позволивший оперировать множеством задач, подход к которым раньше был совершенно разным.

Несмотря на то что методы анализа, открытые Ньютоном и Лейбницем, были концептуально разными, спор разгорелся все равно. Его можно было бы избежать, если бы Ньютон опубликовал трактаты об анализе, написанные между 1669 и 1672 годами, поскольку Лейбниц, который разработал свою версию анализа в период между 1672 и 1676 годами, почти с самого своего приезда в Лондон в 1673 году контактировал с английскими учеными. Однако в те годы Ньютон и Лейбниц через третьих лиц всего лишь обменялись несколькими письмами, которые сыграли свою роль в последующей дискуссии.

Хотя Ньютон первым открыл и развил анализ, Лейбницу принадлежит первенство публикации. В первой статье 1684 года Лейбниц не упоминает Ньютона, хотя делает это во второй, в 1686 году. Ньютон ссылается на Лейбница при первой же возможности, то есть во время первого издания в 1687 году «Математических начал натуральной философии». Скорее всего, Ньютон стремился заявить о своих притязаниях на первенство в открытии анализа; но поскольку он до сих пор ничего на эту тему не опубликовал, в отличие от Лейбница, и поскольку, за исключением узкой компании, близкой Ньютону, никто не знал о его переписке с Лейбницем, это упоминание восприняли как признание Ньютоном Лейбница независимым изобретателем анализа бесконечно малых.

Начиная с конца 1691 года, четыре года спустя после появления «Математических начал натуральной философии», среди ученых начали звучать первые обвинения в адрес Лейбница. Так, Фатио де Дюилье писал Гюйгенсу: «При представлении господином Лейбницем своего дифференциального анализа сразу бросается в глаза, что это переделка того, что написал господин Ньютон, и, сравнивая, я не смог избежать ясного ощущения, что разница между ними такая же, как между совершенным оригиналом и кустарной копией». В 1695 году Джон Валлис говорил Ньютону, что в Голландии его метод завоевывает все больше поклонников… но под именем дифференциального анализа Лейбница. Валлис в итоге опубликовал в 1699 году, в одном из томов своих математических работ, сборник писем, которые касались изобретения анализа. Это фактически меняло ситуацию, так как появились документы, которые могли подтвердить, что хотя Лейбниц и опубликовал свои результаты раньше Ньютона, первенство все же принадлежит англичанину, который сообщил об этом – правда, частично и завуалированно – и самому Лейбницу. Летом 1699 года Лейбниц написал: «Валлис попросил моего позволения опубликовать мои старые письма. Так как мне нечего бояться, я ответил, что он может опубликовать все, что посчитает нужным». Очень скоро стало понятно, что Лейбниц серьезно ошибался насчет «мне нечего бояться».

«ПО КОГТЯМ УЗНАЕШЬ ЛЬВА»

Конфликту способствовал известный случай, произошедший в те годы. Речь идет о вызове, брошенном в июне 1696 года Иоганном Бернулли, учеником Лейбница. Задача была о брахистохроне: требовалось найти форму кривой, по которой материальная точка под воздействием исключительно силы тяготения быстрее всего скатится из одной заданной точки в другую. В мае 1697 года Лейбниц взялся опубликовать четыре полученных решения: их авторами были сам Лейбниц, маркиз Лопиталь, Якоб Бернулли и его брат, предложивший задачу, Иоганн Бернулли. Но появился еще один ответ анонимного автора, который был опубликован в январе 1697 году в «Философских трудах»; этим анонимным автором, как известно, был Ньютон. Всего 70 слов, которыми ученый объяснял вполне простое решение, оказалось достаточно для того, чтобы Иоганн Бернулли догадался, кто за ним стоит. Он произнес: «Tanquam ex ungue leonem», что в переводе с латыни значит «По когтям узнаешь льва».

НЬЮТОН НАНОСИТ УДАР

Текст Иоганна Бернулли, в котором он ставит задачу о брахистохроне, начинался словами: «Я, Иоганн Бернулли, обращаюсь к самым блестящим математикам мира». Это был призыв, перед которым Ньютон не мог устоять, хотя по прошествии времени он произнес по поводу всей этой истории слова, не лишенные шовинизма: «Мне совсем не приятно, что какие-то иностранцы досаждают мне вопросами по математике». Решение Ньютона было следующим: «Пусть из данной точки А проведена прямая APCZ параллельно горизонтали. Пусть на ней будет описана произвольная циклоида AQP, пересекающая прямую АВ в точке Q, и вторая циклоида ADC, основание и высота которой относятся к основанию и высоте первой как AQ к АВ соответственно. Последняя циклоида будет проходить через точку В, и она будет той кривой, по которой вес силой своей тяжести спустится наиболее быстро из точки А в точку В».

Когда Лейбниц объявлял решения задачи о брахистохроне, он сказал, что предвидел, кто сможет ее решить: «И не будет недостойным указать, что только те решили задачу, о ком я был такого мнения, что они смогут решить. И действительно, это не кто иной, как достаточно проникнувшие в тайны нашего дифференциального анализа. Итак, кроме господина брата автора, предложившего задачу, и господина маркиза Лопиталя из Франции, я бы добавил имя господина Ньютона». Лейбниц не внес в список Фатио де Дюилье; кроме этого, из его утверждения можно сделать вывод, что Ньютон был его учеником в методе анализа.

Этого Фатио уже не мог вынести; он подготовил свой ответ, опубликованный в Лондоне в 1699 году, в котором заявил: «Факты убедили меня, что Ньютон был первым, открывшим этот анализ, уже много лет назад. Если Лейбниц, второй изобретатель, взял что-то у Ньютона, я предпочитаю оставить это на суд тех, кто видел письма Ньютона и его оригинальные рукописи. Ни скромнейшее молчание Ньютона, ни бесконечное тщеславие Лейбница, который при каждом удобном случае приписывает себе изобретение этого анализа, не введет в заблуждение тех, кто возьмет на себя труд изучить доступные материалы, как то сделал я».

Вероятно, старая дружба Фатио с Ньютоном еще больше подогрела ситуацию: Лейбниц мог подумать, что Ньютон уговорил Фатио обвинить соперника в плагиате, хотя тот мог действовать и по собственной инициативе, чтобы доставить радость другу.

Решение Ньютона включить в свою «Оптику» два математических приложения, особенно De quadratura curvarum («О квадратуре кривых»), было, без сомнения, связано с тем, что Фатио обвинил Лейбница в плагиате, а также с одним безусловным успехом Лейбница: он предугадал в анализе бесконечно малых инструмент, способный изменить всю математику, и вместе со своими учениками Якобом и Иоганном Бернулли и маркизом Лопиталем способствовал тому, что в последние десять лет XVII века анализ бесконечно малых превратился в мощный математический инструмент, доступный любому, кто хотел его изучать.

В начале 1709 года Джон Кейл обвинил Лейбница в плагиате на страницах «Философских трудов»: «Все эти положения следуют из известнейшей арифметики флюксий, которую без всякого сомнения первым придумал доктор Ньютон, как может быть легко проверено тем, кто прочитает опубликованные Валлисом письма; та же арифметика с новым названием и системой записи была потом опубликована доктором Лейбницем».

ПОЛЕМИКА ДЛИНОЙ В ЖИЗНЬ

«Философские труды» – журнал Королевского общества, что давало обвинению больший вес. Лейбниц был членом этого общества начиная с первого приезда в Лондон в 1673 году, так что в 1711 году он потребовал от Кейла опровержения.

Вероятно, математик недооценил противников. Он решил попросить помощи и защиты у Королевского общества, возглавляемого самим Ньютоном. Кроме того, учитывая национальные коннотации, сопровождавшие спор, конфликт представлялся в Англии как наступление континентальных ученых на британскую науку в лице Ньютона – ее надежды и опоры.

Вместо письма с опровержением, которое Лейбниц ждал от Кейла, он получил совершенно другой ответ: новые обвинения Кейла в еще одном письме, зачитанном на сессии Королевского общества 24 мая 1711 года. Получив письмо, Лейбниц в ответе на него признал авторство анализа и за собой, и за Ньютоном и попросил у Королевского общества покровительства и защиты от оскорблений Кейла. Здесь стоит упомянуть слова Ньютона: «Вторые изобретатели не имеют прав. Единственное право принадлежит первому, хотя бы другой и открыл сам по себе то же самое. Взять права первого изобретателя и разделить их между ним и другим было бы актом несправедливости». И еще: «Вторым изобретателям, даже если они и совершили на самом деле открытие, не полагается никакой чести; их титул или право недействительны. Следовательно, что же говорить о тех, у кого даже нет точных аргументов, доказывающих, что они действительно вторые изобретатели?»

Судьба Лейбница была решена. В ответ на его прошение Ньютон созвал комиссию, состоявшую из своих друзей и защитников. Чтобы придать какую-либо видимость беспристрастности, в последний момент в нее был включен представитель королевства Пруссии в Лондоне, который, тем не менее, не участвовал в принятии решения. Состав комиссии держался в тайне до середины XIX века. В течение 50 дней комиссия проверила все документы и вынесла вердикт. (На самом же деле практически весь отчет написал Ньютон собственноручно.) Хотя Лейбниц и не обвинялся в плагиате прямо, все четыре пункта отчета позволяли сделать такой вывод. Последний пункт гласил: «Итак, мы считаем, что верный вопрос не в том, кто изобрел тот или иной метод, а в том, кто был первым изобретателем метода. И мы считаем, что те, кто признал за господином Лейбницем первенство в открытии, имели плохое представление, или вовсе никакого, о более ранней переписке с господином Коллинзом и господином Олденбургом и что господин Ньютон владел этим методом на 15 лет раньше того, как господин Лейбниц начал публиковать его в Acta Eruditorum в Лейпциге. В связи с этими доводами признаем, что господин Ньютон был первым изобретателем, и наше мнение: господин Кейл, утверждающий то же самое, не нанес никакого оскорбления господину Лейбницу».

Сэр Исаак Ньютон, который почти божественной силой своего ума впервые объяснил с помощью своего математического метода движения и формы планет.

Из эпитафии Ньютона в Вестминстерском аббатстве

К решению комитета были приложены документы и письма, на которых оно было основано, и весь пакет был опубликован Королевским обществом. Копий было сделано немного, распространение отчета было скромным (хотя и продуманным), а в продажу отчет не поступал. Этот «недостаток» Ньютон исправил в 1722 году, шесть лет спустя после смерти Лейбница, опубликовав второе, расширенное издание, которое поступило в продажу.

Лейбниц горько жаловался на интриги Ньютона: «Они вынесли решение после того, как выслушали лишь одну из сторон, так что ничтожность процедуры очевидна», – писал ученый некоторое время спустя, так как опубликованные документы не только не вносили ясность в спор, но и ставили Лейбница в крайне сложное положение.

Конфликт достиг тогда своей высшей точки. На маневр Королевского общества Лейбниц ответил год спустя оскорбительным анонимным письмом, направленным против Ньютона и известным как Charta volans ("«Летящий листок»), в котором обвинял ученого в плагиате. Ньютон собственноручно переписал Charta volans, словно памфлет Лейбница придавал ему энергию и питал его жажду мести. Его ответом стал Account («Счет»), написанный с претензией на анонимность – хотя в авторстве сомневались немногие – и опубликованный в 1715 году в «Философских трудах». В этом длинном, жестоком и клеветническом выпаде против Лейбница Ньютон возвращал сторицей все свои обвинения и нападки. От Account сохранились только несколько черновиков, представляющих собой пример ярости, которая накатывала на Ньютона в самые сложные годы дискуссии (1712-1716) и даже в течение нескольких после смерти Лейбница. В такие моменты казалось, что ученый испытывает физическую необходимость высказать свою версию событий, снова и снова находить аргументы против Лейбница, копаясь в переписке, которую они вели друг с другом и с другими людьми. Ньютон, как одержимый, составлял письма, памятки, фиксировал наблюдения, все это исправлял, переписывал, менял фразы здесь, аргументы там, правил цитаты, добавлял оскорбления. Все или почти все такие записи – это версии писем, которые он так никому не отправил и не опубликовал. Все они хранятся как немые свидетели гнева.

И Ньютон, и Лейбниц принимали спор крайне серьезно, однако все же по-разному. Лейбниц, упоминая об этой дискуссии, был даже способен шутить: «Сложно ожидать, что судьи не будут зевать, умирая со скуки, если им придется вести такой длинный процесс, как наш»,- написал он знакомой. Смерть Лейбница 14 ноября 1716 года положила конец нарастанию конфликта – как и возможности будущего примирения. Хотя одна из сторон спора ушла в мир иной, конфликт не был исчерпан. Ньютон после этого прожил еще десять лет, и шесть из них все его мысли занимал этот спор.

Исаак Ньютон умер в Лондоне 31 марта 1727 года. Его останки покоятся в готической часовне Вестминстерского аббатства, где похоронены короли и другие достойные люди. Пантеон полон аллегорий. В верхней части находится Урания, муза астрономии, сидящая рядом с небесным шаром. Внизу – Ньютон, облокотившийся на тома своих трудов. Рядом с ним два ангела показывают ученому пергамент, на котором изображена схема Солнечной системы. На саркофаге из черного мрамора выделяется барельеф с высеченными фигурами детей, одна их группа играет с призмой и рефлекторным телескопом, в то время как другой ребенок взвешивает Солнце и планеты.

В ВЕСТМИНСТЕРСКОМ АББАТСТВЕ

Эта биография началась в лондонском кафе, а заканчивается в Вестминстерском аббатстве, где хранится память о более чем 3300 знаменитых британцах: поэтах, политиках, аристократах, ученых, военных, королях…

«Природы строй, ее закон
В извечной тьме таился,
И бог сказал: «Явись, Ньютон!»
И всюду свет разлился».

Эпитафия Александра Поупа на смерть Ньютона, которая не была принята

Один из них – Исаак Ньютон, тот, «кто в гении своем превзошел род человеческий», кем восхищался Гаусс. Также здесь покоятся его племянница Кэтрин, ее муж и, чуть в отдалении, лорд Галифакс. Величественность могилы Ньютона дает представление о восхищении ученым и уважении к нему со стороны его сограждан. Здесь есть и более скромные памятники: у Эдмунда Галлея, например, плита в форме кометы, на которой упомянуты некоторые его научные достижения. Покоятся здесь и люди, которые заслуживают большего напоминания о себе, нежели скромная плитка: таков случай Роберта Гука, над могилой которого в 2005 году установили в аббатстве черную плиту с именем и годом его смерти. Упомянем и третьего члена компании, сэра Кристофера Рена, чьи останки покоятся в храме Святого Павла – его архитектурном шедевре. Рен был первым человеком, похороненным в соборе (это произошло в 1723 году), а на его могиле написано: «Читающий эти строки, если ищешь ты памятник, оглядись вокруг».

Могила Ньютона находится в изящной готической часовне. «Здесь погребен сэр Исаак Ньютон» – написано на саркофаге из черно-коричневого мрамора, украшенном весьма помпезной скульптурой. Как сказал Вольтер, «он жил, почитаемый своими соотечественниками, и был похоронен как король, облагодетельствовавший своих подданных».

Список рекомендуемой литературы

Duran, A.J., Historia, con personajes, de los conceptos del calculo, Madrid, Alianza, 1996. -: La polemica sobre la invention del calculo infinitesimal, Barcelona, Critica, 2006.

Gleick, J., Isaac Newton, Barcelona, RBA, 2005.

Manuel, F.E., A Portrait of Isaac Newton, Cambridge (Mass.), Harvard University Press, 1968.

Newton, I., Analysis per Quantitatum Series, Fluxiones, ac Diffe- rentias, edition facsimilar у critica con traduction al castellano de J.L. Arantegui у notas de A.J. Duran, Sevilla, Real Sociedad Matematica Espanola у SAEM Thales, 2003. -: Optica, edicion en espanol con introduccion у notas de Carlos Solis, Madrid, Alfaguara, 1977.

Westfall, R.S., Isaac Newton: una vida, Cambridge, Cambridge University Press, 1996.

Указатель

characteristica universalis (универсальный язык) 151

De analysi («Анализ») 13,94-95, 98-101,108

De methodis («О методе») 95,96,98

De motu corporum («Движение тел no орбите») 57, 59

De quadratura curvarum («О квадратуре кривых») 102,107,155

De revolutionibus («О вращении небесных сфер») 23, 38, 42

experimentum crucis («решающий опыт») 126

Opticks («Оптика») 13,102, 107, 111, 123,124,126-128,155

Philosophical Transactions («Философские труды») 19,124,128,153, 155,156,158

«Божественная комедия» 39

Адамс, Джон 74 алгебра 7, 8,94

алхимия 12, 22, 28, 56, 79, 104, 107-116

анализ 7,8, 11

дифференциальный 83, 88, 93, 101,152-154

бесконечно малых 9, 12, 13, 27,

49,70,79,81,83-99,101-103, 110,137,141,144,150-152, 155,156

Аристотель 8, 20, 42, 47, 50, 68, 81, 137

Архимед 34,35,37,59, 90,93,107 астрономия 8, 9, 13, 18, 20, 21, 38, 39, 47, 77,103,111,134, 137

афелий 40-41

Барроу, Исаак 13, 98, 100-105, 112, 118

Бартон, Кэтрин 108, 109,144

Бернулли, Якоб 151,153,155

бесконечно малые 8,9, 90, 101

бесконечность 92, 96, 101

Библия 8,12, 23,42,44,107,111,117

Бог 22,24,39,40,45, 68,114,117,160

Бойль, Роберт 112

Больцано, Бернард 102

Браге, Тихо 45

Браункер, Вильям 19

Бруно, Джордано 42

Бэббидж, Чарльз 151

Бэкон, Френсис 8

Валлис, Джон 92,105,153,155

Вейерштрасс, Карл 83

Венера 38, 39, 43, 44, 48, 50, 115

вихрь 49,53,63 Вольтер 143,144, 161

Вулсторп 13, 21, 24,49,82

Галилей 8-10, 21, 23, 38,44,47-50, 86

Галифакс, лорд 143,144,146,160 (см. также Монтегю, Чарльз)

Галлей, Эдмунд 13, 17, 18, 20, 21, 33, 34,37, 54,57-62,64,73,93,132, 150,160

геометрия аналитическая 7, 71, 83, 98

Гершель, Уильям 72,151

Грегори, Джеймс 130

грегорианский календарь 13, 23

Грэнтем 13, 27, 28

Гук, Роберт 13,17,18, 21, 22,39,54, 56,57,61,62,93,125,128,131, 132, 134,135,148,159

Гюйгенс, Христиан 19,49,56,63, 68, 125,128,137,152

Данте Алигьери 39

Дарвин, Чарльз 107

де Муавр, Абрахам 33

Декарт, Рене 7, 38,49, 53, 63, 71,81, 98,124

десятичная система 7

Джонс, Уильям 100

Евклид 71,108

закон всемирного тяготения 10, 13, 37, 63, 65, 66,71-77,121,144, 156

Земля 8, 20,36,38-44,48-50, 52,53, 56,59, 64-67,69, 72,73, 75

индекс преломления 10,124-125

интеграл 9, 83, 87-90,92, 93, 101, 151

Иоанн 151,153-155

Кавальери, Бонавентура 92

католическая церковь 23, 42, 48, 66

Кейл, Джон 155-157

Кейнс, Джон Мейнард 109, 110

Кеплер, Иоганн 9, 21,38,45-47, 49, 51,52, 56,71

Кларк, Уильям 27-29

клетка 18,134

Коллинз, Джон 98,100,101,105, 157

Кондуитт, Джон 28, 108,109, 144

Коперник, Николай 8,9, 21, 23, 38-45

Королевское общество И, 12, 13, 17-19, 28,60,61,62,92,98,118, 124,131,135,141,148,149,156, 157,158

Коте, Роджер 68

Коши, Огюстен Луи 83, 102

Кромвель, Оливер 17

Лагранж, Жозеф Луи де 85, 93

Леверье, Урбэн 74, 77

Лейбниц, Готтфрид 13, 22, 27, 68, 83,88, 89,92,93,95,97,98,101, 103, 137,141,148,150-158

Локк, Джон 117,136,143

Лопиталь, маркиз 153,154,155

Лукас, Генри 102, 104

лукасовская кафедра 13, 21, 66,98, 102-104,112,117,118,132

Луна 23,38,39,42,48,50,52,53, 59, 64,66,67,69,73,75,146,147

Майер, Тобиас 72, 73 Марс 38,40, 42, 43, 44, 45, 72

масса 34,51,58, 63, 75, 78

«Математические начала» (Principia mathematica) 7,10, 12, 13, 25,31-78,102,107,111,123, 132,136-139,146,147,152

Меркурий 38,39,43-44,74-77

микроскоп 9, 134

Монетный двор 13,116, 141, 143- 146, 148

Монтегю, Чарльз 143,145 (см. также Галифакс, лорд) научная революция 7-9, 38

Нептун 72,74

обсерватория в Гринвиче 20,146

Олденбург, Генри 105, 157

оптика 124, 128, 130

Пембертон, Генри 68 перигелий 40-41,75-77

Пикок, Джордж 151

Пичелл, Джон 140

Платон 45, 137

предварение равноденствий 65-67

предел 9,91,102

приливы и отливы 10, 13, 59, 63, 64

принцип инерции 48, 49

производная 9,83-92,95,97,101

Птолемей 8,39, 43-45, 66

Рен, Кристофер 17- 21, 93, 104, 105, 160

рефлекторный телескоп 11, 28, 33, 121,130,133

реформа календаря 66

рефрактор 11,129

Сатурн 38,40,43,44,50, 59, 73,112, 115,116

сила центробежная 49-53, 56, 63

центростремительная 51, 56, 58, 63

тяготения 8,49,52,54,59, 63, 68, 70, 86,88,153

Смит, Барнабас 13, 22, 23, 26, 27, 117

Солнце 8,10,21, 23,33,38-54, 64, 66, 67,69, 73-75, 78,93, 129

Стьюкли, Уильям 27-30, 36, 105

тангенс 8,82, 83,85

телескоп 9, 11, 18, 48, 50, 123, 129, 131

теология 22, 23, 56, 104, 109, 110, 111,116,118

теория относительности общая 75, 76

специальная 75

Три нити-колледж 13,21,102-104, 106,107,114,116,118,138,143

Уайтсайд, Д. Т. 93

Уикинс, Джон 106,114

университет Кембриджа 13,19,98, 102,104,108,109,118,139

Уран 72-74

Уэстфол, Ричард 24, 26, 34,54, 58, 101,104,105,111,114,117,128, 145,149

Фатио де Дюилье, Никола 137, 138, 152,155

физика 8,9, 10, 11,20,21,41,42, 47, 60,79,83,88,107,110,111,124, 136,151

Флемстид, Джон 20,54,59,64,144, 146-150

флюент 92,93,95-97

флюксия 88,92,93,95-97,101, 151, 155

Френель, Огюстен 126

центр тяжести 8,88,90,94,96,152

Эддингтон, Артур 78

Эйлер, Леонард 19, 72, 73, 151

Эйнштейн, Альберт 11, 74-78, 107

Эйскоу, Ханна (мать Ньютона) 13, 22

эклиптика 39,40-41, 43, 44, 65-67

Эмпедокл 41

Эмпирей 39,40

юлианский календарь 23, 66

Юнг, Томас 126

Юпитер 38,40,42-44,48,50,59, 72, 73,116