В книге рассматриваются все основные вопросы, ответы на которые необходимо знать людям, работающим в сфере, связанной с корпоративными финансами, в производственных компаниях, инвестиционных банках и консалтинге.
Из этой книги вы узнаете, каковы основные задачи финансового директора; как выглядит организационная структура финансовой функции в компании; как оценивать проекты вложений в оборудование и новые технологии; как оценивать стоимость компании в целом; как определить оптимальную структуру капитала компании и многое другое.
Книга написана на базе практического опыта работы с финансами и инвестициями. Западные концепции изложены в сравнении с российской спецификой.
Алексей Герасименко
Финансовый менеджмент – это просто: Базовый курс для руководителей и начинающих специалистов
Руководитель проекта А. Василенко
Корректор Е. Чудинова
Компьютерная верстка М. Поташкин
Арт-директор С. Тимонов
© Герасименко А.В., 2013
© ООО «Альпина Паблишер», 2013
© Электронное издание. ООО «ЛитРес», 2013
Герасименко А.
Финансовый менеджмент – это просто: Базовый курс для руководителей и начинающих специалистов / Алексей Герасименко. – М.: Альпина Паблишер, 2013.
ISBN 978-5-9614-2897-1
Все права защищены. Никакая часть электронного экземпляра этой книги не может быть воспроизведена в какой бы то ни было форме и какими бы то ни было средствами, включая размещение в сети Интернет и в корпоративных сетях, для частного и публичного использования без письменного разрешения владельца авторских прав.
Вступление
Вот, дорогие читатели, перед вами моя вторая книга. В ней мы с вами рассмотрим все основные вопросы, которые необходимо знать людям, работающим в сфере, связанной с корпоративными финансами, в производственных компаниях, инвестиционных банках и консалтинге.
Это книга не только для финансистов-профессионалов. Знания финансов, по моему глубокому убеждению, нужны не только им, но и любым руководителям, которые хотят грамотно выполнять свою работу. Как вы увидите в книге, финансы – это основа для принятия любых бизнес-решений в современном мире.
Эта книга – продолжение моей первой книги «Финансовая отчетность для руководителей и начинающих специалистов»[1]. В ней была дана база, на которой строится повествование этой книги. Поэтому я предполагаю, что к моменту прочтения этих строк вы уже изучили мою первую книгу, и не буду повторять те моменты, которые были изложены ранее. Если «Финансовую отчетность для руководителей и начинающих специалистов» вы пока не прочитали, на правах рекламы рекомендую это сделать. В этом случае мы с вами одинаково будем понимать массу важных понятий, таких как компании, инвесторы, советы директоров, собственный капитал, активы, задолженность, ценные бумаги, EBITDA и т. д.
Из этой книги вы узнаете:
• каковы основные задачи финансового директора;
• как выглядит организационная структура финансовой функции в компании;
• как оценивать проекты вложений в оборудование и новые технологии;
• как оценивать стоимость компании в целом;
• как определить оптимальную структуру капитала компании;
• как финансировать компанию;
• как лучше возвращать деньги акционерам;
• каким образом проводятся сделки по покупке или, наоборот, продаже компаний;
• как проводить реструктуризацию задолженности компании;
• как управлять валютными, процентными и прочими финансовыми рисками… и многое другое.
Материал я старался изложить простым практическим языком, используя собственное образование и практический опыт работы с финансами и инвестициями. Теорию мне дали книги, а также обучение по программе МВА в одной из лучших бизнес-школ мира – MIT Sloan. Практику мне дали годы работы в консалтинге в PricewaterhouseCoopers, а также в нескольких крупных компаниях, таких как «Объединенные машиностроительные заводы», «Метинвестхолдинг», «Мечел», «Группа ГАЗ», в том числе и работа «в полях» на крупных промышленных предприятиях, таких как «Азовсталь», ижорские заводы и «Уралмаш».
Имея опыт нескольких лет жизни и работы за границей, «западные» концепции в книге я излагал в сравнении с Россией и ее спецификой. Думаю, это должно помочь вам правильно воспринять их.
Ни одна книжка не может описать всю многогранность и сложность окружающего нас мира, поэтому в книге я иногда использовал некоторые упрощения окружающей действительности. Сделано это было специально, чтобы подчеркивать основные мысли, оставляя за кадром информационный шум.
Безусловно, по некоторым вопросам есть разные теоретические точки зрения. В этой книге я высказывал свою точку зрения по каждому вопросу, свою интерпретацию теорий. Я старался давать те объяснения, которым меня научила жизнь. Не обессудьте, если вы с чем-то не согласны. У каждого свой взгляд на вещи.
Надеюсь, я смогу помочь вам получить те знания, на которые вы рассчитывали, открывая эту книгу.
Благодарности
Хочу выразить свою признательность людям, которые помогали мне в написании этой книги: Сергею Ющенко, Максиму Дрыгину, Андрею Далекому, Юлии Голыгиной. Без вас, уважаемые коллеги, книга не появилась бы на свет. Также хочу поблагодарить всех ребят из ADE Professional Solutions, которые помогли вычитать и подкорректировать рукопись.
Хочу сказать отдельное спасибо Ольге Рябовой за ее неоценимую помощь в подготовке и редактировании книги.
Огромное спасибо моей жене Кате за ее постоянную помощь и поддержку!
Глава 1
Что такое финансы, и зачем они нужны
Прежде чем переходить к финансам, давайте зададим себе более фундаментальный вопрос: а зачем в этом мире нужны компании? Зачем заниматься бизнесом? Ответ не так прост, как может показаться, и зависит от того, кем вы являетесь.
• Если вы инвестор, вы вкладываете в компании свои деньги или деньги, которые вам дали в управление другие люди. Ваша основная цель при этом – получить как можно большие проценты на свои вложения. Эти проценты выражаются в прибыли компании, которую она выдает вам в виде дивидендов, или в росте курса ее акций.
• Если вы предприниматель, вас также будет интересовать прибыль бизнеса. Но при этом важным моментом для вас будет и «интересность» того, что вы делаете, для вас лично. Иногда вы будете готовы пожертвовать деньгами и получить меньшую прибыль, реализовав какой-то проект, который интересен лично вам.
• Если вы государство, вопрос прибыли компании вас, конечно, интересует. В конце концов, из прибыли компании платят налоги, которые государство использует, чтобы платить зарплаты служащим, содержать армию, милицию и т. д. – словом, с большей или меньшей эффективностью реализовывать те задачи, ради которых существует государство. Но в не меньшей степени вас будут интересовать и вопросы социальной стабильности. Во многих случаях вы будете готовы пожертвовать прибылью компаний, чтобы избежать, например, роста безработицы. Вы также заинтересованы в росте благосостояния населения (читай – зарплат работников), что уменьшает прибыли компаний.
Словом, у разных сторон (по-английски эти стороны называют stakeholders) в бизнесе разные интересы. В своей работе компании должны учитывать интересы всех заинтересованных сторон. Но тема финансов и управления ими была рождена прежде всего для выполнения задачи, наиболее интересующей инвесторов, а именно для максимизации того количества денег, которые компании должны приносить своим инвесторам. Максимизация доходов инвесторов (акционеров) – центральная задача финансов. В этой книге повествование будет строиться главным образом вокруг работы для максимизации доходов инвесторов.
Финансы и финансовые менеджеры
Что же включает в себя наука под названием «Финансы»? О чем мы будем говорить в этой книге? Чем занимаются люди, связанные с финансами, – финансовые менеджеры? Чтобы ответить на эти вопросы, давайте рассмотрим круговорот денег в бизнесе:

1. В момент своего появления, а также далее, по мере необходимости, компании получают деньги от инвесторов (подробнее о различных типах инвесторов см. мою первую книгу) и кредиторов. Иными словами, владельцы или кредиторы бизнеса должны вложить в бизнес деньги. Первая задача финансов и финансовых менеджеров – различными способами привлечь деньги в бизнес. В этой книге мы будем говорить о том, какими способами можно привлечь деньги и как это делать.
2–3. Компания инвестирует полученные деньги в свою деятельность, чтобы получать прибыль, то есть еще больше денег. Вторая задача финансов и финансовых менеджеров – обеспечить вложение денег в наиболее эффективные проекты, то есть проекты, которые обеспечат получение инвесторами наибольшей прибыли. Третья задача – правильно управлять рисками, возникающими при вложении денег в проекты, чтобы добиваться тех показателей, на которые рассчитывают инвесторы, вкладывая деньги в проекты. В этой книге мы будем говорить о том, как оценить и сравнить между собой различные возможности вложения денег в бизнес, то есть как правильно инвестировать деньги, получаемые от акционеров и кредиторов. Мы будем говорить как об инвестициях в новые проекты (так называемые капитальные вложения), так и об инвестициях в другие компании (слияния и поглощения). Также мы будем говорить об эффективном управлении рисками – какие риски компании следует принимать на себя, каких следует избегать и как этими рисками управлять.
4–5. Получаемые от инвестиций деньги компании могут инвестировать в новые проекты или отдать акционерам и кредиторам. Четвертая задача финансов и финансовых менеджеров – правильно вернуть деньги кредиторам и инвесторам с тем, чтобы они решили свои задачи (например, заплатили меньше налогов с получаемых денег).
6. Часть денег компания должна отдать государству в виде налогов. Пятая задача финансов – правильно заплатить налоги. Эту задачу глубоко в этой книге мы также рассматривать не будем – это тема специальной литературы по налогообложению.
На схеме вы видите понятие «финансовый менеджер». Пока это понятие заключает в себя всех людей, работающих в компаниях в области корпоративных финансов, включая как специалистов в отделах учета, так и финансовых директоров. Далее в книге мы более подробно рассмотрим, кто и чем конкретно занимается в больших и не очень больших компаниях.
Глава 2
Денежные потоки, дисконтирование и NPV
В этой главе мы с вами узнаем, как оценивать инвестиционные проекты. Мы с вами:
• рассмотрим понятие «денежный поток», а также узнаем, какие денежные потоки учитываются при оценке инвестиционных проектов;
• познакомимся с дисконтированием и понятием Net Present Value;
• изучим различные методы оценки инвестиционных проектов и методы принятия решений о «зеленом» или «красном» свете для проекта.
Инвестиционный проект – а что это такое?
Как мы с вами уже говорили, одна из главных задач финансов – помочь менеджерам вкладывать деньги в «правильные» инвестиционные проекты. Но что такое инвестиционный проект? Инвестиционный проект – это набор мероприятий, имеющих определенную цель, который требует вложения определенных денег и должен в конечном итоге принести определенные деньги. Возьмем, например, покупку новой производственной линии на завод:
• Мероприятия – надо спроектировать и построить помещение, где будет стоять линия, купить линию, привезти, смонтировать, подвести электроэнергию, нанять и обучить людей, купить материалы для производства, наладить логистику и т. д. и т. п.
• Деньги – затраты на мероприятия (стоимость оборудования, проектирования, монтажа, строительства здания), выручка от продажи продукции, издержки на производство этой продукции, а также налоги.
• Цель проекта – произвести и продать определенный продукт в определенном объеме, с определенной себестоимостью и по определенной цене. Разница между ценой и издержками производства (плюс прочие издержки бизнеса) должна будет составить прибыль. Прибыль должна постепенно окупить затраты на создание линии и в дальнейшем принести инвесторам проекта дополнительные деньги.
На самом деле любой бизнес можно представить себе как большой инвестиционный проект. Вы вкладываете в бизнес деньги, покупая оборудование, материалы, платя зарплату работникам и т. д. Вы ожидаете, что бизнес будет приносить вам прибыль. Внутри работающего бизнеса также постоянно будут возникать инвестиционные проекты. Например, покупка нового, более эффективного оборудования на завод – инвестиционный проект.
Принципы оценки инвестиционных проектов
В жизни менеджерам и предпринимателям постоянно приходится принимать решения – куда вкладывать (или не вкладывать) деньги. Как принять такое решение? В какие проекты нужно, а в какие не нужно вкладывать деньги? Логика принятия такого решения вроде бы очевидна – проект должен оцениваться по той прибыли, которую он приносит. Безусловно, не стоит вкладывать деньги в проект, который денег не принесет (впрочем, здесь есть свои нюансы – иногда компания может реализовать «социальные» проекты, которые никогда не окупятся, но иногда делать их надо). Но что делать, если у вас есть два проекта, каждый из которых принесет вам прибыль? Как сравнить их между собой? Как решить, какому дать «зеленый свет», а какой остановить? Прежде чем дать ответ на этот вопрос, давайте рассмотрим несколько нюансов.
Прибыль и деньги
В предыдущей книге мы с вами изучали финансовую отчетность и видели, что понятие «прибыль» и понятие «деньги, которые приносит бизнес», или, иначе говоря, «денежный поток», – это две большие разницы. Бухгалтерская прибыль – это прибыль «в принципе», которая, безусловно, в какой-то момент должна стать реальной. Но часто на эту прибыль в текущем году оказывают влияние «бумажные» факторы, которые к текущему году имеют косвенное отношение (за деталями отсылаю вас к моей первой книге).
Как предпринимателя или инвестора, который собирается вложить деньги в проект, нас интересуют прежде всего деньги, а именно, как и когда от проекта нам должны вернуться деньги. Поэтому при оценке инвестиционных проектов используется не бухгалтерская прибыль проекта, а его денежные потоки, то есть деньги, которые надо вложить в проект, и деньги, которые он будет приносить. Оценка проекта и его денежных потоков будет зависеть от двух основных факторов:
• распределения денежных потоков во времени;
• рискованности проекта и его денежных потоков.
Время
В какой из двух проектов вы готовы инвестировать?
• Проект А – вкладываем сейчас 100 руб., получаем в течение 5 лет по 30 руб.
• Проект В – вкладываем сейчас 100 руб., получаем в течение 2 лет по 75 руб.
Очевидно, что проект В интереснее потенциальному инвестору, так как те же деньги он получает быстрее. Деньги сегодня стоят дороже, чем деньги завтра. Имея сегодня 1 руб., вы через год получите 1 руб. 12 коп., не прилагая никаких усилий, а просто положив деньги в банк. То есть деньги «сегодня» ценнее денег «завтра» не просто так, а потому, что существует возможность их прибыльного вложения. Если сложить 100 руб. сегодня и 100 руб. через год, то их суммарная ценность будет ниже, чем ценность 200 руб. сегодня.
Очевидно, что при оценке и сравнении инвестиционных проектов мы должны учитывать не только абсолютную сумму денег, которую принесет проект, но и то, как быстро он принесет эти деньги.
Риск
Предположим, у вас есть 100 000 руб. Вы можете:
• положить их на депозит в Сбербанк под 12 % годовых;
• купить лотерейные билеты.
Очевидно, что вы можете принять решение купить на эти деньги лотерейные билеты. Но в этом случае вы рассчитываете, что ваш выигрыш будет в тысячи раз превышать первоначальные инвестиции. Иначе говоря, ваш ожидаемый возврат на инвестиции в случае покупки лотерейных билетов должен быть гораздо больше 12 % годовых. Почему? Ответ очевиден: при покупке лотерейных билетов вероятность потери денег гораздо выше, чем если положить эти деньги на депозит в Сбербанк. Риск потерять деньги в Сбербанке значительно ниже риска потерять их, играя в лотерею. Иными словами, чем выше риск, тем выше должен быть ваш ожидаемый возврат на вкладываемый капитал.
Продолжим пример: вы решили положить деньги в банк, но кроме Сбербанка, у вас есть также возможность положить деньги на депозит в Торгово-промышленный банк Якутии. Вы готовы будете сделать это под 12 % годовых? Вряд ли. Маленький банк, очевидно, менее безопасен, чем Сбербанк. Поэтому, чтобы привлечь вас, такой банк должен предложить вам более высокий процент по депозиту, скажем, 18 %. Опять же, чем выше потенциальный риск ваших инвестиций, тем более высокий возврат на свои инвестиции вы требуете, даже если варианты вложения денег лежат в одной области.
При оценке инвестиционного проекта вы должны оценивать риски вложения денег в проект и сравнивать их с альтернативными возможностями вложения ваших денег. Деньги вы будете вкладывать туда, где вам предлагается либо меньший риск при той же ожидаемой доходности, либо более высокая доходность на ваши инвестиции с тем же риском.
Методы оценки инвестиционных проектов
Итак, нам надо оценить и сравнить между собой два инвестиционных проекта, каждый из которых приносит больше денег, чем требуется в него вложить (по-научному, имеет положительный кумулятивный денежный поток). Как это сделать? Давайте двигаться по пути логики.
Срок окупаемости
Первый очевидный ответ – надо вкладывать деньги в проект, который принесет больше денег. Но что делать, если у вас есть два проекта?
• Проект А. Вложив 100 руб. сейчас, получаем положительный денежный поток в 50 руб. каждый год в течение трех лет (всего 150 руб.)
• Проект В. Вложив 10 руб. сейчас, получаем положительный денежный поток в 15 руб. каждый год в течение трех лет (всего 45 руб.).
Очевидно, что проект А приносит больше денег (300 руб.), но при этом проект В приносит больше денег на каждый вложенный рубль и требует меньше инвестиций. Какой из них выгоднее? Это уже более сложный вопрос. В небольших компаниях предприниматели обычно рассуждают примерно так: меня интересует проект, который позволит мне быстрее «отбить» назад свои деньги. Иными словами, предпринимателя интересует срок окупаемости.
Математически получить срок окупаемости несложно: надо взять инвестиции проекта и поделить на годовую прибыль (по-английски такой срок окупаемости будет называться accounting payback period). Для проекта А срок окупаемости составляет 100 / 50 = 2 года, для проекта В – 10 / 15 = 2 / 3 года (8 месяцев). В этом случае для себя предприниматель устанавливает некий порог, например, не вкладывать деньги в проект со сроком окупаемости больше года. В этом случае денег в проект А он не вложит, даже несмотря на то, что этот проект принесет в сумме гораздо больше денег, чем проект В.
Вроде все просто? Как грубый тест этот метод годится. Но мы не учли, что разные проекты имеют разный риск вложения денег. Вполне возможно, что проект В, приносящий более высокий доход на рубль инвестиций, гораздо более рискован, чем проект А. Вероятность потерять деньги в нем, по сравнению с проектом А, может быть гораздо более высокой. Как учесть этот фактор? В поисках ответа на этот вопрос в середине XX века прогрессивное человечество изобрело понятия «дисконтирование» и «NPV».
Дисконтирование и NPV
Поскольку первый возможный принцип оценки – по окупаемости – не учитывает важные моменты инвестирования, давайте подумаем с точки зрения логики, как еще можно было бы принять решение об инвестировании. Для этого давайте посмотрим на инвестиции с точки зрения человека, решающего, положить ли ему деньги на депозит в банк или инвестировать куда-то еще. Если предлагаемый процент возврата на депозит достаточно привлекателен с учетом известности (рискованности) банка, то человек деньги на депозит положит. В оценке инвестиционных проектов принцип тот же самый – если проект обещает достаточно привлекательный для инвесторов процент возврата с учетом риска проекта, то инвесторы деньги на проект дадут.
Давайте рассмотрим такой проект:

Предположим, что с учетом риска проекта инвесторы готовы вложить в него деньги под 10 % годовых. В этом случае в конце первого года общий долг компании перед инвесторами составит 100 + 100 × 10 % = 110 руб. Из них 80 рублей из проекта инвесторам возвратится. В проекте после первого года останется 110 – 80 = 30 руб. денег инвесторов. В течение второго года на них инвесторы потребуют 30 × 10 % = 3 руб. процентов, то есть общий долг составит 30 + 3 = 33 руб. Из проекта в конце второго года инвесторам вернется 45 руб., то есть инвесторы получат на свои деньги не только требуемый процент возврата, но и дополнительный доход в 45–33 = 12 руб. сверх требуемого! На таких условиях деньги в проект вкладывать можно и нужно.
Давайте немного изменим условия проекта:

Опять же в конце первого года долг составит 110 руб., из которых инвесторам вернется 65 руб. Итого оставшийся долг на начало второго года составит 110 – 65 = 45 руб. На конец второго года долг составит 45 + 45 × 10 % = 49,5 руб. Однако в конце второго года проект даст инвесторам только 45 руб. Иными словами, инвесторы не получат от проекта ожидаемого возврата на вложенный капитал в размере 10 %. Возврат будет ниже требуемого. Деньги вкладывать нельзя, даже несмотря на то что проект приносит больше денег, чем в него вкладывается.
Итак, чтобы вложить деньги в проект, инвестор должен получать на него процент не ниже требуемого им уровня. Уровень требуемого дохода при этом будет зависеть от риска этого проекта.
Сделаем следующий шаг. Предположим, у нас есть два одинаковых по риску проекта (требуемый инвестором возврат составляет 10 % годовых):

Очевидно, что в проекте А инвестор вкладывает сейчас 100 руб., а через год получает ровно такой возврат, который ожидает, – 110 руб. (10 % на свой годичный «вклад»). Остаток долга будет нулевой. Но в проекте В получается то же самое: через год общая сумма долга составит 100 + 100 × 10 % = 110 руб. В течение второго года на эту сумму также будет начислен процент, то есть общая сумма долга составит 110 + 110 × 10 % = 121 руб. Получив в конце второго года от проекта 121 руб. возврата, инвесторы опять же получат от проекта ровно столько, сколько они ожидают. Остаток долга через два года также нулевой. В этом случае логически инвесторам будет все равно, давать деньги на проект А или на проект В – оба эти проекта для них равнозначны. Обратите внимание, что если бы проект В в конце второго года давал бы инвесторам не 121, а 122 руб., инвесторам было бы выгоднее вложить деньги в проект В по сравнению с проектом А, даже несмотря на то что деньги им возвращались бы только через 2 года (зато их возвращалось бы больше, чем они ожидают).
В данном случае для инвесторов в этих двух проектах 110 руб. возврата через год эквивалентны 121 руб. возврата через 2 года. Продолжая эту мысль, мы можем сказать, что 110 руб. через год (и 121 через два) эквиваленты возврату 100 руб. немедленно! Действительно, если бы мы захотели вернуть деньги инвесторам немедленно (передумали и решили не делать проект), нам не нужно было бы платить инвесторам проценты. Мы должны были бы вернуть им ровно столько, сколько брали, то есть 100 руб.
Итак, все три цифры (100 руб. сейчас, 110 руб. через год, 121 руб. через два) эквивалентны. Иначе говоря, для инвесторов 110 руб. через год равны 100 руб. «сегодняшних денег» и равны 121 руб. денег «через два года» (с учетом того, что эти деньги вкладываются в проекты с одинаковым риском).
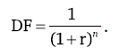
На этом соображении и основан принцип дисконтирования. При дисконтировании мы пытаемся «привести» деньги будущих периодов к эквивалентным «сегодняшним» деньгам. Иными словами, при дисконтировании мы узнаем, сколько «стоит» для инвестора некая сумма в будущем в «сегодняшних деньгах» (ее «сегодняшнюю стоимость» или по-английски present value = PV).
Для дисконтирования денежных потоков существует формула:

где: n – номер периода (обычно года). Ноль – это денежный поток нулевого года, то есть денежный поток «сейчас»;
CFn – денежный поток соответствующего периода;
r – ставка дисконтирования. По сути, это тот процент, под который инвесторы готовы дать деньги на проект. В дальнейшем в книге мы будем говорить о том, как она получается.
Кстати, если убрать из числителя денежный поток, то останется формула множителя дисконтирования, который называется фактором или коэффициентом дисконтирования (discount factor – DF):

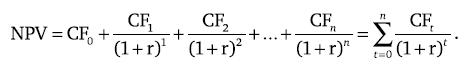
Проведя подобную процедуру со всеми денежными потоками проекта и просуммировав получившиеся «сегодняшние» деньги, мы получим чистую дисконтированную стоимость проекта (net present value – NPV), то есть стоимость проекта для инвестора в «сегодняшних» деньгах:

Получив NPV проекта, мы проведем, выражаясь научно, «оценку проекта с использованием метода дисконтирования чистых денежных потоков». На практике метод называют методом DCF (от английского Discounted Cash Flows – дисконтированные денежные потоки).
Обычно в начале проекта идут отрицательные денежные потоки – это инвестиции. Затем после запуска работы проекта деньги постепенно начинают возвращаться инвесторам.
В чем заключается физический смысл NPV?
• Если NPV>0, то инвесторы получат от проекта больший возврат, чем им требуется, – надо инвестировать деньги. В проекты с отрицательным NPV инвестировать деньги не стоит – они не дают достаточного возврата на вкладываемый капитал.
• Значение NPV – это, по сути, дополнительные деньги «сегодня», которые инвестор готов заплатить, чтобы «купить» проект (получить в нем долю). Если NPV отрицательный, то это деньги, которые организаторы проекта должны компенсировать инвестору «сегодня», чтобы он «захотел» принять участие в проекте. Например, если NPV проекта равно минус 20 руб., то, чтобы вы приняли участие в проекте, вам кто-то должен компенсировать эти 20 руб. Еще одна возможная интерпретация NPV – насколько больше могут быть фактические инвестиции в проект (сверх планируемых), чтобы он не потерял привлекательность для инвесторов. То есть если NPV проекта равно плюс 20 руб., инвестиции в него могут быть на 20 руб. выше, чем планируемые, и при этом он не потеряет для вас привлекательности.
Метод DCF очень удобен в применении, поэтому он приобрел огромную популярность и сейчас де-факто является стандартом принятия бизнес-решений по инвестиционным проектам.
Процедура применения метода следующая.
1. Определяются и складываются положительные и отрицательные денежные потоки первого периода проекта (обычно года).
2. Проводится дисконтирование суммы, полученной в Шаге 1. Коэффициент дисконтирования будет зависеть от номера периода по отношению к точке начала проекта.
3. Процедура повторяется для каждого периода проекта.
4. Полученные дисконтированные денежные потоки суммируются. Получившаяся сумма – это NPV проекта.
5. Производится принятие решения по проекту.
В результате этих шагов перед шагом 4 вы получаете финансовую модель проекта. На практике финансовые модели проектов вы будете строить с помощью электронных таблиц, таких как Excel.
Существует также несколько упрощенных формул дисконтирования, которые существенно облегчают жизнь даже несмотря на наличие Excel.

В общем случае должны реализовываться все проекты с положительным NPV. Однако на практике объем инвестиций на рассматриваемые в компании проекты с положительным NPV часто превышает доступные компании объемы инвестиций. В этом случае надо как-то выбрать те проекты, которые компания будет реализовывать. Для решения этой задачи обычно применяют индекс прибыльности.
Индекс прибыльности
Индекс прибыльности (PV / I или PI-индекс) – это отношение NPV денежных потоков проекта к дисконтированному объему инвестиций проекта. Фактически этот индекс показывает, сколько дополнительных рублей (помимо требуемого возврата на капитал) получит инвестор на рубль инвестиций. Для принятия решения в этом случае упрощенно, все имеющиеся проекты сортируются по убыванию индекса прибыльности и принимаются сверху вниз до момента, когда закончится лимит доступных инвестиций.
Например, у вас есть такие проекты:

Предположим, что всего у вас есть 150 руб. инвестиций. В этом случае вы вложите деньги только в проекты А и В, так как они обеспечивают наибольшую отдачу на рубль инвестиций.
Иногда, кроме NPV и PI-индекса, применяют также дополнительные барьеры «отсечения» проектов, такие как внутренняя норма доходности (IRR) и дисконтированный срок окупаемости (DPP).
Внутренняя норма доходности
Внутренняя норма доходности (Internal Rate of Return или IRR) – это такое значение ставки дисконтирования (r), при котором NPV проекта равно нулю. Иными словами IRR показывает, какова максимальная процентная ставка, под которую инвестор может дать деньги на проект.
Обратите внимание, что, исходя из логики формулы дисконтирования NPV-проекта, уменьшаются по мере увеличения ставки дисконтирования.

В какой-то момент график NPV пересечется с осью Х. Эта точка и будет значением IRR.
Основным недостатком метода отбора проектов только по IRR является то, что он не учитывает абсолютного значения NPV-проектов. Например, у вас есть два взаимоисключающих проекта. Один с NPV=10, но IRR=200 %, второй с NPV=100, но IRR=50 %. Если инвестор требует возврат на вложенный капитал в размере 20 % (и нет ограничения по инвестициям), то компания должна принять проект с NPV=100, так как он обеспечивает необходимый возврат на капитал и наибольшую дополнительную «премию» инвестору в абсолютном размере. При анализе же только по IRR решение будет принято неправильное.
На практике IRR обычно только один из «барьеров» по принятию проектов. Например, принимаются только проекты с NPV>0 и IRR не менее 30 %.
Дисконтированный срок окупаемости
Дисконтированный срок окупаемости (Discounted Payback Period – DPP, читается «ди-пи-пи») показывает, за какой период времени от момента начала финансирования проекта все дисконтированные инвестиционные затраты будут покрыты за счет дисконтированной суммы денежных потоков, генерируемых проектом. С обыденной точки зрения DPP показывает тот момент во времени с начала реализации проекта, когда инвестор должен полностью окупить свои затраты (с учетом получения на них требуемого процента возврата). С этого момента вся дополнительная прибыль по проекту – это дополнительный бонус (премия) для инвестора сверх требуемой им доходности инвестиций.
Если для оценки привлекательности проектов используется только этот метод, то из нескольких альтернативных проектов при прочих равных условиях принимается тот проект, который имеет меньшее значение DPP. Однако недостатком метода является то, что он также не учитывает денежные потоки, которые могут быть получены после завершения периода окупаемости и могут повлиять на эффективность проекта (то есть абсолютное значение NPV).
Какие денежные потоки следует учитывать?
Как вы понимаете, ключевыми моментами вычисления NPV являются денежные потоки и ставка дисконтирования. О ставке дисконтирования и ее вычислении мы будем говорить позднее. Пока воспринимайте ее как данность. А вот о денежных потоках мы поговорим подробнее уже сейчас.
Принцип релевантности (инкрементальности)
Самый главный принцип анализа денежных потоков проекта говорит о том, что мы должны учитывать все и только те дополнительные денежные потоки, которые являются следствием этого проекта (что, в общем, логично – зачем учитывать то, что к делу не относится). Такие денежные потоки еще называют релевантными (relevant cash flows), или инкрементальными (incremental cash flows).
Дело в том, что при оценке инвестиционных проектов в реальности часто приходится иметь дело с такими вещами, которые следствием проекта не являются. Например, часто в инвестиции «пихают» затраты, связанные с ремонтами, которые к проекту не относятся, но «очень надо сделать», распределенные постоянные расходы цехов и прочие вещи, которые прекрасно могут существовать и без проекта. Такие денежные потоки включать в проект нельзя. На практике в корректном определении инкрементальных денежных потоков проекта мне очень помогал следующий подход: представляю себе ситуацию «проект есть», представляю себе ситуацию «проекта нет» и сравниваю ситуации – разница будет составлять инкрементальные денежные потоки.
Санк кост
Как частный случай логики инкрементальных денежных потоков, необходимо сказать, что средства, уже потраченные на проект к моменту принятия решения (к моменту оценки проекта), не должны учитываться в расчете NPV-проекта. Это так называемые sunk costs – «утопленные деньги» (на практике часто говорят «санк кост»). Это объясняется тем, что эти средства уже потрачены, изменить уже ничего нельзя, поэтому они не имеют отношения к принятию положительного или отрицательного решения по проекту (реальных дополнительных денежных потоков по этим средствам уже не будет вне зависимости от того, будет реализован проект или нет).
Неизбежные издержки
Санк кост – не единственный вид денежных потоков, которые не надо учитывать в расчете проекта. Та же самая логика касается не только затрат, которые реально проплачены, но и тех будущих оплат, которые компания должна произвести согласно заключенным контрактам вне зависимости от решения по проекту. Например, если в рамках подготовки проекта уже заключен контракт на $1 млн со 100 %-ной неустойкой в случае разрыва контракта, и по нему проплачено $500 000, оставшиеся 500 000 не должны учитываться при перерасчете NPV-проекта, так как их все равно придется заплатить. Это издержки, которых нельзя избежать (по-английски unavoidable costs). Опять же, все это можно обнаружить, представив себе ситуацию «проекта нет» и сравнив с ситуацией «проект есть».
Косвенные денежные потоки
Инкрементальные денежные потоки могут быть как прямыми, так и косвенными (opportunity cost of capital или alternative capital use). Это означает, что если в результате проекта инвестор может недополучить некоторый доход от ресурсов, задействованных в проекте, эти упущенные доходы считаются отрицательными инкрементальными денежными потоками проекта. Чуть ниже мы с вами увидим такие примеры.
Финансовые расходы
В инкрементальные денежные потоки НЕ включаются финансовые расходы (проценты по кредитам), так как они уже учтены в ставке дисконтирования (как именно, мы рассмотрим позднее в этой книге).
* * *
Для закрепления концепции релевантных денежных потоков давайте рассмотрим пример гипотетической компании.
Пример проекта – компания «АБВ»
«АБВ» – производитель туристических палаток (прибыль после уплаты налогов – 50 млн руб.) – собирается выпустить на рынок свою новую модель палатки СуперМ. Эту модель инженеры-конструкторы «АБВ» разрабатывали в течение последних трех лет. На разработку было потрачено 25 млн руб.
Для производства СуперМ потребуется построить новый завод:
• Постройка и оснащение завода обойдется в 50 млн руб.
• Завод будет работать 10 лет, после этого его остаточная стоимость (в основном металлолом) составит 5 млн руб.
• Закон разрешает амортизировать завод в течение 5 лет с момента запуска с нулевой остаточной стоимостью.
• Произведенные СуперМ надо будет окрашивать. В настоящее время у «АБВ» есть оборудование для окраски, которое используется на 30 %.
• Окраска СуперМ потребует 40 % мощности окрасочного оборудования.
• Содержание оборудования стоит 1 млн руб. в год (вне зависимости от процента используемой мощности).
Дополнительные данные:
• Ежегодные операционные расходы на производство СуперМ составят 15 млн руб. (включая затраты на краску для окрашивания СуперМ).
• Выручка от продаж СуперМ составит 32 млн руб. в год.
• Прибыль (до уплаты налогов) от продаж старой модели палатки упадет на 5 млн руб. в результате снижения спроса на старую модель (предполагается, что старую модель компания продолжала бы производить в течение следующих 3 лет).
• Для выпуска СуперМ понадобится дополнительный оборотный капитал в 20 млн руб.
• Ставка налога на прибыль составляет 24 %. Других налогов нет.
• Ставка дисконтирования равна 10 %.
? Стоит ли производить СуперМ (попробуйте сначала провести анализ и построить модель оценки самостоятельно)?
Разбор полетов «АБВ»
Давайте разбираться с денежными потоками проекта СуперМ. Сначала проанализируем, какую информацию из приведенной выше мы будем учитывать в проекте, а какую не будем.
Во-первых, текущая чистая прибыль компании никакого отношения к проекту не имеет, так что ее учитывать мы не будем. Однако она пригодится нам для оценки возможности экономии налогов (см. ниже).
Что делать с затратами на НИОКР? Итак, ранее мы потратили 25 млн руб. на разработку нового продукта. Но какое отношение эти 25 млн имеют к нашей текущей ситуации? Никакого… Эти деньги мы уже потратили на проект. Никакого отношения к нашим будущим решениям эти ранее потраченные 25 млн руб. иметь не должны! Типичный санк кост. Обратите внимание на один важный момент. На практике вы, вполне возможно, будете сталкиваться с ситуациями, когда на какой-то проект потрачены очень серьезные деньги, чтобы его завершить, осталось потратить достаточно скромные деньги по сравнению с уже затраченной суммой. Но в этот момент становится ясно, что проект не окупит себя не то что полностью – он не сможет окупить даже остающиеся инвестиции. Такой проект надо останавливать, даже если он еще не завершен и осталось вложить совсем немного! Да, это была плохая инвестиция, но наши прошлые ошибки не должны тянуть нас вниз. В наших текущих решениях мы не должны их учитывать. Тем не менее на практике я встречался с ситуациями, когда в компаниях реализовывались заведомо убыточные проекты только потому, что на них ранее были потрачены значительные силы и средства. В английском языке даже есть термин для таких ситуаций: «throw away good money after bad money» – выбрасывать хорошие деньги после плохих. Ни к чему хорошему это привести не может. NPV проекта надо оценивать не только один раз в начале его «жизни». Его надо постоянно контролировать, чтобы вовремя остановить проект, если он в силу каких-то причин превратился в убыточный. Впрочем, об инвестиционном процессе мы еще будем говорить подробнее далее в этой главе.
Встречаются и обратные ситуации: в проект вложено много денег, осталось вложить совсем чуть-чуть, но проект по «полной» стоимости инвестиций (то есть с учетом как уже сделанных, так и будущих вложений) не окупается. Бывали случаи, когда такие проекты останавливали, хотя при правильном расчете их NPV по оставшимся инвестициям получался просто шикарным. В этом случае NPV необходимо считать, учитывая только оставшиеся инвестиции и не принимая в расчет санк кост! Но случается, что груз прошлых ошибок давит и заставляет менеджеров принимать неправильные текущие решения.
Словом, 25 млн вложенных в разработку СуперМ средств в модели проекта мы учитывать не будем.
Пойдем дальше. Затраты на строительство завода, безусловно, являются инвестициями – отрицательными денежными потоками. Остаточная стоимость завода (металлолом) будет являться положительным денежным потоком в десятом году.
Далее давайте разберемся с амортизацией. Амортизация, как вы знаете из моей первой книги, это понятие «бумажное», то есть неденежное. Сама по себе амортизация не является денежным потоком. Однако компания имеет право уменьшить свою налогооблагаемую базу на сумму амортизационных отчислений, начисленную согласно законодательству. В этом случае предприятие заплатит меньше налогов, то есть фактически инвестор получит дополнительный денежный поток в сумме, равной объему амортизации, помноженному на ставку налога на прибыль. В нашем случае в год амортизация составит 50/5 = 10 млн руб. в год. Однако денег компания в результате вычета амортизации из налогооблагаемой базы заработает только 10 × 24 % = 2,4 млн руб. Это будет положительный денежный поток от амортизации (сэкономленные налоги – дополнительные деньги, которые компания получит в свое распоряжение вследствие проекта). Здесь обратите внимание, что у компании должна быть достаточная прибыль, чтобы она получила нужный эффект от амортизации. Если компания убыточна с налоговой точки зрения или ее налогооблагаемая прибыль недостаточна, чтобы использовать налоговый эффект амортизации, то использовать в оценке проекта денежный поток от амортизации нельзя. В нашем случае «АБВ» прибыльна (50 млн в год), так что амортизацию и прочие налоговые эффекты учитывать нужно.
Следующей по счету идет окраска. Здесь надо применить ситуацию «есть проект – нет проекта». Что произойдет, если проекта не будет? В этом случае «АБВ» по-прежнему будет тратить миллион в год на содержание окрасочного оборудования. Что произойдет, если проект появится? А ничего не изменится. Дополнительных расходов, связанных с проектом, у «АБВ» не появится. Инвестиций в новое окрасочное оборудование компании делать не понадобится – существующих мощностей вполне хватает. Учитывать часть расходов (40 % от 1 млн) на содержание окрасочного оборудования в денежных потоках проекта НЕ нужно – инкрементальных денежных потоков не возникает. Обратите внимание, что в управленческом учете при калькуляции себестоимости продукции постоянные расходы на содержание окрасочной линии будут «размазаны» на все продукты, включая и СуперМ. Иными словами, бухгалтерская себестоимость СуперМ и его себестоимость для целей оценки инвестиционного проекта будут различаться. На практике это часто встречающаяся картина. Иногда при проверке расчетов инвестиционных проектов бухгалтерия будет предъявлять к расчетам претензии, говоря о том, что расчетная себестоимость занижена – нет каких-то распределенных накладных расходов. Так вот, в этом случае надо внимательно проанализировать, что это за расходы и как они связаны с проектом. Если они не являются для проекта инкрементальными, учитывать их в расчете инвестиционного проекта НЕ нужно. В моей практике был случай, когда компания не производила один прибыльный продукт из-за таких казусов расчета его себестоимости. Это была неоно-гелиевая смесь – побочный продукт производства кислорода на установке для разделения воздуха. 95 % расчетной «бухгалтерской» себестоимости ее производства составляли неинкрементальные распределенные расходы цеха. В результате себестоимость производства смеси казалась слишком высокой по сравнению с рыночной ценой продажи, хотя на самом деле она была практически нулевой (если установка работала, то смесь образовывалась автоматически).
Также обратите внимание, что если бы линия использовалась для других продуктов, скажем, на 80 %, то тогда на оставшиеся 20 % мы бы смогли догрузить линию, то есть по половине производства у нас не возникло бы дополнительных расходов. А вот по оставшейся половине объема СуперМ нам пришлось бы рассчитывать дополнительные издержки на окраску, либо упущенную выгоду от сокращения производства другого продукта (если бы мы, например, решили сократить объем производства другого продукта, чтобы освободить окрасочные мощности для СуперМ).
Далее перейдем к операционным расходам и доходам. Операционные расходы являются текущими расходами (отрицательными денежными потоками проекта) – их надо учитывать в полном объеме. Обратите внимание, что операционные расходы не включаются в объем инвестиций проекта. Инвестиции – это однократные расходы на проект.
Выручка, понятно, является положительным денежным потоком (возможные товарные кредиты мы учитываем в оборотном капитале), поэтому мы, безусловно, должны ее учесть в модели. Однако затем идет интересная категория затрат, которые часто упускают из виду при оценке инвестиционных проектов – это отрицательное влияние каннибализации продаж существующих продуктов. В нашем случае при выпуске на рынок новой модели продукта будут падать продажи имеющегося на рынке в этой же нише старого продукта. Новый продукт «скушает» часть доли рынка у старого. Надо понимать, что это самый что ни на есть настоящий инкрементальный отрицательный денежный поток нашего проекта. Это упущенные возможности (opportunity cost of capital). Часто при оценке инвестиционных проектов аналитики сосредотачиваются только на самом проекте, упуская из виду то, что происходит вследствие проекта, но вне его непосредственного «поля зрения». Про это нельзя забывать. Кроме того, нужно учитывать, что в примере указана цифра потерь прибыли до налогообложения. При расчете дополнительно сэкономленные налоги уменьшат отрицательный денежный поток. Иными словами, в примере «АБВ» отрицательный денежный поток от каннибализации продаж составит 5–5 × 24 % = 3,8 млн руб. в год в течение только тех трех лет, пока планировалось сохранять производство старого продукта.
И последняя категория инвестиций в примере «АБВ» – это инвестиции в оборотный капитал. Это еще одна категория денежных потоков инвестиционных проектов, которую регулярно пропускают в расчетах. Очень часто при оценке проектов увеличения производства про оборотный капитал забывают, а между тем любое увеличение производства съедает оборотный капитал – нужны дополнительные запасы материалов, запчастей к оборудованию, готовой продукции, с расширением продаж увеличивается объем дебиторской задолженности. В нашем случае увеличение оборотного капитала является отрицательным денежным потоком. Однако здесь нельзя забывать и про оборотную сторону медали. После окончания производства и закрытия завода оборотный капитал мы себе вернем. То есть в данном случае в 10 году у нас появится положительный денежный поток на всю сумму оборотного капитала.
И последнее – налоги. Неизбежны только смерть и налоги, поэтому налоги мы должны учитывать в нашем расчете.
Что ж, давайте построим расчетную DCF-модель проекта.
Итак, мы видим, что проект СуперМ имеет положительный NPV в 20 млн руб. Начальные инвестиции проекта равны 70 млн руб. (50 млн на завод + 20 млн оборотный капитал), что дает PI индекс в 20 / 70=0,3. IRR проекта равен 16 %, DPP – около 8 лет. Какие выводы можно сделать из этих цифр?
Во-первых, NPV-проекта положительный, то есть проект нужно реализовывать. Еще раз обратите внимание на то, что по «полной» стоимости инвестиций с учетом потраченных на разработку продукта денег проект имел бы отрицательный NPV, однако учитывать в расчете уже потраченные 25 млн руб. нельзя. В целом можно сказать, что СуперМ не является удачным для компании проектом. Но тем не менее его финансовый результат достаточен, чтобы оправдать оставшиеся инвестиции.
Далее, несмотря на то что NPV положителен, IRR и DPP проекта невысоки. Мы предполагаем, что продажи составят 32 млн руб. в год. А что будет, если реальные продажи окажутся на 20 % ниже? «Поигравшись» с финансовой моделью проекта, мы можем увидеть, что в этом случае NPV станет отрицательным (–9,9 млн руб.). В этом случае при рассмотрении проекта обязательно возникнет вопрос: а насколько мы уверены в ключевых цифрах проекта, таких как объем продаж и издержки? Какие выводы отсюда следуют?

Запомните два ключевых практических момента в анализе инвестиционных проектов.
• Главная задача оценки любого инвестиционного проекта – не получить некую цифру NPV, а принять правильное бизнес-решение. Что это означает? Во-первых, в оценке проекта надо проявлять разумность. Поверьте, можно придраться к оценке абсолютно любого инвестиционного проекта. Было бы желание. Жизнь сложна и многогранна. Например, по проекту СуперМ я могу сказать, что в расчете не учтено влияние на себестоимость плохих долгов или снижение оборотного капитала в результате падения продаж предыдущей модели палаток. Вопрос в следующем: приведет ли этот дополнительный анализ к изменению нашего бизнес-решения? Например, если у проекта большой и однозначно положительный NPV и надо потратить еще месяц на уточнение данных, изменение которых может снизить NPV на 1 %, стоит ли это делать? Нет. Мы потеряем время, но при этом бизнес-решение не поменяется – проект все равно надо реализовывать. Дело не в конкретной цифре NPV, а в решении: запускать проект или забыть про него. В жизни реальный NPV никогда на 100 % не совпадет с плановым. Важно, чтобы на практике менеджеры постоянно получали по проектам положительный NPV. В английском языке есть даже понятие analyze to death – заанализировать до смерти. Оно означает, что, постоянно уточняя модель оценки проекта, можно потратить столько времени, что проект уже будет поздно реализовывать. Еще один вывод из этого правила: при презентации проекта людям, принимающим решение, делайте презентацию более простую. Не увлекайтесь сложными выкладками. Выделяйте только самые важные компоненты модели оценки, чтобы показать суть проекта, логику получения экономического эффекта, основные показатели и риски проекта, ключевые предположения, использованные в модели, а также источники этих предположений.
• Ваша модель оценки проекта хороша ровно настолько, насколько проработаны и разумны те предположения, которые вы используете при построении этой модели. На практике построение финансовой модели инвестиционного проекта – это 10–15 % работы. 85–90 % работы – это поиск и анализ данных для используемых в модели предположений. При этом обычно ключевых предположений в ней немного. Работает жизненное правило «80 на 20» – 20 % предположений определяют 80 % результата. Соответственно на ключевые 20 % предположений нужно потратить 80 % времени при оценке проекта. Кроме того, при оценке проекта полезно сделать анализ чувствительности NPV к изменению основных параметров (как в примере выше) – что произойдет, если ключевой параметр ухудшится на 20 %. Такой анализ может дать два важных вывода:
– иногда стоит потратить дополнительное время на уточнение наиболее важных параметров проекта, чтобы получить большую уверенность в их корректности. В подавляющем большинстве случаев невозможно получить 100 %-ную уверенность в правильности и точности использованного предположения, но можно предпринять какие-то действия по повышению степени уверенности. Например, в качестве первого этапа реализации проекта вы можете включить в план внедрения проведение производственного эксперимента, который позволит узнать, можно ли получить запланированный эффект. Или, например, при модернизации крупного производства вы можете сначала провести модернизацию лишь одного участка, чтобы посмотреть, работает ли модернизация так, как планировалось при оценке проекта;
– при внедрении проекта необходимо обращать особое внимание менеджеров на достижение запланированных значений ключевых показателей. Например, можно «завязать» бонус менеджеров проекта на выполнение этого ключевого показателя или прописать необходимость достижения ключевых производственных параметров в договоре с поставщиком оборудования.
Что касается проекта СуперМ, хочу сказать, что на практике это маржинальный проект – решение по нему может быть принято как в ту, так и в иную сторону. Обратите внимание на еще один важный момент – наличие положительного NPV – это необходимость, но не догма. Нельзя автоматически принимать все проекты, которые в расчете показывают положительный NPV (но надо отклонять практически все проекты с отрицательным NPV). На практике при рассмотрении проекта надо анализировать достижимость этого NPV – возможность практической реализации проекта, достижимость указанных сроков, «правдивость» использованных предположений, возможность проверки реальности получаемых результатов и т. д. Например, производители программного обеспечения очень любят писать о том, как внедрение их программ помогает сократить расходы, складские запасы и т. д. Они приводят проценты сокращения, которые дают гигантские положительные NPV, но на практике подтвердить корректность этих заявлений невозможно. Складские запасы уменьшились в результате внедрения программы или потому, что компания сократила ассортимент, или потому, что менеджеры просто стали лучше работать? А что делать, если после внедрения по факту они увеличились? Тоже программа виновата, или рост связан просто с общим ростом бизнеса компании? Поверьте, проверить это нереально. На такой показатель, как складские запасы, влияет множество факторов, и выделить влияние одного из них крайне сложно. Потому и надо с осторожностью относиться к «бумажным» цифрам NPV и анализировать модели проектов на предмет того, возможно ли достижение финансового результата проекта на практике.
Оценка денежных потоков проектов на практике
Только что мы познакомились со всей теорией, которая необходима для оценки инвестиционных проектов. Сейчас давайте рассмотрим несколько практических моментов, которые возникают при оценке денежных потоков инвестиционных проектов, включая основные ошибки, которые возникают при проработке инвестиционных проектов.
Категории денежных потоков
Инкрементальные денежные потоки при расчете инвестиционных проектов можно разделить на категории по нескольким признакам.
По знаку:
• положительные;
• отрицательные.
По частоте возникновения:
• однократные;
• текущие.
Сначала представим отрицательные денежные потоки. Различают две основные категории отрицательных денежных потоков: инвестиции и текущие затраты.
К инвестициям относятся однократные инкрементальные затраты на проект, как капитализируемые, так и включаемые в состав расходов. Постоянно возникающие отрицательные денежные потоки относятся к текущим затратам.
Вот довольно объемный (но не исчерпывающий) перечень основных категорий отрицательных денежных потоков производственной компании, который я вывел для себя из практики. Его не обязательно запоминать, но удобно использовать как контрольный перечень, чтобы проверять, все ли основные категории денежных потоков учтены в модели оценки проекта:
• Затраты на закупку, доставку, таможенное оформление, монтаж оборудования.
• Затраты на выполнение проектов (основных технических решений, проектов привязки, рабочих проектов и т. д.).
• Однократные затраты на обучение персонала работе с оборудованием.
• Однократные затраты на наем дополнительного персонала.
• Однократные затраты на сертификацию оборудования (получение необходимых разрешений на его эксплуатацию).
• Затраты на проведение НИР (научно-исследовательских работ) в период наладки оборудования и отслеживания эффекта.
• Затраты на капитальные ремонты.
• Сокращение производительности другого оборудования при работе устанавливаемого.
• Потери от каннибализации продаж существующих продуктов.
• Потери прибыли от выпуска продукции в случае, если остановка работы участка / цеха была вызвана необходимостью монтажа дополнительного оборудования.
• Увеличение объема необходимого оборотного капитала (например, в результате роста объема хранимых запасных частей и материалов).
К текущим затратам на поддержание работы проекта относятся все периодические затраты, возникающие в цикле «жизни» проекта:
• Затраты на основные материалы, расходные материалы и энергоресурсы, необходимые для работы оборудования.
• Затраты на дополнительный персонал, включая инженерно-технический, управленческий и обслуживающий персонал.
• Затраты на текущие ремонты.
• Затраты на переаттестацию оборудования или оформление необходимых разрешений.
• Затраты на утилизацию отходов, образующихся при использовании оборудования.
• Затраты на поддержание работы и внесение изменений в программное обеспечение, используемое в проекте.
Положительные денежные потоки проекта складываются из:
• сокращения различных категорий затрат в результате реализации проекта (например, сокращение потребления электроэнергии на единицу выпуска продукта);
• дополнительной инкрементальной (маржинальной) прибыли от увеличения выпуска продукции;
• сокращения затрат на плановый ремонт. Например, в результате внедрения проекта будет заменен агрегат, по которому уже запланированы и выделены средства на будущий капитальный ремонт. В этом случае компания понесет затраты на закупку и монтаж нового агрегата, но сэкономит средства, выделенные на его капитальный ремонт. Средства на капитальный ремонт агрегата в этом случае с инвестиционной точки зрения являются однократным инкрементальным положительным денежным потоком проекта;
• средств от продажи старого заменяемого оборудования, сдачи его на металлолом или средств, сэкономленных в результате того, что заменяемое оборудование было передано в другое подразделение, куда его ранее планировалось приобрести;
• «высвобождения» оборотного капитала в течение проекта (в том числе в конце проекта);
• остаточной стоимости проекта (см. ниже).
Учет налогов
При расчете проектов инвесторов интересуют денежные потоки, которые достанутся им в качестве доходов. Часть положительных чистых денежных потоков отойдет государству в виде налоговых отчислений, поэтому их надо учесть при расчете денежных потоков проекта.
Налог на прибыль
При анализе денежных потоков в целях упрощения расчета я бы рекомендовал учитывать только те налоги, которые могут существенно повлиять на денежные потоки проекта (принцип достаточности). В любом случае при расчете инвестиционного проекта следует учитывать налог на прибыль.
Налог на добавленную стоимость
Поскольку налог на добавленную стоимость (НДС) является косвенным налогом, который компенсируется компании при реализации продукции, учитывать его в расчете не нужно. Иными словами, все цифры инвестиций и положительных денежных потоков проектов должны быть показаны без НДС. Исключениями могут быть ситуации, когда компания по какой-либо причине не сможет вернуть НДС целиком или в какой-то части в данном проекте.
Прочие налоги
Прочие налоги (например, налог на имущество) обычно показываются в расчетах инвестиционного проекта, только если они оказывают существенное влияние на его NPV.
Инфляция
Инфляция – это рост цен на товары и услуги. Проще говоря, инфляция съедает стоимость денег, поэтому доходность инвестиции должна быть достаточно высокой, чтобы опережать уровень инфляции. Инфляция всегда снижает стоимость реального дохода от инвестиций.
Существует два основных варианта учета инфляции в инвестиционных расчетах – использование реальных (real cash flows) и номинальных денежных потоков (nominal cash flows). Слово «реальный» в данном случае не имеет отношения к реальности и означает просто «денежные потоки без учета инфляции». При расчете с использованием реальных денежных потоков инфляция как бы исчезает из расчета. Считается, что ее нет. В примере «АБВ» мы показывали реальные денежные потоки, игнорируя инфляцию. С одной стороны, этот метод упрощает инвестиционный анализ. С другой стороны, он не позволяет использовать инвестиционный анализ для дальнейшего бюджетирования и бизнес-планирования (если вы знаете, что это такое, отлично, если нет, то о бюджетировании и бизнес-планировании можете подробнее прочитать далее в этой книге). Например, предположим, что проект работает в течение пяти лет. Инвестиции в нулевом периоде (в начале реализации проекта) составляют 50 руб. За первый год эксплуатации выручка составит 100 руб. (все деньгами в ценах на сегодняшний день), затраты на производимую продукцию – 80 руб. (тоже все деньгами в сегодняшних ценах). Соответственно денежный поток первого года составит 20 руб. При реальном способе вычисления NPV мы будем считать, что и в каждом последующем году положительный денежный поток будет составлять 20 руб. (выручка 100 руб. – затраты 80 руб.). Однако, скажем, инфляция составляет 10 % в год. Тогда в первый год наша выручка по факту составит 110 руб., а затраты – 88 руб. Прибыль, соответственно, составит 22 руб. в первом году, 24,2 руб. во втором году и т. д. Это так называемые номинальные денежные потоки (то есть сколько денег мы ожидаем получить по факту). Предположим, что ставка дисконтирования без учета инфляции составляет 10 %. Ставка дисконтирования с учетом инфляции определяется по формуле:

где Dr – ставка дисконтирования без учета инфляции, % (так называемая реальная ставка дисконтирования);
Dn – ставка дисконтирования с учетом инфляции, % (так называемая номинальная ставка дисконтирования);
i – уровень инфляции, %.
В нашем случае номинальная ставка дисконтирования составит
(1 + 10 %) × (1 + 10 %) – 1 = 21 %.
! ОБЩЕЕ ПРАВИЛО: номинальные денежные потоки дисконтируются с использованием номинальной ставки дисконтирования, реальные – с использованием реальной.
В данном случае реальный денежный поток первого года (20 руб.) будет продисконтирован по ставке в 10 %, номинальный денежный поток первого года (22 руб.) будет продисконтирован по ставке 21 %. Обратите внимание, что дисконтированные значения каждого года в обоих методах равны (18,18 руб.). То же самое справедливо и для всех последующих лет. Таким образом, оба метода расчета дают в конечном итоге одно и то же значение NPV:

Однако если мы говорим о бюджетировании, то использование реальных денежных потоков при бюджетировании в последующие годы исказит ситуацию. Очевидно, что при составлении бюджета второго года в него необходимо будет закладывать затраты в размере 88 руб., а не 80. Корректно перенести инвестиционный расчет в бюджетирование и бизнес-планирование можно только при использовании номинальных денежных потоков. Второе преимущество номинальных денежных потоков состоит в том, что разные компоненты положительных и отрицательных денежных потоков могут иметь разный уровень инфляции. Например, стоимость строительно-монтажных работ может подорожать с инфляцией в 6 %, а стоимость оборудования – с инфляцией в 10 %. Корректно учесть эти различия можно только при использовании номинальных денежных потоков.
По этим причинам на практике при оценке инвестиционных проектов почти всегда используются номинальные денежные потоки и номинальная ставка дисконтирования.
Срок работы и остаточная стоимость проекта
Инвестиционные проекты бывают разные. Некоторые из них заканчиваются через несколько лет, другие потенциально длятся десятилетиями. Обычно в инвестиционном анализе есть некий горизонт планирования, после достижения которого анализ упрощают. Этот горизонт, как правило, составляет 5–10 лет. Это происходит по двум основным причинам.
Стоимость рубля «через 10 лет» по отношению к рублю «сегодня» становится незначительной. Например, при ставке дисконтирования 20 % (не редкость по сегодняшним временам) 1 руб. «через 10 лет» равен 16 коп. «сегодня». В этом случае дополнительное «продление» модели еще на 10 лет не даст дополнительной точности при расчете NPV. Кроме того, если за 10 лет NPV проекта не стал положительным, то такой проект и так вряд ли будет принят, а если стал – какая разница, какова будет конкретная цифра.
Чем дальше мы смотрим в будущее, тем туманнее оно становится. Точность предположений с увеличением горизонта планирования существенно падает. Кто может точно сказать, какой через 10 лет будет цена на нефть или электричество? В этом случае расчет денежных потоков дальше 5–10 лет становится гаданием на кофейной гуще и не имеет практического смысла.
Естественно, из каждого правила есть исключения. Иногда встречаются проекты, горизонт планирования которых должен превышать 10 лет. Это в основном крупные проекты типа строительства новых шахт. Там только этап строительства может длиться 3–4 года, а к десятому году проект только выходит на полную мощность. В таких проектах горизонт планирования может быть 15–20 лет. Но исключения только подтверждают правила.
Что же делать, если срок работы проекта превышает 10 лет, но горизонт планирования этот срок не превышает? В этом случае считают так называемую остаточную или терминальную стоимость проекта (terminal value). Считать ее можно несколькими способами.
• Ликвидация. В этом случае мы предполагаем, что после 10 года проект ликвидируется. Все оборудование списывается или продается по остаточной стоимости, оборотный капитал возвращается, платятся все необходимые налоги. Обычно это самый консервативный способ, который дает самое низкое значение NPV проекта.
• Перпетуитет. В этом случае мы предполагаем, что проект будет длиться бесконечно, и по упрощенной формуле (см. выше) вычисляем NPV перпетуитета (как вариант можно использовать аннуитет на определенный период или перпетуитет с ростом). Не забудьте, что полученное значение будет давать терминальную стоимость в деньгах «десятого года», так что полученное значение надо продисконтировать к деньгам «сегодня», то есть к нулевому году. Это наиболее популярный на практике способ вычисления терминальной стоимости инвестиционных проектов.
Давайте рассмотрим вычисление терминальной стоимости на примере. Итак, у нас есть проект с пятилетним сроком работы и некоторыми денежными потоками. Вычисление его NPV трудности не представляет:

Предположим, что начиная с 6 года и в течение неопределенно длительного срока проект будет приносить нам доход в размере 10 руб. в год. В этом случае его терминальная стоимость может быть рассчитана с помощью формулы перпетуитета:

Обратите внимание на следующий момент: для формулы мы используем денежный поток «первого» года, а PV получаем на текущий момент или «нулевой» год. В данном случае «нулевым» годом для нас будет пятый, а «первым» – шестой год. Иными словами, полученное значение в 100 рублей – это терминальная стоимость на конец пятого года (в деньгах «пятого года»). Чтобы привести ее к общему знаменателю, для расчета NPV нам нужно продисконтировать 100 рублей к началу нулевого года (то есть к деньгам «сегодня»):

? Какие изменения надо внести в анализ Такера и Брейди (если вообще надо)? Почему? Что должен ответить Брейди директору транспортного дивизиона, директору по сбыту, своему директору по производству, аналитику из корпоративного центра?
? Стоит ли начинать проект? Почему?
Итак, общая NPV проекта составит вместе с терминальной стоимостью 27,3 + 62,1 = 89,4 руб. Обратите внимание, что терминальная стоимость проекта может составлять очень существенную часть NPV. При расчете инвестиционных проектов вы не часто будете встречаться с большой терминальной стоимостью, но при использовании метода DCF для оценки стоимости компании в целом терминальную стоимость надо будет считать практически в 100 % случаев (впрочем, об оценке компаний мы еще будем подробно говорить далее в книге).
* * *
Чтобы закрепить все эти концепции, давайте разберем ситуацию из реальной жизни.
Pearl Propylene – модернизация завода
Хмурым зимним днем в конце января 2001 года Кевин Такер сказал Тому Брейди: «Похоже, наш проект хотят зарубить эти бюрократы в центральном офисе. Я не знаю, как доказать им, что этот проект просто необходим компании. Они не понимают, что губят ее».
Брейди был генеральным директором завода «Мерсисайд» в Ливерпуле в Англии. Кевин Такер был финансовым менеджером завода. Они обсуждали замечания к проекту модернизации оборудования завода, который требовал около £9 млн инвестиций.
Pearl Propylene и производство полипропилена
Завод принадлежал компании Pearl Propylene, мировому лидеру в производстве полипропилена. Полипропилен – это пластик, который широко используется в промышленности (например, в медицине, производстве упаковочных материалов и автомобильных компонентов). Конкуренция среди производителей полипропилена строилась на основе предложения самой низкой цены. Бренд существенной роли в продажах не играл. Компания позиционировала себя как поставщика полипропилена на рынки Европы и Ближнего Востока.
Производство полипропилена на производственной линии «Мерсисайд» начиналось с доставки пропилена – газа, который являлся одним из продуктов перегонки нефти на нефтеперерабатывающих заводах. Пропилен компания закупала на НПЗ компании British Petroleum в Англии и перевозила его на завод в специальных цистернах.
На первом этапе производственного процесса – полимеризации – газ смешивали с растворителем под давлением в больших сосудах. В ходе каталитической реакции полипропилен оседал на дне сосуда, откуда его собирали с помощью центрифуги.
На втором этапе производственного процесса в базовый полипропилен добавляли стабилизаторы, модификаторы, наполнители и пигменты согласно требованиям к продукту конкретных потребителей, для которых он предназначался. После этого готовый продукт выдували в гранулы на экструзионном оборудовании и отгружали потребителям.
Производственный процесс в «Мерсисайд» был устаревшим и неэффективным из-за множества перерывов между операциями. Сам завод был построен в 1967 году и с тех пор не модернизировался. Кроме «Мерсисайд» у Pearl Propylene был еще один завод по производству полипропилена в Роттердаме в Голландии. Заводы были практически идентичными по времени постройки, размеру и используемой технологии. Директора обоих заводов подчинялись Джеймсу Фоуну, исполнительному вице-президенту Pearl Propylene, главе дивизиона «Промежуточные химические продукты».
Проект модернизации
Брейди стал директором завода «Мерсисайд» только год назад, однако до этого работал на нем больше десяти лет, постепенно продвигаясь по карьерной лестнице. Сразу после вступления в должность он провел анализ производственных процессов и обнаружил много возможностей для повышения эффективности производства полипропилена. Многие из этих возможностей были следствием недостаточности проводимых в предыдущие пять лет ремонтных работ. Стараясь улучшить операционные показатели завода, предыдущий директор значительно урезал ремонтный бюджет. Из-за этого оборудование стало серьезно изнашиваться, увеличились простои на аварийные ремонты, что снизило эффективность работы. Одновременно с проведением ремонтов Брейди также предполагал провести некоторые изменения в оборудовании и производственном процессе. В частности, он хотел:
• переместить и модернизировать зоны разгрузки цистерн с пропиленом, что позволило бы упростить производственный процесс;
• модернизировать полимеризационный сосуд, чтобы стало возможным использование большего давления. Это должно было повысить производительность;
• модернизировать экструзионное оборудование, чтобы увеличить его производительность и снизить расход электроэнергии на работу оборудования.
Ожидаемые затраты на все эти мероприятия составляли около £9 млн. Кроме того, работы потребовали бы остановки предприятия на 45 суток. Так как завод в Роттердаме был загружен на полную мощность, в результате остановки производства клиенты Pearl вынуждены были бы покупать недостающий полипропилен у других производителей. Однако Такер считал, что потеря клиентов не была бы длительной. По его мнению, после возобновления работы завод смог бы безболезненно вернуть клиентов обратно.
Такер и Брейди ожидали от проекта:
• снижения затрат на электроэнергию. Такер рассчитал эффект от экономии энергии как процент от продаж (1,25 % в первые 5 лет после модернизации и 0,75 % в последующие 5 лет). После этого старение оборудования привело бы к возврату расходов на электроэнергию на прежний уровень;
• увеличения объемов производства на 7 %;
• улучшения валовой маржи от производства с 11,5 % до 12,5 %.
Инженеры «Мерсисайд» были полностью уверены в достижимости этих показателей в результате модернизации.
В настоящее время «Мерсисайд» производил 250 000 метрических тонн полипропилена в год. Текущая цена полипропилена составляла £541 за тонну. Ставка налога на прибыль составляла 30 %.
Старые активы завода были полностью самортизированы. Модернизация привела бы к необходимости постановки на баланс новых активов, которые необходимо было амортизировать в течение 15 лет по схеме ускоренной амортизации, допускаемой налоговыми органами.
Увеличение объемов производства потребовало бы однократного увеличения запасов сырья, незавершенного производства и готовой продукции в размере 3 % от себестоимости дополнительно производимой продукции.
Кроме того, в свой анализ Такер включил £500 000 расходов на проектирование модернизации, которое выполнили инженеры-конструкторы завода в ходе подготовки анализа проекта. Согласно требованиям корпоративного центра Pearl Propylene в расчет проектов были также включены дополнительные накладные расходы на корпоративный центр в размере 3,5 % от остаточной стоимости основных средств, принимаемых на баланс завода в результате проекта.
Такер подготовил анализ и финансовую модель проекта на основе этих данных (см. далее).
После этого он начал обсуждение предполагаемого проекта с менеджерами различных подразделений Pearl Propylene.
Замечания транспортного дивизиона
Транспортный дивизион отвечал за организацию транспортировки сырья и готовой продукции. Он подчинялся другому исполнительному вице-президенту компании. Бонусы обоих исполнительных вице-президентов зависели от финансовых показателей их дивизионов.
Для перевозки пропилена Pearl Propylene использовала собственные цистерны, которые числились на балансе транспортного дивизиона. Из-за предполагаемого увеличения объемов производства полипропилена транспортный дивизион должен был бы увеличить количество цистерн, используемых для доставки пропилена в «Мерсисайд». В настоящий момент транспортный дивизион мог обеспечить дополнительный объем из имеющегося резерва, но более интенсивное использование привело бы к необходимости ускорения обновления парка цистерн. В настоящий момент обновление было запланировано на 2005 год, но в случае реализации проекта модернизации обновление потребовалось бы провести в 2003 году. Закупка новых цистерн стоила £2 млн. Цистерны невозможно было бы использовать на других заводах компании вне Англии из-за разницы в ширине железнодорожной колеи.
Замечания, полученные от финансового контролера транспортного дивизиона, говорили о необходимости включения затрат на вагоны в общую сумму инвестиций проекта, но Такер не был согласен с такой постановкой вопроса. Он сказал Брейди:
«Транспортный дивизион из-за нашего проекта не потратит ни пенса. Я бы сказал, что мы даже приносим им дополнительную пользу, позволяя использовать их незадействованные в настоящий момент цистерны. Если и надо закупать цистерны, это должны быть инвестиционные расходы транспортного дивизиона. В этой компании мы все время работали по принципу «каждому свое» – каждый дивизион должен сам решать свои проблемы. Транспортный дивизион не входит в “Промежуточные химические продукты”, так что их дополнительные расходы нас не касаются».
В соответствии со своей точкой зрения в анализе Такер не отразил дополнительные расходы на закупку цистерн.
Замечания департамента сбыта дивизиона «Промежуточные химические продукты»
Анализ Такера вызвал ряд комментариев у директора по сбыту дивизиона «Промежуточные химические продукты». На встрече с Такером он сказал:
«Ваш анализ предполагает, что мы сможем продать весь дополнительный объем полипропилена, но, как вы понимаете, рынок полипропилена очень конкурентный. Сейчас индустрия находится в депрессии из-за перепроизводства. В результате увеличение объема производства в “Мерсисайд” приведет к необходимости снижения производства в Роттердаме. В этом случае получит ли компания дополнительную прибыль? Зачем тратить деньги, чтобы увеличение продаж одного завода снизило продажи другого?»
Вице-президент по маркетингу был менее скептичен. Он сказал, что более низкая себестоимость в «Мерсисайд» в результате проекта позволит забрать часть бизнеса у конкурентов. В текущих экономических условиях конкуренты жестко бились за клиентов, но рано или поздно рынок должен был восстановиться, и было бы разумно предположить, что в этом случае дополнительные объемы можно было бы реализовать.
Выслушав обе точки зрения, Такер решил не учитывать эффект от каннибализации в своем анализе. Он сказал Брейди:
«Каннибализация – это в реальности не денежный поток. В этом случае никто никому не выписывает чек и не платит денег. Если компания начнет нагружать свои проекты по снижению издержек подобными вычетами, ей никогда не стать конкурентоспособной».
Замечания директора по производству «Мерсисайд»
Гриффин Тьюитт, заместитель Брейди по производству, предложил к проекту необычное дополнение. Последние несколько месяцев Тьюитт был занят подготовкой обоснования для проекта модернизации отдельного участка завода «Мерсисайд» – производственной линии этилен-пропиленкополимерной резины (ЭПК), разновидности синтетической резины. Это был уникальный продукт, разработанный Pearl Propylene. В свое время предполагалось, что этот устойчивый к окислению вид резины будет хитом и заменит собой обычную резину, но в конечном итоге ЭПК так и остался нишевым продуктом. Pearl была основным поставщиком ЭПК в мире, и весь объем производила на линии в «Мерсисайд». ЭПК приносил очень небольшую прибыль, так как испытывал серьезную ценовую конкуренцию со стороны других подобных продуктов.
Тьюитт предложил модернизацию линии ЭПК стоимостью £1 млн. Модернизация должна была снизить издержки производства ЭПК и дать дополнительный денежный поток в £25 000 в год. Но в этом случае NPV-проекта получалось минус £750 000. Тьюитт пытался защитить свой проект перед инвестиционным комитетом компании, говоря о том, что NPV не учитывает стратегических аспектов проекта и возможности повышения цен на ЭПК после окончания рецессии в экономике. Тем не менее комитет отверг проект, в основном по экономическим основаниям.



Зная о работе Такера, Тьюитт предложил ему:
«Почему бы тебе не включить проект ЭПК в состав своей модернизации полипропиленовой линии? Положительный NPV модернизации достаточно большой, чтобы безболезненно поддержать и мой проект. Это очень важный для компании проект, но его важность не понимают там, в центральном офисе. Если мы инвестируем сейчас, мы будем готовы использовать рыночную ситуацию, когда закончится рецессия. Если мы сейчас не инвестируем деньги в ЭПК, через три года нам придется вообще прекратить производство этого продукта. Ты хочешь, чтобы нам пришлось снова сокращать людей? Ты хочешь управлять умирающим заводом? Вспомни, наши бонусы привязаны к общему объему выручки завода, который включает в себя и выручку от ЭПК. Кроме того, в корпоративном центре после принятия решения никто никогда не смотрит, куда реально делаются инвестиции».
Замечания корпоративного центра
Подготовив проект, Френк Такер проконсультировался с Эндрю Гоуэном, который работал в финансовом департаменте корпоративного центра Pearl Propylene. Гоуэн прокомментировал анализ:
«…денежные потоки и ставка дисконтирования должны быть последовательны в тех предположениях, которые мы используем. Ставка дисконтирования в 10 %, которую ты используешь, – это номинальная ставка. В нее заложена инфляция в размере 3 % в год. Соответственно реальный возврат на капитал, который ожидает Pearl Chemical, – 7 %».
Разговор прервали до того, как Такер смог полностью понять мысль Гоуэна. На настоящий момент Такер решил оставить в анализе ставку дисконтирования в 10 %, так как она была установлена корпоративным центром.
Главный вопрос
На данный момент проект имел NPV в £9 млн. Такер опасался, что предполагаемые изменения могут привести к тому, что NPV уйдет в отрицательную область. Скоро предстояла защита проекта на заседании инвестиционного комитета Pearl Propylene.
Разбор полетов Pearl Propylene
Ситуацию с проектом модернизации «Мерсисайд» мы будем рассматривать отдельно с двух точек зрения:
• с точки зрения технической правильности финансовых расчетов;
• с точки зрения практики работы большой производственной компании.
Техническая часть
Давайте посмотрим правильность расчета Такера с точки зрения финансового анализа. Сначала давайте пройдемся по анализу Такера, представленному в таблице (таблицу в электронном виде можно найти на сайте www.gerasim.biz). Прежде всего, посмотрите на построение модели. В ней есть несколько моментов, которые полезно запомнить и использовать в работе при создании собственных моделей.
• Модель должна ясно показывать ход мысли при оценке проекта. В данном случае Такер последовательно показывает различные категории эффектов от проекта – дополнительные продажи, дополнительную маржу, инкрементальную амортизацию, увеличение оборотного капитала и т. д. Я бы рекомендовал при анализе и построении модели описать в отдельном файле логику построения модели, чтобы она была очевидна не только вам, но и другим людям, которые по долгу службы будут проверять и анализировать вашу модель.
• Любая абсолютная цифра в хорошей финансовой модели Excel должна фигурировать только один раз. Дальше должны использоваться ссылки на эту цифру. Особенно актуально это для используемых предположений. Посмотрите на модель Такера. Все предположения, такие как валовая маржа, ставка налога на прибыль, ставка дисконтирования, срок остановки завода и т. д., вынесены отдельно, в расчетной части модели используются ссылки на эти предположения. Поверьте, вы избежите массы ошибок при использовании этого подхода. Кроме того, построенная таким образом модель облегчает последующую корректировку данных. Если меняется ключевое предположение, модель пересчитывается автоматически. Такая гибкость очень важна в инвестиционном анализе, так как ваши предположения часто будут меняться (часто в процессе разработки модели у вас не будет точных данных по предположениям – вам придется временно использовать «пробные» значения, которые в дальнейшем вы будете менять).
NPV и IRR рассчитываются автоматически через формулы Excel. Но я бы рекомендовал автоматический расчет NPV через вычисление коэффициентов дисконтирования по причинам, которые упоминал выше, – формулы Excel негибки и иногда дают ошибки.
В модели сначала вычисляется инкрементальная прибыль, из которой вычитаются налоги, а потом добавляются обратно «неденежные» расходы, такие как амортизация. Альтернативный вариант – прямое вычисление денежных потоков по каждой категории эффектов. Например, вычислили дополнительную прибыль – сразу отняли налоги. Вычислили амортизацию – сразу прибавили налоговый эффект. Оба варианта имеют право на существование.
При оформлении расчетов:
• Старайтесь построить логику модели ступенчато, от простого к сложному. Помните, что модель – инструмент для принятия решения. Менеджеры при рассмотрении инвестиционных проектов всегда подозрительно относятся к проектам, где они не понимают логику событий. Поэтому логика должна быть простой и четкой. Например, эффект проекта построен на экономии тепла. Начинаем от простого: эффект = экономия в ГКал × стоимость закупки 1 ГКал. Далее уже может идти более сложный расчет экономии ГКал. Например, экономия достигается за счет сокращения отапливаемого пространства. Формула эффекта = количество кв. м × экономия ГКал на кв. м. Далее идет расчет экономии количества метров и т. д. Иными словами, сложность увеличивается постепенно. В этом случае менеджеры и аналитики при рассмотрении проекта легко поймут, как и за счет чего достигается эффект. Так им будет легче одобрить проект. Если расчет непонятен, он сразу вызывает подозрение и неприятие при проверке. Не увлекайтесь красивыми сложными расчетами. Главное достоинство хорошей модели оценки инвестиционного проекта – ее «понимабельность».
• В модели расчета не должно быть неизвестно откуда взявшихся цифр, кроме общеизвестных (например, количество дней в году). Предположения модели лучше вынести в отдельный лист Excel.
• Активно используйте ссылки на ячейки. Любое абсолютное значение должно фигурировать в модели в качестве цифры только один раз (как в кейсе «Мерсисайд»). Далее ее упоминания должны идти через ссылки. Это помогает избежать ошибок при изменении параметров модели.
• Вводите условные обозначения, с помощью которых даже в распечатанном виде можно было бы проследить логику расчета (см. рисунок).
• Обязательно указывайте источники информации (см. рисунок).

При подготовке проекта очень полезно сделать анализ чувствительности NPV модели к изменению различных факторов. В этом случае вы берете модель, изменяете последовательно каждое ключевое предположение проекта на ±20 %, записываете получившееся значение NPV. Результаты полезно бывает визуально выразить в виде диаграммы торнадо (см. пример на рисунке). Такой анализ нужен:
• чтобы понять, на какие факторы риска проекта следует обратить особое внимание при его внедрении;
• чтобы узнать, на анализ и подтверждение каких показателей надо потратить дополнительные усилия при проработке проекта.

В примере на рисунке очевидно, что наиболее важным показателем инвестиционного проекта является снижение потребления энергии компрессором. Повысить вероятность достижения целевых значений этого показателя можно, например, заложив обязательность выполнения требуемых характеристик в договор с поставщиком оборудования или замерив потребление энергии таким же оборудованием на другом предприятии, где оно установлено (экскурсию может помочь организовать поставщик) – методов много.
Теперь по самому расчету Такера:
• Расчет эффекта от изменения объемов и валовой маржи произведен верно.
• При подсчете инкрементальной амортизации использован метод двойного уменьшающегося баланса. Поскольку более подробной информации в кейсе дано не было, предполагаем, что расчет верен.
• Накладные расходы, несмотря на то что это вроде как требование корпоративного центра, учитывать технически неверно. Какие денежные потоки «родит» в корпоративном центре модернизация завода? Никаких. Завод как раньше работал, так и будет работать. Посему инкрементальным денежным потоком накладные расходы корпоративного центра не являются. Здесь надо отметить, что возможны дополнительные коммерческие расходы для продажи дополнительного объема, но оценить их в данной ситуации не представляется возможным. Предполагаем, что они настолько небольшие, что учитывать их в расчете NPV смысла не имеет – они не повлияют на результат. Помните: бесконечно совершенствовать можно расчет любого проекта. Важно учесть не все возможные факторы, влияющие на него, а ключевые параметры проекта, которые могут повлиять на бизнес-решение по его принятию или отклонению.
• Учет затрат на проектирование в первом году не верный – они уже были понесены инженерной группой. Эти затраты – типичный санк кост, поэтому они не должны учитываться в расчете проекта (в нашем будущем решении о судьбе проекта).
• Расчет налогового эффекта произведен верно.
• Расчет оборотного капитала произведен верно. Обратите внимание, что в ходе реализации проекта получается, что размер оборотного капитала сначала уменьшится, что даст компании плюсовой денежный поток (в 2001 году из-за остановки производства на модернизацию «Мерсисайд» произведет меньший объем продукции, чем базовый). Далее оборотный капитал увеличится, что даст отрицательный денежный поток.
Пройдемся по замечаниям подразделений компании:
• Замечание транспортного дивизиона справедливо. Действительно, в случае использования дополнительных вагонов их придется закупать раньше. Это даст отрицательный денежный поток по проекту в £2 млн в 2003 году. Однако, купив цистерны в 2003 году, компания избежит необходимости их закупки в 2005 году. Соответственно в 2005 году в проекте надо будет учесть положительный денежный поток в £2 млн. Это инкрементальный денежный поток, который проект помог сэкономить компании в 2005 году. Не забывайте про этот важный момент. Покупка цистерн сама по себе не является следствием проекта – их бы все равно купили. Следствием проекта является ускорение закупки новых цистерн. Технически дополнительно в анализе можно было также учесть эффект от изменения начисления амортизации (мы бы раньше стали амортизировать новые цистерны), но проигнорируем его ввиду незначительности.
• Каннибализация – реальнейший денежный поток. Это потери денег компанией в целом из-за проекта «Мерсисайд». В самом деле, если возможность продажи дополнительного объема «Мерсисайд» реализуется только за счет снижения загрузки Роттердама, то реальный эффект от проекта по дополнительному объему будет существенно ниже. Эффектом будет не полная валовая маржа по дополнительному объему (13,8 %), а только разница между валовой маржой Роттердама и «Мерсисайда» (13,8 % – 11,5 % = 2,3 %). Это очень критичный момент, который должен быть в обязательном порядке учтен в расчете. Кроме того, мы должны учесть, что в этом случае при снижении объема продаж в Роттердаме снизится и оборотный капитал роттердамского завода, что станет положительным денежным потоком проекта. Разумно предположить, что снижение оборотного капитала в Роттердаме практически перекроет увеличение оборотного капитала в «Мерсисайде».
• Предложение Тьюитта о включении в проект модернизации работ по ЭПК должно быть отдельным проектом и учитывать его в данном проекте нельзя. Это совершенно отдельный проект со своим эффектом и инвестициями.
• Замечание по поводу инфляции совершенно справедливо. Действительно, в модели использованы реальные денежные потоки и номинальная ставка дисконтирования. В расчетные цифры экономии надо добавить инфляцию в 3 %, чтобы далее с номинальной ставкой дисконтирования использовались номинальные денежные потоки.
Модель с учетом всех указанных изменений описана в таблице ниже.
Как вы видите, после корректировок NPV проекта остается положительным, но снижается до £7,1 млн. IRR снижается с 25,4 % до 21,9 %. Проект по-прежнему выгоден. Бояться Такеру вроде как нечего – не так страшен черт, как его малюют.
Но давайте посмотрим на организационные аспекты проекта модернизации «Мерсисайд».




Организационная часть
Сейчас мы попробуем оценить все то, что происходило с точки зрения работы большой компании. Во-первых, давайте подумаем, откуда родился проект. Автор (Брейди) – директор завода. В чем его мотивация в проекте? Только ли желание повысить эффективность? На самом деле мотивация может быть разной. Во многих случаях производственникам хочется работать на новом оборудовании. Это совершенно нормально. С новым оборудованием меньше операционных проблем. Уменьшаются простои, легче выполнять производственный план, новые инвестиции дают некую уверенность в завтрашнем дне и отсутствии необходимости будущих увольнений. Вместо постоянной тяжелой борьбы с издержками, где вы сражаетесь за каждую копейку (в данном случае пенс) себестоимости, за счет нового оборудования вы сразу сможете сделать рывок в ее снижении. Да и просто приятнее работать, когда вокруг новое оборудование, а не проржавевшие трубы. Для чего я это говорю? Очень просто – при анализе инвестиционного проекта надо учитывать мотивацию тех людей, которые представляют данные.
В данном случае в проекте есть два ключевых показателя его эффективности: повышение объема производства и снижение себестоимости. Значения этих показателей определяли люди, которые кровно заинтересованы в том, чтобы проект был принят. В этом случае стоит очень внимательно отнестись к подтверждению цифр, которые представляют эти люди. Часто на практике вы увидите, что мотивация влияет на оценки людей. Если они заинтересованы в проекте, оценки могут быть (и очень часто бывают), скажем так, чрезмерно оптимистичными. Достижима ли экономия себестоимости в несколько процентов? Чем можно подтвердить эту оценку? А чем подтверждается 7 %-ное увеличение объема производства? Это просто экспертная оценка или цифры подтверждены техническим анализом? Задача финансового анализа – принять правильное бизнес-решение, которое принесет акционерам деньги, а не удовлетворит некие «хотелки» менеджеров. Поверьте, «хотелок» в инвестиционных проектах, предлагаемых в любой крупной и не очень крупной компании, вы увидите предостаточно. Их важно выявить и отсечь, чтобы избежать потом проблем поиска виноватых в неправильных решениях, когда станет ясно, что планируемых денег никогда не увидеть.
Понимая это, в компаниях устанавливают многоуровневый инвестиционный процесс, который мы рассмотрим чуть ниже в этой главе, и не всегда доверяют предположениям. Методологически неправильные накладные расходы в 3,5 % на сумму активов на деле являются неким инструментом защиты компании от чрезмерно оптимистических оценок инициаторов проектов. Таким образом, затрудняется «прохождение» через сито корпоративных решений «плохих» проектов. С моей точки зрения, правильнее применять другие методы «отсечения», такие как, например, установка отсечения по срокам окупаемости. На практике вы увидите, что часто проекты, которые «на бумаге» имеют положительный NPV, в компании отвергаются, так как нет уверенности в том, что предполагаемых значений ключевых показателей эффективности этих проектов можно достичь на практике. Помните, что финансовая модель и NPV – это инструмент для облегчения принятия бизнес-решений. Принимать решения только на основе анализа и чисел нельзя.
Второй момент, на который хочу обратить внимание, это так называемое «туннельное» мышление. Менеджеры завода видят мир «со своей колокольни» и оценивают проект только с точки зрения своего завода. Они не знают проблем, которые их проект может вызвать у других подразделений компании. В случае с «Мерсисайд» это дополнительные цистерны, трудности с продажей дополнительных объемов и т. д. Что из этого следует? На практике вам нужно всегда стараться проанализировать всевозможные эффекты, которые имеет проект, включая его влияние за пределами непосредственного производственного участка, на который он направлен. Кроме того, «продвигая» инвестиционный проект, вы обнаружите, что в больших компаниях вам нужно будет «договариваться» с подразделениями, которые вам или вашему боссу часто не подчинены. При этом позиция этих подразделений может «зарубить» проект, и вы часто ничего с этим не сможете сделать. Например, мы видим замечание директора по сбыту: «Продать не сможем». Действительно не сможем, или просто директор по сбыту не хочет возиться со сбытом дополнительного объема? Ответ на этот вопрос не всегда однозначен. Иногда вам придется просить дополнительные ресурсы у других подразделений компании. Если вы как инициатор проекта не сможете этого добиться, проект может быть положен под сукно. Иногда для выделения ресурсов вам придется идти на некоторые уступки другим подразделениям. Например, вспомним ситуацию с замечаниями транспортного дивизиона Pearl Propylene. Ее разрешение очень похоже на компромисс между директором завода и директором транспортного дивизиона – часть нужных цистерн завод получит «из имеющихся резервов», но при этом «надо будет раньше купить новые».
Ответственность за достижение такой договоренности лежит на инициаторе проекта, то есть человеке, который кровно заинтересован в продвижении проекта. Это уже вопрос не финансовый. Это вопрос внутренней политической «кухни» большой компании. Анализируя инвестиционные проекты больших компаний, вы часто будете видеть результат таких «компромиссов». Иногда такие «переговоры» приводят к тому, что в проект включаются ненужные затраты с отрицательным NPV. Подобную ситуацию мы видим в просьбе заместителя директора относительно включения в проект модернизации производственной линии ЭПК. В данном случае проект ЭПК в состав «большой модернизации «Мерсисайд» включен не был, но на практике подобные случаи встречаются довольно часто.
Выводы
Хотя на бумаге проект и выглядит привлекательным, принимая во внимание мотивацию спонсоров проекта (директора и финансового контролера завода), даже с учетом внесения технических исправлений в анализ я бы был очень осторожен в принятии решения по проекту. Как аналитик или член инвестиционного комитета Pearl Propylene, прежде чем голосовать за проект, я бы как минимум потребовал детального анализа возможности достижения экономии маржи и увеличения объемов производства.
Основные ошибки, возникающие при проработке инвестиционных проектов
Рассмотрев правила и некоторые ошибки при проведении финансового анализа инвестиционных проектов, хотелось бы добавить немного информации на основе своего практического опыта работы с промышленными инвестициями. Итак, давайте посмотрим небольшой хит-парад основных ошибок, которые допускают аналитики при проработке инвестиционных проектов капитальных вложений. Какие-то примеры вы уже встречали в этой книге, какие-то характерные ошибки я упомяну впервые.
Ошибка № 1 – «Ошибка одной гайки»
Эта ошибка очень часто встречается в расчетах при обосновании необходимости ремонта того или иного оборудования. Инициаторы говорят «надо починить такое-то оборудование». Дальше логика примерно такая: если оборудование завтра не починим, то послезавтра оно сломается. Если оборудование сломается, то мы остановим все производство (ведь в технологической цепочке все компоненты взаимосвязаны). Если мы остановим производство, то потеряем всю нашу прибыль. Далее рассчитывается NPV потерь всей прибыли от производства из-за его остановки. Безусловно, такой проект имеет гигантский NPV, так как размер инвестиций в ремонт небольшой части оборудования всего производства по сравнению с возможными потерями прибыли из-за остановки производства крайне незначителен. В чем проблема такого расчета эффекта «от замены гайки»? Проблема в том, что рядом имеется «точно такая же гайка» с якобы таким же эффектом от ее замены. Проблема в том, что корректно NPV от проекта надо считать только с учетом ВСЕХ мероприятий, необходимых для обеспечения цели проекта. Если цель проекта – продолжение работы производства, то надо учитывать ВСЕ необходимые для продолжения производства мероприятия, то есть ВСЕ ремонты и замены оборудования. В данном случае инвестициями будут не только инвестиции на ремонт или замену «одной гайки», а инвестиции на ремонт / замену «всех гаек».
Итак, при анализе проекта надо учитывать ВСЕ мероприятия и денежные вливания, необходимые для достижения цели проекта. Проект замены «одной гайки» отдельного NPV не имеет. Это всего лишь часть проекта поддержания работоспособности оборудования соответствующей производственной линии.
Ошибка № 2 – «Ошибка инфраструктуры»
Эта ошибка, пожалуй, самая дорогая в анализе проектов капитальных вложений. Она каждый год «стоит» компаниям сотни миллионов долларов дополнительных инвестиций. В чем ее суть? При анализе инвестиционных проектов инициаторы учитывают только инвестиции в основное оборудование по проекту, не учитывая инвестиции в необходимую дополнительную инфраструктуру (вспомогательные материалы, энергоресурсы, транспорт). Например, вы «обсчитываете» проект модернизации производственного цеха. Получаете стоимость оборудования, считаете NPV от экономии ресурсов… и только в процессе монтажа оборудования выясняется, что в результате реализации проекта повышаются требования к качеству подаваемой воды, поэтому надо строить дополнительную фильтрационную станцию. Ваше оборудование требует мощности в 100 кВт, а мощность вашего трансформатора всего 80 кВт, поэтому нужно строить трансформаторную подстанцию. И так далее. Иными словами, вы правильно посчитали инвестиции в основную производственную линию, но не учли инвестиции в сопутствующую инфраструктуру. Подчас эти инвестиции могут превышать размер вложений в основное оборудование, не говоря уже о том, что такие вещи удлиняют сроки реализации проектов. В результате NPV проекта, которому вы так радовались, на деле начинает стремительно уходить в небытие. Поверьте, на практике это происходит очень часто.
Сюда же можно отнести и «ошибку сопровождения». В проект включают затраты на закупку основного оборудования или программного обеспечения, но забывают включить затраты на сопровождение этого оборудования и продуктов: оборудование требует технического осмотра и обслуживания, программное обеспечение – платы за обслуживание и техническую поддержку.
Что делать, чтобы не допустить ошибку инфраструктуры? При анализе всегда тщательно анализируйте требования основного оборудования к ресурсам (воде, воздуху, электроэнергии) и прочим входящим материалам, к логистике материалов и готовой продукции (например, достаточность количества и размеров складов цеха, наличие достаточной пропускной способности железнодорожных путей и т. д.).
Ошибка № 3 – «Ошибка узкого места»
Эта ошибка часто встречается в проектах, в которых расчет эффекта построен на повышении объема производства. Эффект таких проектов основан на дополнительной марже (выручка минус переменные издержки производства), которую можно получить от продажи дополнительного объема продукции. Обычно такие проекты предполагают некую модернизацию оборудования в каком-то узле производственной цепочки, загруженной на 100 %. Модернизация позволяет повысить производительность этого узла, что должно дать увеличение выпуска продукции. Эффект модернизации состоит в дополнительной маржинальной прибыли от продаж дополнительной продукции. Обычно этот эффект очень значителен.
Производительность производства в целом действительно определяется производительностью узкого места производства (см. рисунок). На иллюстрации общая производительность участка будет составлять 5 единиц в час, даже несмотря на то что станок А может производить 10 единиц продукта в час. Производительность всего производства в целом будет определяться производительностью самой «медленной» его части. В этом случае «расшивка» узкого места помогает увеличить общий выпуск продукции. Если мы увеличим производительность станка В на одну единицу, производство в целом сможет выпустить 6 единиц продукции в час. Как в этом случае посчитать экономический эффект расшивки? В этом случае экономический эффект будет равен дополнительной прибыли, которую получит компания от производства дополнительной единицы продукции. Чаще всего при увеличении производительности узкого места на небольшой процент производство дополнительных единиц продукции не потребует от вас дополнительных издержек, кроме затрат на материалы и переменных затрат на энергоресурсы. Таким образом, экономический эффект расшивки узкого места будет равен маржинальной прибыли от продажи дополнительной продукции.

Однако в каждый момент времени в технологической цепочке есть только одно «узкое место», которое лимитирует максимально возможный объем производства. Проблем в этом случае две:
• можно неправильно определить узкое место;
• «расшивка» одного узкого места приводит к появлению следующего.
Вот, например, схема простого производства (см. рисунок)

Очевидно, что в данном процессе узким местом является окраска. Общая пропускная способность системы составляет 50 изделий в час. Предположим, что предлагается проект – купить дополнительное окрасочное оборудование, чтобы удвоить мощности по окраске. Часто бывает, что считают эффект на весь дополнительный объем производства (плюс 50 изделий в час). Однако из схемы очевидно, что реально объем производства повысится только до 75 шт. в час, так как после этого узким местом системы станет отгрузка. Чтобы повысить объем производства до 100 шт. в час, потребуются дополнительные инвестиции на «расшивку» отгрузки, а затем и сборки – существенные дополнительные инвестиции. В этом случае экономический эффект проекта увеличения мощностей по окраске можно учитывать только на дополнительные 25 единиц. Такое уменьшение может существенно сказаться на окупаемости этого проекта. Об этом часто забывают.
Что делать, чтобы не допустить подобную ошибку? Прежде всего надо точно определить узкое место системы. Для этого полезно провести анализ и сделать схему материальных потоков и мощностей производства с полным расчетом максимальных объемов на каждом участке цеха и между цехами (с учетом пропускной способности транспортной инфраструктуры), чтобы определить «узкие места». Далее предлагаемые инвестиционные проекты по увеличению объема производства надо анализировать комплексно, чтобы понять, действительно ли они «расшивают» узкие места и до каких пределов. Вот, например, ряд проектов, которые суммарно должны «расшить» пропускную способность цеха производства стали металлургического предприятия (см. рисунок). Как вы видите, расшивка достигается за счет комплекса проектов. Узким местом является скрапное отделение, хотя до начала проведения проектов узким местом оно не являлось.

Ошибка № 4 – «Ошибка вложенных проектов»
С этой ошибкой мы уже с вами встречались в кейсе Pearl Propylene. Несколько отдельных проектов включаются в состав одного, обычно с целью скрыть отрицательный NPV одного из проектов. Часто это случается в процессе «переговоров» подразделений, от которых требуется выделение ресурсов, с инициатором проекта. Переговоры проходят в стиле «я тебе дам, что ты хочешь, но взамен ты мне отремонтируешь или купишь вот это».
Иногда эта ошибка встречается, когда несколько последовательно идущих проектов связываются вместе. Например, вы считаете проект по приобретению более дорогих сменных запчастей для какого-либо оборудования. Суть проекта – сменные части стоят дороже, но служат дольше. По совокупности получается экономический эффект. Сменную часть надо менять каждые три года, а NPV вы считаете на 10 лет (то есть на три с лишним цикла замены). Это неправильно. Считать проект и эффект от него надо на один цикл, то есть на три года. После этого вы должны будете принимать новое бизнес-решение (возможно, к этому моменту появится еще более эффективная сменная часть).
Ошибка № 5 – «Ошибка косвенных эффектов»

Эту ошибку вы также видели в ситуации с «Мерсисайд». В этом случае в расчете проекта учитывается непосредственный эффект, приносимый объектом инвестиций (например, новым оборудованием), но при этом игнорируется влияние проекта на другие подразделения (другие цеха производства или другие подразделения компании в целом). В ситуации Pearl Propylene это была необходимость закупки новых цистерн для перевозки пропилена и необходимость снижения производства полипропилена на другом заводе. В рамках одного предприятия это может быть влияние изменений технологии в одном подразделении на производственный процесс другого.
Что делать, чтобы не допускать такой ошибки? В этом случае на практике работает метод «пяти а что дальше?». Его принцип сходен с принципом «пяти почему», используемым в операционном менеджменте. Когда вы хотите докопаться до сути проблемы, можно построить анализ на принципе «пяти почему» (см. рисунок). Этот принцип позволяет добраться до причины, а не внешнего проявления проблемы.
Исходя из того же принципа работает и схема «пяти а что дальше». Прорабатывая или анализируя инвестиционный проект, надо каждый раз задавать себе вопрос «а что происходит дальше?», стараясь понять, в каком месте заканчивается влияние проекта.
Как инвестиционный процесс работает на практике
Как мы видели в кейсе Pearl Propylene, расчеты инвестиционных проектов выходят за рамки только финансовой модели. Модель – это всего лишь инструмент для облегчения принятия бизнес-решения в рамках процесса рассмотрения инвестиционных проектов. Сам процесс рассмотрения инвестиционных проектов необходим для того, чтобы сократить вероятность принятия и реализации невыгодных для акционеров компании проектов. Давайте рассмотрим, как инвестиционный процесс работает на практике, прежде всего для крупных компаний.
Сначала мы увидим, где в корпоративной организационной структуре располагается инвестиционная функция, а затем посмотрим сам процесс, этап за этапом. По пути я дам некоторые рекомендации по поводу того, как наилучшим образом организовать инвестиционный процесс в реальности. Эти рекомендации – следствие моего практического опыта. Они могут быть полезны тем, кто собирается построить в своей компании эффективный инвестиционный процесс.
Корпоративная структура
Стандартная корпоративная структура управления крупной компании в России, как правило, включает в себя три уровня:
• корпоративный центр;
• дивизион;
• предприятие.

На верхнем уровне компании находится корпоративный центр, роль которого в разных компаниях может быть разной, но в основном это некий единый центр управления общекорпоративными вопросами компании, такими как стратегия, финансирование, отчетность и т. д. Поскольку в крупные компании входят десятки разнородных предприятий, управлять ими всеми из корпоративного центра сложно. В связи с этим крупные компании в качестве следующего уровня управления создают дивизионы. Дивизионы управляют группами предприятий, объединенными по некоему признаку, в основном по продуктовому. Например, крупные вертикально интегрированные горно-металлургические компании обычно имеют три дивизиона: «Уголь», «Руда» и «Сталь». «Уголь» управляет шахтами. «Руда» – добычей руды (горно-обогатительными комбинатами). «Сталь» – металлургическими заводами и заводами, производящими конечную продукцию из металла (иногда конечные продукты выделяют в отдельный дивизион – «Метизы»). Крупные нефтяные компании обычно имеют дивизионы «Разведка и добыча» (собственно, добыча нефти или так называемый upstream) и «Переработка и маркетинг» (нефтеперегонные заводы и заправки – downstream). На третьем уровне управления крупной компании находятся предприятия, которые и производят некую продукцию. Безусловно, существуют различные варианты организационных структур, которые мы не будем рассматривать здесь – это тема отдельной книги.
Инвестиционный процесс крупной компании учитывает многоуровневую структуру. Логика при этом проста – чем важнее проект (обычно, чем выше инвестиции проекта), тем на более высоком уровне управления компании он рассматривается и контролируется. Вот, например, схема рассмотрения инвестиционных проектов крупной промышленной компании (см. рисунок).

А вот распределение полномочий и ответственности по уровням управления в инвестиционном процессе (см. таблицу).

Сами инвестиционные подразделения внутри каждой структуры управления могут располагаться по-разному. На практике я видел три основных варианта.
• В виде отдельной структуры. В этом случае в корпоративном центре имеется отдельный топ-менеджер с прямым подчинением генеральному директору компании, отвечающий за инвестиции (его должность называется, например, вице-президент по инвестициям). Соответственно ему подчиняется инвестиционное подразделение. В этом случае обычно подобная же структура имеется и на уровне дивизионов, и на уровне предприятий.

• В составе финансового блока. В этом случае инвестиционное подразделение корпоративного центра подчиняется финансовому директору компании. Инвестиционные отделы на уровне дивизионов и предприятий подчиняются финансовому менеджеру соответственно дивизиона или предприятия.

• В составе стратегического блока. В этом случае инвестиционное подразделение в корпоративном центре подчиняется вице-президенту по стратегическому развитию. Поскольку на уровне предприятий в этом случае стратегических служб обычно нет (это задача корпоративного центра, максимум дивизионов), то на предприятиях главы инвестиционных отделов подчиняются обычно финансовому менеджеру предприятия либо директору по производству.
Все перечисленные варианты организационной структуры финансовой функции вполне жизнеспособны. Какого-то наиболее оптимального варианта здесь нет. Выбор оптимальной организационной структуры зависит от нескольких факторов:

• личностных особенностей и специализации руководителей. Например, если CFO компании – сильный инвестиционщик, а директор по стратегии нет, то логично, что инвестиционная функция будет подчинена CFO;
• особенностей внутренней культуры компании. Если в компании делается акцент на грамотное управление проектами и достижение результатов проектов в срок и в рамках бюджета, то инвестиционная функция может быть выделена в отдельный блок. Если акцентируется связь инвестиционных проектов со стратегией, то инвестиционный блок войдет в состав стратегического и т. д.
В этой книге мы не будем рассматривать особенности и порядок формирования организационных структур компаний. Если вам эта тема интересна, рекомендую изучить специальную литературу. Поэтому сейчас, посмотрев, кто реализует инвестиционный процесс в крупной компании, давайте посмотрим на сам процесс.
Инвестиционный процесс
Что включает в себя понятие «инвестиционный процесс»? Я разделяю его на четыре основных этапа:
1. Подготовка проекта к рассмотрению.
2. Рассмотрение проекта и принятие решения по нему.
3. Реализация и текущий мониторинг внедрения проекта.
4. Анализ результатов проекта после его завершения.
Я расскажу с точки зрения своего практического опыта, как выглядит (вернее, должен выглядеть) инвестиционный процесс крупной производственной компании.
Итак, давайте рассматривать все по порядку. Детали процесса для разных компаний могут различаться, но в целом обычно все выглядит достаточно стандартно. На сайте www.gerasim.biz вы сможете найти образцы основных документов, используемых в инвестиционном процессе.
Подготовка инвестиционных проектов
Большинство проектов капитальных вложений инициируются на уровне заводов (иногда в компаниях их называют «активами» или «промышленными площадками»), что неудивительно: промышленные площадки производят продукты, так что кто как не они лучше знают, какое оборудование необходимо покупать и какие модернизации нужно производить.
Первичная подготовка проекта проводится инициатором, то есть человеком или подразделением, которое предлагает проект и наиболее заинтересовано в проекте. Это нормально: тот, кто больше всех заинтересован в проекте, должен нести наибольшую «нагрузку» при его проработке. Но менеджеры линейных подразделений обычно не являются специалистами в денежных потоках и инвестиционном анализе, поэтому, как правило, на каждом уровне управления существует инвестиционный отдел, задачей которого является подготовка анализа инвестиционных проектов. Иногда эту роль выполняют планово-экономические отделы.
При анализе специалисты-инвестиционщики строят финансовые модели в Excel совместно с другими службами предприятия и другими подразделениями компании анализируют данные, необходимые для подтверждения предположений, и вообще готовят пакет документов для рассмотрения проектов.
Здесь хотелось бы упомянуть несколько моментов.
Во-первых, обычно на уровне корпоративного центра формируются методология оценки инвестиционных проектов и единые стандарты оценки. Стандарты, как правило, включают в себя:
• стандартные требования по процедуре рассмотрения инвестиционных проектов;
• единый набор инвестиционных форм;
• макроданные, которые необходимо использовать всем предприятиям при оценке инвестиционных проектов (единая ставка дисконтирования, курсы валют для пересчета, уровень инфляции, цены на основные входящие компоненты и готовую продукцию и т. д.;
• требования по отчетности по инвестициям;
• критерии принятия/отклонения инвестиционных проектов.
Обычно критерии устанавливают следующие:
• NPV-проекта должен быть положительным;
• DPP не должен быть больше 6–8 лет (у разных компаний по-разному);
• RR не должен быть ниже ставки дисконтирования плюс некий процент.
Вот, например, критерии принятия инвестиционных проектов некоторых российских компаний:

Для чего нужны стандарты? Ну, во-первых, единые стандарты позволяют корректно сравнивать инвестиционные проекты. Представьте, есть два абсолютно одинаковых проекта, в которых два предприятия используют разные обменные курсы и уровень инфляции. В этом случае NPV двух проектов может существенно отличаться, и, соответственно, эти проекты трудно будет корректно сравнить между собой. Во-вторых, единые стандарты (методология, инвестиционные формы) дисциплинируют инвестиционщиков в построении моделей и минимизируют количество ошибок. Я очень рекомендую использовать во всех подразделениях компании для оценки инвестиционных проектов единые стандарты.
Во-вторых, рекомендую каждый проект закрепить персонально за каким-то одним сотрудником инвестиционного подразделения. Всегда должно быть ясно, кто конкретно выполнял анализ и владеет подтверждающей документацией и информацией по проекту. На практике часто при рассмотрении проекта на уровне дивизионов и корпоративного центра возникают рабочие вопросы. Например, требуют подтверждения или уточнения предположения, использованные в модели. В этом случае необходимо наличие и контактные данные конкретного человека, который сможет дать квалифицированные ответы на все вопросы. Лучше, если по одному проекту контактным лицом будет один человек.
В-третьих, рекомендую ввести в инвестиционный процесс на этапе подготовки проекта к рассмотрению независимую проверку корректности модели и пакета документов по проекту. Это может быть соседнее подразделение (например, отдел бюджетирования и бизнес-планирования), либо специальные люди внутри инвестиционного подразделения. Например, когда я возглавлял инвестиционное подразделение на одном крупном промышленном предприятии, у меня была так называемая «Группа анализа и контроля». Ее задачей была проверка предварительных версий расчетов инвестиционных проектов на предмет отсутствия ошибок, соблюдения методологии и вообще проверки расчетов на здравый смысл. Специалисты этой группы исправляли массу ошибок в расчетах инвестиционщиков. При подготовке проекта инвестиционщики ошибаются – все мы люди. Человек постоянно обновляет данные, исправляет модель. В результате глаз «замыливается», и часто, особенно в сложных расчетных моделях, появляются глупые ошибки. Сделав один раз проверку расчетов на корректность и исправив эти ошибки, можно значительно облегчить рассмотрение и принятие проекта в дальнейшем. Более того, само наличие независимого контроля заставляет инвестиционщика более ответственно подходить к подготовке проекта.
Далее несколько рекомендаций по проработке проектов и разработке их финансовых моделей.
• Информацию от подразделений запрашивайте официально, чтобы получить официальный письменный ответ (см. пример запроса на рисунке). Если базировать оценку на неких устных ответах, часто потом при появлении вопросов или проблем в проекте человек отказывается от своего мнения или же просто оказывается, что он неправильно понял вопрос.

• Информацию от поставщиков по характеристикам и ценам оборудования также получайте письменно – через технико-коммерческие предложения (см. пример на рисунке). При отсутствии ТКП может возникнуть масса проблем: «неожиданно» изменится цена поставляемого оборудования («ой, извините, это мы без НДС вам цену дали»), его характеристики, условия поставки. Все это может привести к отрицательному фактическому NPV проекта.


• При проработке проектов часто возникает соблазн построить расчет проекта на экспертных оценках экономии, а не на расчетах (так упрощается расчет – не надо возиться со сложной моделью). Как показывает практика, это прямой путь к потере денег. Экспертная оценка – самый ненадежный способ оценки параметров инвестиционного проекта. На практике я встречал массу случаев, когда фактическая проверка экспертной оценки подтверждала ее явно чрезмерную оптимистичность, и проект, якобы имеющий положительный NPV, в реальности имел NPV строго отрицательный. Всегда старайтесь базировать предположения на фактах – хронометраже операций, анализе производственных журналов, анализе технических характеристик оборудования. Если нет никакой возможности получить фактическое подтверждение предположений, используйте только письменные экспертные оценки (см. пример на рисунке). Они дисциплинируют людей, так как потом им придется держать ответ за свои слова. В письменном виде люди дают экспертные оценки гораздо более близкие к реальности.
• При согласовании расчетов проектов с различными подразделениями компании должен быть четко указан предмет согласования. Это поможет избежать некорректных комментариев, не относящихся к компетенции согласующего менеджера, или фраз вроде: «А я думал, что подписываюсь просто за то, что проект хороший».
Рассмотрение проекта и принятие решения по нему

После подготовки материалов по проекту по нему необходимо принять решение, чтобы дать ему «зеленый свет», доработать в каких-то аспектах или забыть о нем, как о страшном сне. Как построен процесс принятия таких решений? Процедура рассмотрения обычно основывается на важности проекта для компании – чем более важен проект и выше его стоимость и для компании (выше цена ошибки), тем тщательнее он должен быть проанализирован. Это нормальное следствие управления рисками – более рискованные проекты должны тщательнее контролироваться, чтобы уменьшить вероятность принятия неправильного бизнес-решения. В больших компаниях работает принцип пирамиды, на «вершине» которой находится совет директоров, внизу – производственные предприятия.
Большая часть инвестиционных проектов рассматривается и принимается на уровне предприятий. Более важные проходят на следующие уровни рассмотрения и принятия решений. Например, проект сначала рассматривается на уровне предприятия. Если он получает одобрение, то затем передается на уровень дивизиона, затем на уровень корпоративного центра и т. д. Совет директоров утверждает только наиболее важные и существенные для компании проекты.
Перед рассмотрением анализ проекта должен пройти ряд согласований. Грубо говоря, на анализе ставится ряд подписей различных подразделений компании, которые говорят, что у них нет замечаний, либо вносят свои замечания и предложения по проекту. Для чего это нужно? Прежде всего, чтобы обеспечить всестороннюю проработку проекта. В инвестиционных проектах существует много нюансов – экономических, технологических, стратегических, коммерческих, финансовых и т. д. Не являясь специалистом во всех областях сразу, один аналитик при подготовке проекта не в состоянии учесть их все. Для этого и необходимо дополнительное мнение соответствующих служб (см. методику определения согласующих служб в приложении к этой главе). Вторая важная роль согласования: не дать возможность менеджерам «спрыгнуть» с проекта в момент его внедрения, сделать их солидарно ответственными за результат. Если человек не подписался под проектом, он в любой момент может сказать что-нибудь вроде «ну я же говорил, что делать все надо не так». Подпись дисциплинирует менеджеров. Она дает мотивацию искать возможности достижения целей проекта, а не придумывать все новые отговорки и причины, чтобы объяснить неудачу. Всегда можно сказать менеджеру: «У тебя была возможность высказаться – почему ты этого не сделал в момент обсуждения?» Понимая это, при согласовании менеджеры подходят к своим подписям не формально, а реально задумываются о рисках и будущем успехе проекта. В общем, согласование нужно и полезно.
Вместе с тем нельзя превращать процесс согласования в бесконечное хождение между подразделениями, на которое тратится огромное количество времени и сил. Для этого:
• В бизнес-процессе согласования ограничьте время согласования одним рабочим днем. На практике то, что не сделано за 24 часа, не будет сделано и за неделю. Один рабочий день – это вполне реальный срок практически любого согласования: проверено практикой. Безусловно, бывают ситуации, когда для проверки каких-либо данных нужно больше времени. Например, лаборатории может понадобиться время для проведения какого-то эксперимента. Но это исключения, причины которых должны быть письменно обоснованы. На практике добиться такого короткого срока согласования трудно. Часто в больших компаниях работает инерция, когда, например, руководитель подразделения находится в командировке, и в его отсутствие заместитель боится принять решение. Во многом такая перестраховка может быть обусловлена «советской» культурой организации. Но бороться с этим нужно. Поверьте, на практике можно достичь быстрого согласования – это вопрос организационной дисциплины, доверия менеджерам (и их доверия своим заместителям) и желания первого лица компании построить современную компанию. Полезно фиксировать в форме согласования время получения документа на согласование и время ответа – так легче выявить точки задержек согласования документов.
• В форме согласования инвестиционного проекта необходимо всегда указывать предмет согласования. Замечания соответствующего подразделения не должны выходить за рамки предмета согласования. В противном случае на согласование проекта будет уходить безумное количество времени. Каждый менеджер должен отвечать за свою область работы, поэтому, например, финансовая служба не должна давать замечания по техническим решениям проекта – это дело технических служб. Технические службы не должны давать замечания по стоимости инвестиций – это дело закупочной службы и т. д. Такой подход – нормальное применение механизма управленческой дисциплины, которое упорядочивает работу любой компании. К сожалению, этот подход не всегда работает на практике, но к его выполнению надо стремиться (через принятие соответствующих регламентирующих документов, через изменение культуры организации и т. д.). Кроме того, наличие предмета согласования, прямо указанного в инвестиционной форме рядом с подписью менеджера и его ФИО, дает человеку возможность четко понять, за что именно он подписывается (см. рисунок). В противном случае впоследствии могут возникать «недоразумения», когда человек отказывается от согласования, потому что «думал, что подписывается за другое».

Далее проводится большое собрание, на котором решают, что делать с проектом. Проект может рассматривать как один человек (обычно первое лицо соответствующего уровня управления – генеральный директор завода, директор дивизиона, либо СЕО компании), так и инвестиционный комитет, в который входят несколько менеджеров компании. Состав инвестиционного комитета может варьироваться, но обычно включает в себя следующих менеджеров:
• первое лицо соответствующего уровня управления в качестве председателя комитета;
• финансовый менеджер соответствующего уровня управления (финансовый менеджер завода, дивизиона или CFO компании);
• руководитель, отвечающий за инвестиции на соответствующем уровне управления (директор инвестиционного департамента);
• еще некоторые топ-менеджеры соответствующего уровня управления (тут уже дело вкуса);
• представитель инвестиционного подразделения вышестоящего уровня управления. Это обычно некий «делегат сверху». То есть в инвестиционный комитет промплощадки должен входить представитель инвестиционного отдела дивизиона. В инвестиционный комитет дивизиона – представитель инвестиционного отдела корпоративного центра. Для чего это нужно? Это нормальный инструмент управления рисками. Задача этого человека – следить за корректностью соблюдения методологии и принятия обоснованных решений. Он обычно не может запретить принятие проекта, но имеет право потребовать рассмотрения проекта на более высоком уровне перед его окончательным одобрением.
Обычно на заседание инвестиционного комитета приглашают всех, у кого были замечания по проекту (если кто-то из них не является членом комитета), чтобы дать людям возможность высказаться и определить, насколько их замечания критичны для проекта.
Решения инвестиционным комитетом могут приниматься голосованием, либо решением председателя. На практике обычно в российских компаниях реально решение принимает один человек – первое лицо. Остальные, даже при голосовании, смотрят на то, какую позицию занял «генерал».
Как определить, на каком уровне должен рассматриваться проект – на уровне промплощадки, дивизиона, корпоративного центра или совета директоров? Обычно есть ряд «барьеров», при превышении которых проект после одобрения на нижнем уровне должен быть передан «на более высокий». Барьеры бывают следующие.
• Сумма инвестиций по отдельному проекту. Надо сказать, что при этом у некоторых менеджеров возникает соблазн «раздробить» большой проект на более мелкие, чтобы избежать его передачи на более высокий уровень. Именно чтобы избежать таких ситуаций, обычно в состав инвестиционных комитетов включают представителей более высокого корпоративного уровня управления.
• Общая сумма инвестиций за период. Здесь можно ввести ограничения как по общей сумме инвестиций, так и по сумме платежей, запланированных на период по проектам. Это две большие разницы – у вас может быть проект с инвестициями в 1 млн руб., из которых в текущем году надо заплатить только 50 000, а может быть проект с инвестициями в 200 000 руб., которые надо полностью заплатить в текущем периоде.
• Отдельные лимиты инвестиций по проектам, которые не имеют положительного NPV. Дело в том, что у предприятий всегда будут проекты «социальной» направленности. Надо отремонтировать детский сад, построить спортплощадку для работников и т. д. Очевидно, что положительный экономический эффект у этих проектов будет отсутствовать. Но это не значит, что такие расходы надо полностью отметать – это социальные обязательства компаний, часто закрепленные в коллективных договорах с работниками. Выход простой – устанавливать некие лимиты по вложению денег в такие проекты.
Как определить конкретные цифры? Здесь надо исходить из здравого смысла. Инвестиционный комитет любого уровня обычно собирается не чаще чем раз в месяц. На одном заседании реально рассмотреть всего несколько проектов. На уровне предприятия, например, можно рассмотреть 10–20 проектов, на уровне дивизиона 5–10 проектов (проекты сложные и требуют более тщательного анализа). На уровне корпоративного центра – 3–5 проектов. На уровне совета директоров – 1–2. Итого получается, что на уровне корпоративного центра не должно рассматриваться более 20 проектов в год. Если вычесть повторное рассмотрение проекта (то есть когда в первый раз его отправили на доработку для разрешения каких-то вопросов), то останется реально 12–15 проектов в год. Соответственно уровни отсечения надо устанавливать таким образом, чтобы на уровень корпоративного центра не попадало в год более 12–15 проектов. Далее можно «подгонять» лимиты под эти реалистичные требования. Точно таким же образом устанавливаются лимиты и на уровне дивизионов, и на уровне предприятий.
Понятно, что при такой системе принятия решений большая часть проектов должна рассматриваться на уровне предприятий. Поэтому важно, чтобы на производственных площадках были «грамотно обученные люди», хорошо понимающие концепции денежных потоков и NPV. Обучение этих людей – задача специалистов инвестиционных подразделений дивизионов и корпоративного центра, решить которую, я надеюсь, им поможет эта книга.
Реализация и текущий мониторинг внедрения проекта
После принятия решения по проекту необходимо составить и согласовать план внедрения проекта. Составление плана внедрения и управление проектом – это тема отдельной книги. Здесь важно осветить несколько моментов.
Во-первых, любые инвестиционные платежи компании должны идти в рамках строго определенных проектов. Иными словами, не должно быть инвестиционных платежей (закупки оборудования, проектирования и т. д.), которые не идут в соответствии с неким, надлежащим образом утвержденным, инвестиционным проектом. Это простая логика – уж коль скоро приняли некий инвестиционный процесс, все деньги должны расходоваться в соответствии с ним. Все платежи должны иметь идентификатор, который позволил бы понять, на какой проект были потрачены деньги и в рамках каких конкретно мероприятий по этому проекту они были оплачены.
Во-вторых, иногда у предприятий возникает необходимость потратить определенную сумму на подготовку обоснования инвестиционного проекта, надо провести некое предварительное проектирование, сделать технико-экономическое обоснование проекта (не путать ТЭО с нормальным инвестиционным анализом; ТЭО – это некий достаточно объемный документ (содержащий, впрочем, инвестиционный анализ), который по крупным проектам готовят проектные институты и который во многом сконцентрирован на технических деталях проекта; цель «заказа» ТЭО – подготовка технической составляющей проекта, так как инвестиционный анализ в этом документе обычно не соответствует корпоративным требованиям к их оценке), подготовить предварительный проект, основные технические решения, провести научно-изыскательские работы и т. д. Эти действия стоят денег. По моему опыту, целесообразно выделить каждому предприятию некий «денежный мешок» на такие расходы, иначе в инвестиционные комитеты корпоративного центра будет приходить много недостаточно проработанных проектов.
В-третьих, после принятия решения инвестиционный комитет не должен «забывать» про проект. Ход внедрения проекта, исполнение пунктов плана его внедрения в срок и в рамках бюджета должно контролироваться. Обычно первая часть заседания любого инвестиционного комитета посвящается рассмотрению новых проектов, а вторая – мониторингу исполнения уже имеющихся проектов. Необходимо, чтобы информацию о ходе внедрения проектов готовило инвестиционное подразделение (или другое подразделение, независимое от исполнителей проекта), специалисты которого должны докладывать членам комитета обо всех задержках во внедрении проектов. Они же должны отслеживать изменение экономических условий проекта. Если по какой-либо причине он становится невыгодным или его NPV и прочие критерии сильно меняются, специалисты инвестиционного подразделения должны сообщить инвестиционному комитету о характере и причинах изменений, чтобы инвестиционный комитет мог принять решение о продолжении реализации проекта или его остановке. Если у проекта возникают проблемы организационного характера (надо придать кому-то ускоряющий пинок или изменить неэффективный бизнес-процесс внутри компании), состав инвестиционного комитета обычно достаточно авторитетен, чтобы решить эти проблемы.
Здесь надо сказать, что на практике ни один проект никогда не будет реализован в точности в те сроки и в тех объемах инвестиций, которые фигурировали в изначальном анализе. Часто возникает необходимость скорректировать сроки и инвестиции по проекту. В процедуре корректировки надо исходить из принципа целесообразности. В случае возникновения корректировки есть два варианта действий:
• остановить проект до вынесения решения инвестиционным комитетом.
• продолжить внедрение.
Очевидно, что глупо останавливать проект с инвестициями в 1 млрд руб., если необходимо увеличить инвестиции на 100 000 руб. Но если инвестиции по нему надо увеличить наполовину, это уже повод задуматься и принять взвешенное решение. Иными словами, процедура должна исходить из разумности. Обычно если инвестиции проекта меняются в пределах 10–15 % и свыше определенной суммы (чтобы не было случаев, когда приходится останавливать слишком мелкий проект с инвестициями, например, в 100 000 руб. вместо 70 000 руб. для рассмотрения его «большим хуралом»), и при этом он продолжает соответствовать всем критериям принятия инвестиционных проектов, установленным в компании, допускается его продолжение без дополнительного решения инвестиционного комитета. Если изменения более существенны – требуется рассмотрение проекта членами инвестиционного комитета (на специальном заседании или в рабочем порядке, например, согласовав новые параметры по электронной почте). То же самое касается и NPV. Обычно остановка проекта и дополнительное рассмотрение требуется, если NPV падает больше чем на определенную сумму и свыше 30 %.
Во время мониторинга также не забываем общее правило: если NPV без учета sunk costs стал отрицательным, проект надо останавливать. На самом деле не обязательно пересчитывать NPV всех проектов каждый день. Надо руководствоваться принципом разумности. Например, проводить пересчет только в контрольных точках проекта (например, перед подписанием контрактов на закупку основной части оборудования, после этапа проектирования и т. д.), а также в случае резкого изменения рыночных условий (например, после наступления кризиса на фондовом рынке, как в России осенью 1998 года).
Анализ результатов проекта после его завершения
Очень часто в инвестиционном процессе упускают этот этап и «забывают» про проект после того, как завершено выполнение плана внедрения. А между тем с практической точки зрения это, пожалуй, наиболее важный этап. Именно здесь появляются на свет все «глюки» инвестиционного анализа. Вспомним, что целью инвестиционного анализа было не вычисление каких-то NPV. Целью реализации проекта было не выполнение ряда мероприятий. Цель – зарабатывание денег для акционеров за счет реализации проекта. Этап мониторинга получения эффекта после завершения проекта – источник самой ценной практической информации. Сбор, анализ и учет этой информации в дальнейших инвестиционных проектах – это совершенно необходимый компонент в инвестиционном процессе любой компании.
На самом деле подготовка к анализу результатов проекта должна закладываться еще на этапе подготовки инвестиционного анализа проекта. На этом этапе надо определить, какие показатели в системе оценки работы компании должны измениться, а также как будет проверяться и подтверждаться изменение этих показателей и кто будет это делать.
Поверьте, на практике я сталкивался с массой случаев, когда после окончания реализации проекта запланированные изменения экономических показателей не происходили. Это случалось по двум основным причинам:
• экономический эффект действительно отсутствовал или не соответствовал запланированному;
• экономический эффект был, но менеджеры сопротивлялись ужесточению требований. Ведь эффект обычно подразумевает увеличение производственных планов или увеличение планов по прибыли.
В связи с этим при подготовке оценки проекта надо обязательно выполнять следующие процедуры.
• Определять, какие конкретно бизнес-показатели будут ужесточены в результате реализации проекта. Под показателями имеются в виду производственные нормы, численность персонала, бизнес-планы, бюджеты и прочие элементы системы мотивации, от выполнения которых зависит оплата труда менеджеров.
• Заранее, еще в момент рассмотрения проекта, предупреждать соответствующих менеджеров о планируемом изменении этих показателей. Лучше всего получать от них письменные подтверждения о том, что они согласны с будущим изменением норм и бизнес-планов в соответствии с планом проекта.
• Заранее планировать в качестве одного из этапов плана внедрения мероприятия, необходимые для подтверждения экономического эффекта, включая сроки подтверждения, подразделения, ответственные за проведение соответствующих мероприятий, и т. д.
Если вы начнете планировать достижение результатов еще на этапе инвестиционного анализа проекта, то увидите некоторые любопытные вещи. Во-первых, вы увидите, что если менеджеры понимают, что в результате проекта ужесточатся требования к ним, их экспертные оценки сразу станут гораздо более консервативными. Зато при реализации проекта они уже будут чувствовать полную ответственность за достижение этих показателей (сами ведь подписывались заранее).
Во-вторых, вы увидите, что по части проектов, имеющих самый замечательный расчет NPV, невозможно будет достоверно подтвердить достижение этого NPV. Например, я уже упоминал в книге проекты по внедрению нового программного обеспечения. Подтвердить их реальный экономический эффект практически невозможно. Почему? Дело в том, что на значения многих показателей влияют сразу несколько факторов. Например, в металлургии очень важный экономический показатель – расход кокса (в кг) на тонну выплавленного в доменной печи чугуна. На расход кокса влияет сотня разных факторов:
• содержание серы в коксе;
• количество мелкой фракции в железорудной шихте и коксе;
• температура доменного дутья;
• содержание кислорода в дутье;
• количество вдуваемого в печь природного газа;
• количество технологических простоев печи (время перевода печи на тихий ход) и т. д. и т. п.
Если в результате проекта меняется один из показателей (например, количество мелкой фракции в коксе), то положительный эффект у проекта может быть, но на практике его доказать будет очень сложно (придется проводить эксперименты, пофакторный анализ изменения расхода кокса, который не даст абсолютно точный результат).
Что делать в таких случаях? В этих случаях надо обращать внимание руководителей, принимающих решение, на то, что точно подтвердить расчетные цифры не удастся. В этом случае они могут либо отклонить проект, либо принять его, зная, что это надо делать, даже без точного понимания полного экономического эффекта. Это нормально. Опять же, помните, что инвестиционный анализ и NPV – это инструменты, облегчающие принятие решения, но не заменяющие собой работу менеджеров.
Об успехах и трудностях в достижении запланированного NPV по проектам представители инвестиционного подразделения (или другого подразделения, которому поручен мониторинг проектов) докладывают на заседаниях инвестиционного комитета. Здесь иногда возникает вопрос, а когда прекращать отслеживание проекта, ведь со временем их в компании могут накопиться сотни, что требует серьезных человеческих ресурсов на постоянное отслеживание. Руководствоваться надо здравым смыслом. Если по проекту все в общем понятно – план внедрения выполнен, изменения в производственные нормы внесены, то зачем дальше продолжать каждый месяц все пересчитывать? Можно признать проект завершенным.
Связь проектов со стратегией
В конце хотелось бы немного рассказать о том, где находятся инвестиции и инвестиционные проекты в структуре работы компании в целом. Общую логику рождения и реализации проектов я бы обрисовал следующим образом.
Если коротко, то мы начинаем от печки, то есть от стратегии. У компании должна быть стратегия своего развития. Стратегия – это общее направление движения компании. Хорошая стратегия, кроме общих слов о том, какой замечательной должна быть компания, где она хочет работать, что делать и как бороться с конкурентами, должна содержать некие цифры, то есть целевые показатели работы компании. Достижение этих цифр требует реализации ряда проектов. Таким образом, стратегия превращается в инвестиционные проекты (поскольку практически у каждого проекта есть требования по деньгам, которые надо в него вложить). Все инвестиционные проекты составляют инвестиционный портфель компании.
Когда вы проведете оценку всех предполагаемых инвестиционных проектов, сложив их финансовые модели вместе, вы можете увидеть предполагаемую жизнь компании в цифрах – какой должна быть выручка, затраты, прибыль и т. д. Это будет стратегическая модель работы компании. Если получившиеся цифры не дают целей стратегии – это повод либо подыскать дополнительные проекты, либо изменить стратегию.

Глава 3
Ставка дисконтирования
В предыдущих главах мы с вами фокусировались на денежных потоках и дисконтировании, воспринимая ставку дисконтирования как данность. В этой главе мы увидим, откуда берется эта магическая цифра, что она означает и как ее высчитывать.
Мы начнем с небольшого экскурса в рынок ценных бумаг, чтобы понять, как определяется и измеряется риск вложений в акции различных компаний. Затем мы с вами посмотрим, как оценка риска вложений в акции превращается в ставку дисконтирования, используемую в проектах капитальных вложений. Мы увидим, от чего она зависит, и потренируемся ее считать.
Рынок ценных бумаг и бета
Мы с вами уже знаем, что ставка дисконтирования измеряет риск проектов. Само по себе слово «риск» достаточно абстрактное. Как его измерить? Чтобы ответить на этот вопрос, сначала нам нужно немного разобраться, как работают рынки ценных бумаг.
Рынок и индексы
Итак, что такое рынок ценных бумаг? Это место, где торгуют ценными бумагами, или, иначе, фондовая биржа (stock exchange). Долгое время фондовые биржи были физическими местами, где собирались вместе торговцы ценными бумагами – брокеры. Физически эти места есть и сейчас. Но сейчас также есть возможность проводить покупку и продажу ценных бумаг электронным образом – через специализированное программное обеспечение. Самые известные и актуальные для России биржи это:
• Нью-Йоркская фондовая биржа (New York Stock Exchange, или NYSE);
• NASDAQ;
• Лондонская фондовая биржа (London Stock Exchange или LSE);
• Московская межбанковская валютная биржа (ММВБ);
• Фондовая биржа РТС.
На каждой бирже торгуется определенный набор ценных бумаг (акции, облигации, фьючерсы, опционы и т. д.), который называется котировальный список биржи. Набор этот непроизвольный – компания должна подать заявку на включение своих ценных бумаг в котировальный список соответствующей биржи (еще говорят «подать заявку на включение в листинг»).
Компании не обязаны включать свои акции и другие ценные бумаги в листинг только одной биржи. Акции одной компании могут обращаться на нескольких биржах одновременно. Например, акции «Татнефти» одновременно торгуются на ММВБ и LSE.
У каждой биржи есть свои правила работы, которые компания принимает, если она хочет, чтобы ее акции торговались на конкретной бирже (еще говорят «на торговой площадке»). Эти требования обычно касаются сроков и порядка раскрытия финансовой отчетности, а также некоторой другой информации. На некоторых биржах к компаниям, которые на них котируются, применяются определенные дополнительные требования. Например, от компаний, акции которых торгуются на американских торговых площадках, требуется соблюдение требований закона Сарбейнса – Оксли (подробнее о SOXe смотрите мою первую книгу).
Если акция имеет листинг на бирже, ее можно продать и купить. По ценным бумагам обычно есть заявки на продажу, которые выставляют продавцы (например, заявка о готовности продать 100 акций Сбербанка по 70 руб.) и заявки на покупку (например, заявка на покупку 50 акций Сбербанка по 69 руб.). Разница между ценой покупки и ценой предложения по ценной бумаге называется спредом. Стоимость ценной бумаги называется курсом, или котировкой, бумаги. Обычно курсом является цена последней сделки по этой ценной бумаге на соответствующей бирже.
Как и на любом другом рынке, есть товар ходовой, а есть редкий. Ходовой товар – это обычно акции крупнейших и наиболее известных компаний. Такие акции часто называют «голубыми фишками». Эти акции очень ликвидны, то есть в любой момент времени их легко купить и продать, так как на них всегда есть значительное количество продавцов и покупателей. По таким акциям спред минимален. По менее ликвидным акциям ситуация чуть сложнее. Количество продавцов и покупателей по ним не такое большое, поэтому, во-первых, спред по таким акциям больше, чем по «голубым фишкам», и, во-вторых, такую акцию труднее купить или продать в нужный момент.
Биржи дают людям массу информации о котировках различных видов акций и других ценных бумаг (подробнее о ценных бумагах смотрите мою первую книгу). Но, пожалуй, наиболее значимыми для инвесторов показателями являются биржевые индексы. Что это такое? Индекс – это некое среднее арифметическое курсов акций нескольких компаний, акции которых «входят» в эти индексы. Говоря точнее, в индекс входит ряд компаний, у каждой из этих компаний есть своя доля или «вес» в рейтинге. Соответственно рейтинг является средним арифметическим курсов акций этих компаний, взвешенным по весам этих акций в рейтинге. Обычно в один индекс входит несколько десятков, а то и сотен компаний из разных отраслей промышленности.
Зачем нужны индексы? Они показывают общее направление движения рынка ценных бумаг. В любой торговый день акции компаний, входящих в какой-то индекс, могут падать или расти. Причем в один и тот же день акции одной компании, входящей в рейтинг, могут упасть, а другой – подняться. Если большая часть акций в индексе поднимается, то, соответственно, растет и весь индекс. В этом случае мы можем сказать, что рынок ценных бумаг в целом или, иначе говоря, курс каждой акции, обращающейся на бирже, «в среднем» в данный день поднялся, скажем, на 1,5 %.
Наиболее известными значимыми для России индексами являются такие биржевые индексы, как:
• Dow Jones (NYSE);
• S&P 500 (NYSE);
• NASDAQ Composite;
• Индекс ММВБ;
• Индекс РТС.
По движению индексов мы можем судить о том, что происходило с акциями компаний в данный день в целом. Помимо общих биржевых индексов, которые перечислены выше, существует также масса специализированных индексов. Принцип их вычисления тот же, но в них обычно входят компании из одной индустрии, например, только банки или только металлургические компании. Изменения этих индексов позволяют увидеть, что происходило «в среднем» с акциями компании определенного сектора экономики.
Риск на рынке
Мы уже говорили о том, что риск влияет на требования к уровню дохода, которые предъявляют к своим вложениям потенциальные инвесторы. А что такое риск в понимании финансов и рынка ценных бумаг? Риск в финансах – это возможные колебания прибыльности вложений. Например, от депозита в российском банке вы ожидаете возврата, скажем, в 12 % годовых. Если этот депозит гарантирован государством (банк входит в систему страхования вкладов в России – АСВ и сумма вклада меньше установленного законом максимума – сейчас 700 000 руб.), то вы не ожидаете изменений в планируемом возврате. Вы ожидаете получить 12 %, а не 5 % или не минус 5 % (но в то же время и не 20 %). Иными словами, колебания ожидаемой доходности вклада для вас минимальны. Стало быть, минимален и риск вклада.
Но предположим, что вместо того, чтобы положить деньги на депозит, вы решили купить акции, например, Сбербанка. Тут уже доход вам никто не гарантирует – курс акций может и упасть. В то же время, если курс акций вырастет, вы можете заработать и существенно больше 12 % годовых. Например, если бы вы купили одну акцию Сбербанка в начале апреля 2009 года, она обошлась бы вам в 20 руб. В начале июня 2009 года вы бы смогли ее продать уже за 50 руб. – доход в 150 % за два месяца (или 900 % годовых). В апреле 2010 года вы бы могли продать ее уже за 80 руб. Очевидно, что возможность получения такого дохода – это плата за риск возможных потерь. Если бы курс акций Сбербанка за это время упал, вы бы получили убыток. Иными словами, риск – это возможный разброс дохода по вложениям. Чем выше возможный разброс, тем больше риск ценной бумаги или риск инвестиций (см. рисунок).

Итак, покупая ценные бумаги или вкладываясь в инвестиционный проект, вы рискуете. А можно ли как-то снизить этот риск? Можно. Давайте поговорим об основном приеме «работы» с рисками ценных бумаг.
Портфель – зачем он нужен?
Когда вы покупаете акции, вы формируете свой портфель акций. В вашем портфеле может быть только одна акция, а может быть и много. Чуть выше мы говорили об индексах. Так вот, индекс, по сути, это большой портфель, состоящий из большого числа разных акций. В портфеле может быть одна или много разных акций. У каждой из них есть свой риск (своя вариабельность колебаний курса или еще говорят волатильность). Что происходит, когда у вас в портфеле находится несколько акций? В этом случае волатильность вашего портфеля в целом будет падать. Например, у вас в портфеле 2 акции. У каждой из них ожидаемые колебания курса составляют плюс-минус 5 % в день. В этом случае вариабельность ожидаемого дохода от вашего портфеля из двух акций будет ниже 5 %. Конкретная цифра – это не среднее арифметическое. Она зависит от таких математико-статистических вещей как, например, ковариация и коэффициент корреляции. В этой книге мы опустим сложное математическое объяснение и правила формирования портфелей – это удел специализированной литературы по ценным бумагам. Дам лишь только «бытовую» логику, основанную на здравом смысле.
Дело в том, что курсы различных акций в один и тот же период времени изменяются по-разному. Например, курс первой акции, входящей в портфель, может упасть, а второй – подняться. Даже если обе акции поднялись, их курс обычно не поднимается на абсолютно одинаковые значения. В результате все эти разнонаправленные изменения «взаимоуничтожаются», то есть сглаживаются, так что доходность портфеля будет «прыгать» значительно меньше, чем доходность акций, входящих в портфель (см. рисунок). Используя статистику, можно даже сформировать портфель, у которого будет заданная ожидаемая доходность и заданная ожидаемая вариабельность. Естественно, все это регулируется в определенных пределах. Невозможно сделать портфель с очень высокой ожидаемой доходностью и очень низкой ожидаемой вариабельностью. Доходность – это следствие риска. Чем выше доходность, тем выше риск, то есть возможная вариабельность дохода портфеля.

Чем больше акций в портфеле, тем ниже его волатильность (больше диверсификация) – больше усреднение. Отсюда следует, что одним из самых «хорошо диверсифицированных» портфелей будет биржевой индекс, так как в него входит большое количество акций. Бытовой совет, вытекающий из теории портфелей, – старайтесь всегда диверсифицировать свои вложения (в том числе личные), чтобы снизить общий риск вашего портфеля. Например, собственные сбережения можно инвестировать в набор разных инструментов – депозиты, облигации, акции, ПИФы и т. д., диверсификация вложений позволит вам снизить вариабельность дохода на свои вложения при неизменности ожидаемого дохода.
Тем не менее даже у самого хорошо сформированного портфеля будет определенная волатильность, ведь значения биржевых индексов меняются каждый день, как в сторону повышения, так и в сторону понижения. Полностью убрать волатильность стоимости портфеля за счет добавления в него все новых ценных бумаг не получится. Что из этого следует? У каждой акции есть два вида риска – риск, который вы можете «ликвидировать» за счет формирования портфеля (по-научному – несистематический риск), и риск, который с помощью формирования портфеля вы убрать не сможете (систематический риск).
Систематический риск для акций одной компании зависит от двух основных факторов:
• индустрии, в которой работает компания;
• финансовой политики компании.
Очевидно, что есть более и менее рискованные виды бизнеса. Например, вы можете вложить деньги в разработку новой компьютерной программы, которая, хотя и является потенциально многообещающей, не имеет ни имени на рынке, ни клиентов-потребителей. У вас вообще нет полной уверенности в том, что эту программу можно будет успешно написать. Очевидно, что бизнес разработки такой программы более рискован, чем, скажем, существующий уже 20 лет успешный бизнес по выпечке хлеба, который уже имеет своих постоянных клиентов, имя на рынке, да и вообще выпускает продукт первой необходимости, который не перестанут употреблять в любой финансовый кризис. В этом случае мы можем сказать, что систематический риск вложений в новую компанию по разработке программного обеспечения более высокий по сравнению с риском вложения денег в акции хлебопекарной компании.
Кроме того, компания, которую менеджеры «нагрузили» долгами по самое «не хочу», очевидно, будет более рискованна, чем компания из той же индустрии, но без долгов. Из-за финансовых проблем она в какой-то момент может стать банкротом. Систематический риск владения акциями компании с долгами будет выше, чем риск владения акциями компании без долгов. Но мы еще будем подробнее говорить с вами о структуре капитала в соответствующей главе этой книги.
Как же измерить систематический риск акций какой-то компании в отдельности? Метод измерения существует, и давайте сейчас с ним познакомимся.
Знакомьтесь: бета – основа оценки риска
Логика оценки риска отдельной акции примерно следующая: мы оцениваем волатильность доходности акции по сравнению с рынком ценных бумаг в целом. Наиболее подходящим показателем, показывающим доходность рынка, является крупный биржевой индекс, например Dow Jones или ММВБ. Чтобы оценить рискованность акции, мы можем сравнить изменение курса акции с изменением значения индекса за определенный достаточно большой промежуток времени (см. рисунок).

На графике показано, насколько каждый день изменялся курс акций компании и насколько при этом изменялся рынок в целом (значение биржевого индекса). Как вы видите, определенная корреляция курса акций компании с рынком есть. Если рынок растет, то курс акций этой компании обычно растет, и наоборот. Но каково это ожидаемое соотношение? Для ответа на этот вопрос мы можем использовать статистику и построить линию тренда (см. рисунок).

В данном случае линейное уравнение тренда, которое в общем случае имеет форму Y = A × X + B, будет выглядеть как Y = 1,8248 × X – 0,0045. Что это означает? Физический смысл линии тренда в данном случае примерно следующий.
• При изменении рынка (биржевого индекса) на 1 % мы ожидаем, что курс акций данной компании изменится в ту же сторону на 1,82 %.
• Действительно, чисто математически уравнение линейного тренда выглядит как y = ax + b (это из школьной программы). Коэффициент «а» в этом случае показывает, насколько изменится значение «y» при изменении «х» на единицу. Тренд не означает, что данное изменение произойдет в 100 % случаев. Тренд показывает лишь тенденцию, ожидаемое значение.
В финансах коэффициент «А» получил название «бета» и, соответственно, обозначается греческой буквой β. В данном случае мы можем сказать, что значение бета этой компании равно 1,82. Бета – очень важный коэффициент, который определяет риск акций компании. Риск компании определяется в сравнении с рынком. В этом случае компания с β=1 имеет такой же риск, как и рынок в целом. При β=2 акции компании в два раза более «рискованные», чем рынок, и т. д. Обычно данные по бетам акций компаний доступны в Интернете на сайтах, посвященных рынкам ценных бумаг, таких как, например, http://finance.yahoo.com или http://www.quote.ru.
Когда у вас есть информация по бете компании, все замечательно. Но что делать, если такой информации нет, например, если акции компании не торгуются на бирже? В этом случае нам надо вспомнить, что риск компании состоит из двух частей: бизнес-риска индустрии и рискованности финансовой политики. Бизнес-риск компаний из одной области бизнеса одинаков. Риск финансовой политики определяется соотношением между собственным и заемным капиталом – это важный фактор риска для акционеров компании. Чрезмерное увлечение долговыми обязательствами может легко привести компанию к банкротству. Иными словами, с увеличением доли заемного капитала в общем капитале компании (еще говорят: с увеличением левериджа) увеличивается и риск акционеров. Соответственно бета компании с увеличением доли заемного капитала в общем капитале компании возрастает. Зависимость можно выразить примерно следующим образом:

где:
βe – бета акций компании с учетом левериджа (то есть фактическая бета акций);
βa – бета акций компании, если бы она не использовала заемные средства (на 100 % финансировалась бы только за счет собственного капитала) (по-английски all-equity beta). Мы будем называть ее «чистая бета»;
E – процент собственного капитала в общей структуре капитала компании;
D – процент заемного капитала в общей структуре капитала компании.
Итак, чтобы получить бету частной компании, надо проделать следующие шаги:
1. Найти публичные компании для сравнения с целевой (компании, работающие в том же виде бизнеса, что и целевая компания).
2. Вычислить фактические беты этих компаний.
3. Вычислить D и E выбранных компаний.
4. Убрать эффект левериджа (структуры капитала) из бет выбранных компаний с помощью формулы:

5. Из полученных значений вывести чистую бету целевой компании (например, взяв среднее арифметическое для всех полученных значений βa выбранных компаний).
6. Ввести обратно эффект левериджа для целевой компании, взяв фактические или целевые значения D и E, с помощью формулы:

Но вернемся к тому, с чего начинали. Как описанная выше модель оценки риска поможет нам определить ставку дисконтирования, которую должна применять компания для своих проектов? Как вы уже, наверное, поняли, такой метод есть. Он называется моделью оценки капитальных активов (Capital Asset Pricing Model или CAPM). Сначала мы используем его для того, чтобы найти ставку дисконтирования для оценки компании в целом, а потом поговорим о том, как получить ставку дисконтирования для отдельных проектов компании.
Модель оценки капитальных активов (CAPM)
Логика САРМ построена на сравнении рискованности акций компании с рынком. Более конкретно логика выглядит примерно так.
• В мире существуют активы, риск по которым очень низкий (прежде всего, это государственные облигации США, хотя их низкий риск сейчас начинает вызывать вопросы). Можно сказать, что это безрисковые ценные бумаги. Эти ценные бумаги приносят доход по определенной ставке rf (безрисковая ставка или risk-free rate). Государственные облигации имеют разные сроки погашения. Обычно в качестве безрисковой ставки ориентируются на долгосрочные государственные облигации (20−30-летние).
• Поскольку акции или рынок ценных бумаг в целом несут в себе определенные риски (они периодически переживают взлеты и кризисы), логично, что доходность рынка в целом должна быть выше «безрискового» уровня. Разница между безрисковой ставкой и доходностью рынка называется «риск-премией рынка» (market risk premium). Риск-премию рынка несложно посчитать – достаточно посмотреть на ежегодный рост индексов за некий период времени и сравнить его с доходностью государственных облигаций США. Разные исследования за разные периоды времени показывают разные данные, но сходятся во мнении, что в среднем риск-премия рынка равна от 8 % до 9 %. На практике я бы рекомендовал пользоваться этой цифрой, хотя иногда в периоды «надувания» пузырей на фондовом рынке риск-премия, которую используют в оценке, может составлять и меньшую цифру. Я встречал случаи, когда использовалась риск-премия рынка в 2,5 %, потому что, по словам одного инвестиционного банкира, «иначе трудно объяснить те курсы акций, которые существуют на рынке в данный момент времени». Итак, доход по акции зависит не только от безрисковой ставки, но и от риск-премии рынка (rm).
• Ожидаемый доход по разным акциям (ke) зависит от риска этих акций, то есть от значения βe. Если βe=1 (то есть акция имеет такой же риск, как и рынок в целом), то ожидаемая доходность по ней должна составлять безрисковый доход плюс риск-премия рынка (rf+rm). Но что делать, если βe≠1? В этом случае ожидаемая доходность пропорциональна риску акции, иными словами ke = rf + + βe × rm. Это тот доход, который ожидают получать акционеры на свои акции. Например, если βe= 2, то акция в два раза рискованнее рынка в целом, поэтому инвесторы требуют ожидаемую премию к безрисковому уровню дохода в два раза выше стандартной риск-премии рынка.
Итак, в результате мы получаем формулу определения доходности акции, или, иначе, формулу определения стоимости собственного капитала компании (под какой процент ей будут готовы дать деньги акционеры) с учетом ее бизнес-риска:

Эта формула была выведена в 1970-х годах и де-факто стала основой оценки акций компаний, а также основой оценки ставки дисконтирования для инвестиционных проектов.
* * *
Чтобы лучше понять применение этой концепции, давайте разберем кейс Ameritrade.
Во время чтения кейса постарайтесь самостоятельно ответить на следующие вопросы.
? Какова ваша оценка безрисковой ставки доходности на капитал для оценки Ameritrade (risk-free rate)? Почему?
? У Ameritrade очень небольшая история обращения акций на бирже. Как в этом случае вы предлагаете оценить бету компании? Какие компании из предлагаемых в кейсе вы выберете в качестве базовых для вычисления беты Ameritrade? Почему именно их?
? Используя данные из файлов кейса (смотрите материалы книги на www.gerasim.biz), высчитайте бету и стоимость капитала Ameritrade.
Стоимость капитала в Ameritrade

В середине 1997 года Джо Рикеттс, CEO компании Ameritrade Holding Corporation, начал реализацию новой стратегии компании, которую он сформулировал в начале 1997 года. Успех стратегии основывался на увеличении количества клиентов и снижении издержек на обслуживание одного клиента за счет использования технологий автоматизации операций, а также значительного увеличения расходов на рекламу. Реализация этой стратегии требовала значительных инвестиций в информационные технологии и рекламу. Общий объем расходов был беспрецедентным для компании. Чтобы оценить, сможет ли рост будущих денежных потоков оправдать такие значительные вложения, Рикеттсу было необходимо оценить риск проекта.
История Ameritrade
Компания Ameritrade была основана в 1971 году. Она была пионером в индустрии розничных брокерских услуг с низкой комиссией, позволив простым американцам приобщиться к инвестированию в ценные бумаги. Она ввела в оборот множество новых приемов, которые позволили индивидуальным инвесторам найти свой путь на фондовом рынке. Например, в 1988 году Ameritrade впервые ввела в действие автоматизированную телефонную систему размещения заказов на покупку акций, в 1994 году она стала первой компанией, которая предлагала клиентам возможность торговли ценными бумагами через Интернет.
Стратегия постоянных инноваций себя оправдывала (см. финансовую отчетность Ameritrade в таблице). В марте 1997 года компания провела IPO, выручив за счет продажи акций инвесторам $22,5 млн. Дополнительные средства позволили Ameritrade продолжить свои инвестиции в современные технологии и активный маркетинг, что помогло компании значительно увеличить свою долю на рынке.


Источники заработка Ameritrade
Основными источниками дохода компании были комиссионные и процентные платежи клиентов. Комиссионные доходы состояли из доходов от брокерских комиссий за проведение сделки, заказанной клиентом. Процентные доходы компания получала в двух случаях. Во-первых, Ameritrade начисляла проценты по счетам клиентов, на которых образовался отрицательный остаток (фактически проценты за кредит). Во-вторых, Ameritrade имела право частично (в пределах, разрешенных SEC) инвестировать денежные средства, которые имелись на счетах клиентов. Эти средства компания обычно вкладывала в ликвидные ценные бумаги, получая прибыль от их последующей продажи.
Доходы Ameritrade были тесно связаны с состоянием рынка ценных бумаг. Кризисы на рынке негативно сказывались на потоке заказов от клиентов. Например, в 1988 году, после кризиса на фондовом рынке США 19 октября 1987 года, доходы Ameritrade упали на 20 %.
Работа Ameritrade отличалась от традиционных брокерских фирм ориентацией именно на брокерское обслуживание. Традиционные брокерские фирмы, такие как Merrill Lynch, помимо непосредственно брокерских услуг предоставляли клиентам также инвестиционно-банковские услуги, организовывали управление активами клиентов. Доходы от этих видов услуг частично компенсировали этим фирмам падение комиссионных доходов в периоды спада рынка, так что доходы традиционных брокеров по сравнению с Ameritrade были менее подвержены колебаниям фондового рынка.
Предполагаемые инвестиции и стоимость капитала
Рикеттс планировал упрочить позицию компании за счет привлечения большого числа клиентов. Цель была сделать Ameritrade ведущим в мире брокером по количеству сделок. Реализации стратегии заключалась в агрессивном снижении цен, технологических улучшениях и больших вложениях в рекламу. Все это, с одной стороны, должно было дать приток новых клиентов, а с другой – снизить затраты на одного клиента, ведь издержки на обслуживание системы электронной торговли через Интернет в пересчете на одного клиента были почти нулевыми. Требовались только большие первоначальные затраты на создание такой системы.
Для реализации новой стратегии, во-первых, Ameritrade намеревалась снизить комиссию с $29,95 до $8 за транзакцию для всех заявок, поданных через Интернет. Конечно, основные конкуренты Ameritrade, такие как E*Trade и Charles Scwab, могли ввязаться в ценовую войну с Ameritrade. Поэтому, чтобы обеспечить победу в этой войне, Рикеттс решил сделать компанию не только онлайн-брокером с самыми низкими комиссионными, но и онлайн-брокером с самыми низкими издержками. Одновременно с этим он хотел повысить надежность работы систем Ameritrade, чтобы предотвратить зависания системы и невозможность для клиентов войти в систему – целью была 100 %-ная надежность и доступность системы. Предполагаемые затраты на технологические улучшения должны были составить более $100 млн. Кроме того, Рикеттс также планировал увеличить рекламный бюджет Ameritrade до $155 млн на два ближайших года (1998-й и 1999-й).
Чтобы измерить финансовый эффект от рекламной кампании и инвестиций в технологии, нужно было оценить риск проекта. План был бы эффективен, только если бы дополнительная прибыль была больше стоимости привлекаемого капитала. Джо Рикеттс был уверен, что его роль как СЕО заключалась в максимизации доходов акционеров. Рикеттс считал, что необходимый возврат на капитал был достаточно высоким – в районе 30−50 % годовых. Но были и другие варианты. Например, не так давно финансовый аналитик компании CS First Boston, освещающий деятельность Ameritrade для внешних инвесторов, при оценке рыночной стоимости акций Ameritrade использовал ставку дисконтирования в 12 %. Финансовый директор Ameritrade использовал ставку дисконтирования в 15 %. Некоторые менеджеры Ameritrade считали, что в качестве стоимости капитала надо вообще использовать стоимость заемного капитала (кредитов), которая оценивалась в 8–9 %.
Существовал и еще один интересный вопрос: а в какой отрасли бизнеса работала Ameritrade? Была ли компания брокером или интернет-компанией? В своем недавнем отчете аналитики инвестбанка ABN-AMRO оценивали Ameritrade в сравнении с интернет-компаниями, такими как Yahoo и Netscape.
Чтобы оценить стоимость капитала, Джо Рикеттс привлек консультанта (см. информацию, использованную консультантом, в таблицах, а также в виде файлов в разделе материалов по книге на сайте www.gerasim.biz).



Какова же была стоимость привлекаемого капитала для Ameritrade?
Разбор полетов Ameritrade
Стоимость капитала Ameritrade складывается из трех компонентов формулы CAPM, о которых мы говорили выше:
• доходности безрисковых вложений;
• риск-премии рынка;
• бизнес-риска компании (беты).
Давайте разберем все три компонента в кейсе Ameritrade.
Безрисковая доходность
Как уже говорилось, безрисковыми активами (по крайней мере, наименее рискованными из существующих) можно считать облигации казначейства США. Но какие именно? У нас есть очень разные варианты – от трехмесячных до пятидесятилетних. У нас есть исторические и текущие рыночные данные по доходности. В общем, вариантов хватает.
Логика при выборе следующая.
• Во-первых, надо брать текущую, а не историческую доходность. Историческая доходность включает в себя периоды низкой и высокой инфляции, низких и высоких процентных ставок и т. д. При определении ставки дисконтирования нас интересуют требования инвесторов, которые они предъявляют к компании в данный момент. Эти ожидания доходности будут основываться на текущих рыночных условиях.
• Во-вторых, для сравнения необходимо брать облигации, совпадающие по длительности с длительностью проекта, так как ожидания инвесторов по доходности различаются в зависимости от предполагаемого срока вложения денег.
Как вы видите, в зависимости от длительности обращения даже государственной облигации инвесторы требуют от нее разную доходность. По краткосрочным трехмесячным казначейским векселям текущая доходность составляет 5,24 %, по 50-летним – 6,61 %. Нам нужно найти облигации, которые по длительности наиболее близки к проекту. Исходя из вышесказанного, я бы рекомендовал использовать в качестве безрисковой ставки для проекта Ameritrade текущую доходность по десятилетним государственным облигациям, то есть 6,34 %.
Риск-премия рынка
Проблема с риск-премией рынка заключается в том, что найти данные по текущей риск-премии достаточно сложно. Таких данных нигде нет. Поэтому для вычисления обычно приходится пользоваться исторической риск-премией с коррекцией на текущую рыночную ситуацию.
Исторические данные дают нам некоторый выбор: от 8 % (14 % историческая среднегодовая доходность по акциям минус 6 % историческая среднегодовая доходность по долгосрочным облигациям) по «более свежим» данным (1950–1996), до 7,2 % – (12,7 % – 5,5 %) по наиболее полным историческим данным. Какую цифру брать? Здесь нет абсолютно точного рецепта. Каждый аналитик решает для себя самостоятельно. Я бы при оценке ориентировался на значение в районе 8 %.
В периоды подъема рынка, если посмотреть на оценку акций компаний и «заложенную» в ней риск-премию рынка, мы можем увидеть «подразумеваемую» премию гораздо ниже 8 %. В периоды кризисов – наоборот, гораздо больше.
Кстати, здесь кроется и объяснение кризисов и подъемов курсов акций на фондовых рынках. Например, чем был обусловлен подъем фондового рынка в России в 2003–2008 годах? Можно, конечно, говорить о высоких ценах на нефть, но в основе своей это была переоценка риска инвесторами. Что происходит, когда инвесторы начинают оценивать рискованность вложений в акции российских компаний как снижающуюся? Грамотные инвесторы при оценке компаний обычно строят DCF-модели. Компания ведь, по сути, один большой бизнес-проект, который можно оценить так же, как и любой другой инвестиционный проект. Так вот, построив модель, инвестор должен найти ставку дисконтирования для этой модели. В этом случае, если инвестор оценивает риски России и российских компаний как снизившиеся, он заложит в модель более низкую риск-премию. А чем ниже ставка дисконтирования, тем выше NPV и, соответственно, тем выше тот прогнозный курс акций, который получает инвестор (курс акций в глазах инвестора – это NPV компании, деленное на количество акций в обращении). В этом случае инвестор получит более высокий прогнозный курс акций и, соответственно, купит акции компании. Высокий спрос со стороны инвесторов в этом случае поднимет рыночную цену акций российской компании.
В периоды кризисов все происходит в обратном порядке. Инвесторы начинают оценивать риски вложений в акции российских компаний как более высокие. Ставки дисконтирования растут – NPV модели (читай, прогноз курса акций) снижается. Инвестор продает акции. Вот вам и кризис на фондовом рынке.
Подытоживая, в расчете ставки дисконтирования для Ameritrade мы будем пользоваться риск-премией в 8 %.
Бета
Как вы уже знаете, риск компании, то есть ее бета, определяется бизнес-риском компании, то есть рискованностью той области бизнеса, в которой компания работает, а также ее структурой капитала. Структура капитала Ameritrade на 100 % состоит из собственного капитала, так что основу беты будет определять бизнес-риск Ameritrade. Поэтому прежде всего нам нужно разобраться, в каком бизнесе работает Ameritrade. Есть несколько вариантов: традиционная брокерская компания, интернет-компания или что-то еще.
Давайте разбираться. Во-первых, мне кажется, нельзя сравнивать Ameritrade с интернет-компаниями. Интернет – это всего лишь способ ведения бизнеса, а видов бизнеса, которые ведутся в Интернете, великое множество. Так что сравнение Ameritrade с Yahoo трудно назвать корректным.
Далее давайте сравним бизнес Ameritrade с универсальными компаниями, работающими в сфере инвестиционных услуг, такими как Merrill Lynch. Бизнес похож, но Ameritrade более рискованна – в периоды спада ее доходы падают сильнее доходов компаний, оказывающих дополнительные инвестиционные услуги.
Остаются только специализированные брокеры, бизнес которых наиболее близко повторяет Ameritrade.
Зачем мы все это обсуждали? Проблема в том, что акции Ameritrade торгуются на рынке в течение очень короткого промежутка времени, поэтому если посчитать их бету по фактическим данным, она может получиться неверной – доступная выборка очень мала. Поэтому при вычислении беты нам придется полагаться на беты компаний, сравнимых с Ameritrade, но находящихся на бирже значительно дольше. И в этом случае очень важно правильно выбрать базовые компании для сравнения (по-английски comparables). В случае с Ameritrade наиболее близкими и подходящими на роль базовых будут Charles Schwab, Quick & Reilly, а также Waterhouse Investor Services. Их-то мы и будем использовать для вычисления беты Ameritrade.
Как вычислить беты базовых компаний на основе выданных данных (см. файлы на www.gerasim.biz)? Как уже говорилось, это можно сделать с помощью анализа поведения акций этих компаний в сравнении с поведением фондового рынка в целом (в качестве рынка мы используем средневзвешенное значение основных американских биржевых индексов S&P500 и NASDAQ). Кроме того, важен и срок, за который вычисляется бета. Не имеет смысла вычислять бету компании за срок, больший чем последние 3−5 лет. За это время бизнес и рискованность компании могли сильно измениться. Поэтому в данном примере беты для всех компаний мы будем считать за пятилетний период (1992–1996).
Для этого надо будет построить небольшую модель, показывающую изменения в процентах курсов акций и значений индекса на периодической основе (в нашем случае помесячно: см. файл на www.gerasim.biz), в которой надо будет вычислить коэффициент линии тренда. Это можно сделать с помощью надстройки Excel, которая называется «пакет анализа» (входит в стандартную поставку программы). Внутри пакета анализа выбираем «Регрессия». Далее в качестве данных по оси Х выбираем данные индекса, по оси Y – данные по изменению курса акций компании. Если вы все сделали правильно, то, например, по Charles Schwab вы получите следующие значения.
В данном случае коэффициент переменной Х1 – это и есть бета Charles Schwab (не будем обсуждать другие показатели – это удел учебника по статистике). Аналогичным образом калькулируются и беты для Quick & Reilly (β=2,2) и Waterhouse Investor Services (β=3,2). Обратите внимание, что значения беты этих компаний различаются (особенно Waterhouse). Почему? Все дело, как мы уже рассматривали, в разнице в соотношении собственного и заемного капитала этих компаний. Нам нужно убрать его эффект и получить «чистую» бету каждой компании, то есть бету, как если бы компания на 100 % финансировалась только за счет собственного капитала. Для Waterhouse отношение долговых обязательств к рыночной стоимости акций компании (обратите внимание, именно к рыночной, а не «бухгалтерской» стоимости, – при вычислении ставки дисконтирования используйте только рыночную стоимость собственного капитала) составляет 0,38. Текущая фактическая бета составляет 3,2. Соответственно «чистая» бета Waterhouse Investor Services составит:

Повторив упражнение для остальных базовых компаний, сведем данные в таблицу:


Вот мы и получили бету Ameritrade. В нашем случае ее значение составит 2,1. Поскольку в 1997 году у Ameritrade не было банковской задолженности (вся ее задолженность – это краткосрочная торговая задолженность перед клиентами, то есть компонент оборотного капитала), то учитывать эффект левериджа в бете Ameritrade не нужно. Интересно, что по факту бета компании в 1997–2000 годах составила 2,3. Учитывая, что леверидж компании в этот период немного повысился, мы с вами очень близки к истине!
Кроме того, хотел бы обратить ваше внимание на важность правильного подбора базовых компаний. Обратите внимание, что чистые беты базовых компаний были очень сходны. А каковы чистые беты компаний, работающих в области традиционных инвестиционных услуг? Проделав примерно ту же работу, что и для базовых, мы можем получить эти данные:

Как вы видите, оценка риска компаний, оказывающих инвестиционные услуги, которую им дают инвесторы, значительно ниже, чем оценка инвесторами риска «чистых» брокеров. Мы были бы неправы, если бы для сравнения бет использовали их, и это исказило бы результат. Это важный момент. Если в процессе подбора базовых компаний вы увидели, что их чистые беты существенно различаются, то это повод задуматься о том, правильно ли вы сделали выбор.
Ну вот и стоимость капитала Ameritrade
Имея все необходимые данные, нам будет несложно вычислить стоимость капитала Ameritrade:

Кстати, обратите внимание на ставку дисконтирования, которую использовали аналитики CSFB. Чтобы получить ставку дисконтирования в 12 %, риск-премия рынка, которую они использовали, должна была быть порядка 2,6 % (формула вычисления была примерно такой же, как и у нас)! Действительно, в тот момент (1997 год) на рынке США начал «набухать» пузырь – инвесторы очень низко оценивали риски компаний, активно работающих с новыми технологиями и Интернетом. В связи с этим реальная риск-премия рынка, требуемая инвесторами, в тот момент действительно могла составлять 2,6 %. Только вот в 2000 году этот пузырь лопнул, что привело к кризису на фондовом рынке и в экономике США в 2001 году.
И всем вам настанет WACC!
В предыдущей главе мы говорили о том, что ставка дисконтирования – это тот минимальный процент, под который акционеры готовы дать деньги компании на проект. Получается, что ставка дисконтирования равна стоимости собственного капитала? Не всегда. Мы с вами забыли про один важный нюанс – возможность использования компанией не только денег акционеров, но и кредитных денег. В ситуации Ameritrade это было неактуально, так как у компании отсутствовал заемный капитал в структуре баланса. Но обычно компании в той или иной мере используют кредитные ресурсы. Поэтому давайте разберем, какое влияние на ставку дисконтирования оказывает использование заемных средств.
Вспомним основную задачу менеджеров: приносить доход акционерам. Только ли им? Не только. В конечном итоге у компании есть много разных заинтересованных в результатах ее работы лиц (по-английски – stakeholders). Это работники, которые работают на компанию и которых она обеспечивает средствами к существованию. Это государство, которое получает от компании налоги и решает за счет компании определенные социальные задачи (та же борьба с безработицей и социальной напряженностью). Но это и кредиторы. Вспомним уравнение бухгалтерского баланса:
АКТИВЫ (Assets) = ЗАЕМНЫЙ КАПИТАЛ (Debt) + СОБСТВЕННЫЙ КАПИТАЛ (Equity).
Мы можем представить источники финансирования активов как большой «пирог» (структура указана как пример):

В этом случае мы понимаем, что в среднем любой проект компании из этого примера на 60 % финансируется за счет средств акционеров и на 40 % – за счет кредитов. Возврат от проекта должен удовлетворить не только акционеров, но и кредиторов компании. Например, мы посчитали беты, риск и т. д. и выяснили, что стоимость собственного капитала должна составлять 20 %. При этом компания может взять кредит под 15 % годовых (обычно возврат на капитал, требуемый кредиторами, ниже требуемого акционерами, так как у кредиторов ниже риски: в случае проблем компании их права требования на имущество компании стоят выше прав акционеров). Какой в этом случае должен быть ожидаемый возврат по проекту? Как посчитать, какова должна быть ставка дисконтирования?
Логика подсказывает, что возврат по проекту, удовлетворяющий и акционеров, и кредиторов, должен быть средневзвешенным между стоимостью собственного и заемного капитала (пропорционально их доле). В нашем случае средневзвешенная стоимость капитала, согласно этой логике, будет составлять: 60 % × 20 % + 40 % × 15 % = 18 %.
Все вроде бы просто? Но мы забыли об одной важной детали. Это налоги. Вспомните, что процентные выплаты кредиторам можно вычитать из налогооблагаемой базы. Давайте рассмотрим пример. Предположим, что наша компания инвестировала в проект 1000 руб., из которых 600 руб. дали акционеры, а 400 руб. – кредиторы. Длительность проекта – один год. В конце года компания получила доход в 18 % на вложенный капитал, то есть денежный поток в размере 1180 руб. после уплаты налогов, но до уплаты процентов по кредиту. Тысяча руб. ушла на выплату основной части инвестиций кредиторам и акционерам. Оставшиеся 180 руб. уходят на проценты кредиторам и дивиденды акционерам. Итак, кредиторам компания заплатит 400 × 15 % = 60 руб. Однако процентные платежи можно вычитать из налогооблагаемой базы. В этом случае (предположим, что ставка налога на прибыль составляет 25 %) компания вернет себе 60 × 25 % = 15 руб. налогов, и акционеры получат 180 – 60 + 15 = 135 руб.
Итак, компания вроде бы заработала ровно столько, сколько просили акционеры и кредиторы на свои вложения (средневзвешенная доходность в 18 %), но акционеры за счет налогового щита получили денег больше, чем ожидали. Обратите внимание, что компания могла бы заработать всего 1165 руб., чтобы полностью обеспечить доходность, требуемую кредиторами и акционерам. Кредиторы по-прежнему получили бы свои 60 руб. процентных платежей. Акционеры бы получили 105 руб. плюс 15 руб. возврата налогов, то есть всего те самые 120 руб., которые они хотели получить (20 % на 600 руб. инвестиций). Учитывая, что средневзвешенная стоимость капитала – это доходность, которая достаточна для удовлетворения требований кредиторов и акционеров, мы можем сказать, что в данном случае она составляет не 18 %, а 16,5 %. Математически средневзвешенная стоимость капитала (по-английски WACC, или Weighted Average Cost of Capital) составит:

где:
D – доля заемных средств в структуре капитала;
E – доля собственных средств в структуре капитала;
kd – стоимость заемных средств;
t – ставка налога на прибыль;
ke – стоимость собственного капитала.
В нашем примере WACC составит:

WACC – это основной метод вычисления ставки дисконтирования для любых инвестиционных проектов. Он верен и в случае с Ameritrade. Просто поскольку Ameritrade не использовала заемные средства (D=0), WACC Ameritrade был равен стоимости ее собственного капитала.
Что надо сделать, чтобы посчитать WACC и использовать его? Последовательность шагов примерно следующая.
1. Считаем денежные потоки проекта. Обратите внимание, что в калькуляции WACC уже учтен налоговый эффект процентных платежей, поэтому в расчете денежных потоков учитывать процентные платежи НЕ НУЖНО. Иначе вы два раза посчитаете одно и то же и завысите NPV.
2. Определяем структуру капитала, которую будем использовать в расчете. Для проектов, не связанных с покупкой других компаний, чаще всего это будет целевая структура капитала нашей компании.
3. Находим стоимость заемного капитала (kd). Чаще всего это будет ожидаемая стоимость кредитов нашей компании.
4. Находим чистую бету проекта (βa). Обратите внимание, что бета компании, рассматривающей проект, и бета проекта – это не одно и то же. Бета всегда специфична для конкретного проекта, а не для компании, которая проект рассматривает. Поэтому для проекта важно найти правильные базовые компании для сравнения. Это может быть наша компания, но не обязательно. Например, если наша компания занимается производством легковых автомобилей и рассматривает проект организации производства нового легкового автомобиля, то ее бета будет подходить для проекта. Но если это проект организации производства, например, телевизоров, то в данном случае у производства телевизоров совсем другой бизнес-риск, совсем другая бета. Поэтому бету нашей автомобильной компании для оценки WACC такого проекта использовать ни в коем случае нельзя. Нам придется найти компании, занимающиеся производством телевизоров, и оценить бету проекта через них (по схеме, аналогичной кейсу Ameritrade).
5. Находим бету проекта с учетом структуры капитала (βe).
6. Находим безрисковую ставку и риск-премию рынка (уже обсуждали как).
7. Находим стоимость собственного капитала (ke) для проекта с использованием модели САРМ по формуле: ke = rf + βe × rm.
8. Находим ставку налога на прибыль (обычно официальная ставка налога на прибыль в стране, в которой будет реализован проект).
9. Находим WACC по формуле 
10. Дисконтируем денежные потоки с помощью WACC.
11. Радуемся, что сделали большое дело, и не забываем проводить анализ рисков и чувствительности проекта к изменению основных предположений (включая и ставку дисконтирования).
Есть один важный момент, на который надо обратить внимание при калькулировании и использовании WACC. Прежде всего, при отсутствии значительных изменений структуры капитала WACC существенно не меняется. Почему? С одной стороны, исходя из формулы, при увеличении доли заемного капитала WACC должен падать (так как заемный капитал дешевле собственного). Однако надо понимать, что при увеличении объема кредитных ресурсов увеличивается и риск вложений акционеров компании. В этом случае начинает расти бета собственного капитала и, соответственно, стоимость собственного капитала.

Это делает WACC очень удобным инструментом. При использовании WACC при отсутствии серьезных колебаний структуры капитала компании (или проекта) вас дальше уже не волнует ее изменение. Вам не надо заботиться об учете способов финансирования в расчете NPV проекта.
Надо сказать, что одна из очень часто встречающихся ошибок – это то, что в проект пытаются «впихнуть» его финансирование. Например, говорят, что дисконтировать проект надо по ставке стоимости кредитов, так как проект предполагается финансировать за счет кредитов. Это в корне неверно по двум причинам:
• во-первых, ни один проект невозможно полностью финансировать за счет заемных ресурсов. Сказок не бывает. В той или иной степени вам придется вкладывать в бизнес собственные деньги;
• во-вторых, часть кредита на проект будет выдана под залог других активов компании. Получение кредита увеличит долговую нагрузку компании, то есть уменьшит доступность кредитов для других проектов компании. Это важный момент. Чем предлагаемый проект лучше других проектов компании (под них ведь тоже можно взять кредиты)? Почему один проект обязательно финансируется кредитом, а другой обязательно нужно финансировать за счет собственного капитала?
Логически получается, что все проекты компании в среднем финансируются за счет некой смеси собственных и заемных средств. Это усредненное понятие, но оно правильное. Понятно, что на практике вы крайне редко увидите специальный кредит под конкретный проект совместно со специальным выпуском акций под этот же проект. Кредиты и выпуски акций обычно происходят «на общие нужды». Но если брать этот «пирог» в целом, то любой проект финансируется кредиторами и акционерами в определенных пропорциях. Это и учитывает WACC. Кроме того, это важный момент для практического мышления менеджеров. Менеджеры должны принять бизнес-решение о проекте, а уже задача финансового директора – профинансировать эти проекты из некоего «мешка» (капитала). Финансовый директор должен определить размер, структуру и состав этого «мешка». Он должен дать менеджерам установки по ограничениям «мешка» (стоимости заемного капитала, общему объему доступного финансирования). Далее вся менеджерская команда, имея в виду эти ограничения, должна выбрать из доступного количества проектов те проекты, которые позволят получить максимальную добавленную стоимость для акционеров (грубо говоря, максимальный NPV). Как именно финансовый директор может определить размер, структуру и состав мешка, мы будем подробно обсуждать в следующей части книги.
В некоторых проектах есть специфика финансирования. Например, у вас может быть проект с государственной гарантией по кредитам, которая снижает риски кредиторов и, соответственно, снижает процентную ставку по кредитам по сравнению со средней рыночной ставкой для компании (kd). У вас может быть специальное экспортное финансирование или проектное финансирование вашего проекта. Что делать в этом случае? Самое простое решение: по-прежнему использовать WACC, но отдельно приплюсовать эффект «нестандартных» компонентов финансирования. Например, по госгарантиям мы можем посчитать и дополнительно приплюсовать к NPV эффект от более низкой стоимости заемного капитала, посчитав его как налоговую выгоду от разницы между стандартной стоимостью кредитов для компании и ставкой по кредиту с госгарантией.
Кроме того, как альтернативу WACC в этом случае можно использовать метод калькуляции APV (Adjusted Present Value), который мы рассмотрим позднее в этой книге.
Обратите внимание, что ставка дисконтирования – это не заповедь, высеченная в камне. В ее расчете есть много места для субъективизма. Например, вы можете использовать ставку риск-премии рынка не 8 %, а, скажем, 10 %. Эти цифры можно защитить и обосновать. То же касается и беты. Поэтому при расчете проекта бывает полезно сделать анализ чувствительности проекта к изменению ставки дисконтирования. Если при ее изменении на 1–2 % NPV проекта становится отрицательным, то, может, и не стоит заниматься таким проектом?
* * *
Чтобы закрепить всю тему на практике, давайте рассмотрим ситуацию American Chemical.
При прочтении кейса постарайтесь самостоятельно ответить на следующие вопросы.
? Постройте модель денежных потоков проекта покупки завода с учетом и без учета ламинатной технологии.
? Какой WACC надо использовать для дисконтирования денежных потоков проекта покупки завода в Коллинсвилле?
? Стоит или не стоит покупать завод? Что вы порекомендуете менеджменту Dixon Corporation?
Коллинсвилль – купить или не купить, вот в чем вопрос!
В октябре 1979 года American Chemical Corporation, одна из крупнейших диверсифицированных химических компаний в США, вела переговоры о продаже одного из своих заводов по производству хлората натрия с Dixon Corporation. После предварительных переговоров American предложила Dixon выкупить чистые активы завода в Коллинсвилле за $12 млн. Менеджерам Dixon предстояло провести оценку сделки для ее представления своему Совету директоров.
Рынок хлората натрия
Хлорат натрия (NaClO3) – химикат, который получается в ходе электролитического разложения водного раствора поваренной соли (NaCl) согласно формуле:

Хлорат натрия продавался в виде белого порошка или в виде 25 %-ного водного раствора. Примерно 85 % хлората натрия, потребляемого в США, использовалось в целлюлозно-бумажной промышленности для отбеливания целлюлозы. В результате реакции хлората натрия с солью (NaCl) и серной кислотой (H2SO4) образовывался диоксид хлора (ClO2):

Диоксид хлора был активным компонентом, который использовался в отбеливании целлюлозы. Оставшиеся 15 % производимого в стране хлората натрия применялись в стерилизаторах почвы, в качестве окислителя при добыче урана, а также в производстве различных химических компонентов, таких как перхлорат аммония и хлорат калия.
В 70-е годы продажи хлората натрия активно росли: с 220 000 тонн в 1970 году до прогнозных 435 000 в 1979 году. Продажи росли примерно на 8,6 % в год в 1970–1974 годах, но затем упали на 12 % в 1975 году из-за рецессии в экономике. В ходе последующего восстановления экономики спрос рос примерно на 10 % в год в 1976–1979 годах (см. таблицу).

Ожидалось, что рост спроса будет продолжаться темпами в 8–10 % в год. Хотя рост производства бумаги и целлюлозы ожидался только на уровне 3–4 % в год, предполагалось, что производители станут более активно использовать хлорат натрия, так как он позволял уменьшить их проблемы с экологически грязными стоками вод от предприятий. Рост спроса в других областях использования хлората натрия ожидался на уровне 8–10 % в год.
Ввод в строй новых мощностей по производству хлората натрия не успевал за спросом. В то время как объем продаж с 1970 по 1979 год увеличился на 95 %, введенные в строй мощности составили только около 70 % этой цифры. Недостаток предложения привел к значительному увеличению цен и росту рентабельности производства хлората натрия, даже несмотря на значительный рост издержек производства в этот период.
К концу 1979 года производством хлората натрия в США занимались полтора десятка производителей. На рынке доминировали большие диверсифицированные химические компании, такие как Hooker, Pennwalt, American Chemical и Kerr-McGee. Однако производством хлората натрия занялись также и несколько производителей бумаги, такие как Georgia Pacific. Две компании (Brunswick и Southern) специализировались только на производстве хлората натрия. Три крупнейших производителя занимали 55 % рынка (см. таблицы).











Большинство заводов по производству хлората натрия располагались на юго-востоке США, где из-за высокой локальной концентрации целлюлозно-бумажных комбинатов потреблялось примерно 2/3 всего производимого в стране объема хлората натрия. Транспортные расходы на доставку химиката на ЦБК были значительны, поэтому обычно заводы по производству хлората натрия располагались в пределах 800 миль от своих основных потребителей.

К существующим производителям в 1980 году планировали присоединиться два новых. Union Chemical Corporation строила завод мощностью 40 000 тонн в год в Гейнсвилле, штат Джорджия. Louisiana Paper Company строила завод на 35 000 тонн в год в Гринвилле, штат Миссисипи. Дополнительные производственные мощности должны были увеличить конкуренцию, поэтому в 1980–1981 годах ожидалось падение рентабельности производства. После этого по мере роста спроса ожидалось восстановление маржи. Надо отметить, что цена тонны хлората натрия, при которой можно было достичь возврата на инвестиции в 15 % для нового 40 000-тонного завода, в 1979 году составляла $420 за тонну.
Завод в Коллинсвилле
Завод в Коллинсвилле был рассчитан на производство 40 000 тонн хлората натрия в год. Производство заключалось в электролизе раствора поваренной соли в ячейках, называемых «D-ячейки». В процессе производства потреблялись графитовые электроды. После окончания процесса электролиза получившуюся жидкость, содержащую хлорат натрия, очищали от посторонних примесей. Затем раствор поставляли потребителям либо выпаривали для получения кристаллического хлората натрия.
С 1974 по 1979 год завод в Коллинсвилле был стабильно прибылен. Чистые активы завода выросли с $4 619 000 в 1974 году до $5 414 000 в 1979 году. За этот же период соотношение операционной прибыли к чистым активам составляло в среднем 54,3 % (см. таблицу).



Основным компонентом производственных издержек была электроэнергия. Для производства тонны хлората натрия Коллинсвиллю требовалось 7000 кВт•ч электроэнергии. Затраты на электроэнергию составляли от 55 до 60 % всей себестоимости производства. Соль, графит и прочие переменные издержки составляли порядка 20 % себестоимости. Оставшиеся 20 % составляли оплата труда рабочих и издержки на ремонты и техобслуживание.
Электроэнергию завод покупал у Tennessee Valley Authority (TVA), чьи гидроэлектростанции исторически были поставщиками дешевой электроэнергии. В начале 70-х годов тарифы TVA были в 2 раза ниже, чем тарифы других энергокомпаний США. Но по мере роста потребления энергии TVA была вынуждена дополнять свое гидроэнергетическое производство более дорогой энергией от тепловых станций. Кроме того, TVA испытывала все большее давление со стороны властей, призывающих переложить повышение тарифов в результате закупки более дорогой энергии с населения на промышленных потребителей. В результате всех этих факторов тарифы на электроэнергию для Коллинсвилля увеличились с $0,019 за кВт•ч в 1977 году до $0,025 за кВт•ч в 1979 году.
Капитальные вложения Коллинсвилля в период с 1973 по 1979 год составляли от $200 000 до $500 000 в год. Деньги шли, главным образом, на ремонты и экологические мероприятия. В конце 1979 года завод соответствовал всем экологическим требованиям государственных органов. Капитальные вложения в будущем оценивались в $475 000–600 000 в год.
American инвестировала средства в исследовательские работы, которые должны были снизить издержки производства хлората натрия. Новые заводы по производству хлората натрия использовали металлические электроды вместо графитовых. Это позволяло ликвидировать расходы на графит, а также на 30 % снижало потребление электроэнергии. Однако технология Коллинсвилля была такова, что стоимость изменения технологического процесса для замены графитовых электродов на металлические была неприемлемой. Исследования, однако, привели к разработке технологии, которая позволяла ламинировать графитовые электроды металлическим покрытием. Использование ламината привело бы к ликвидации расходов на графит. Кроме того, при этом ожидалось сокращение потребления электроэнергии на 15–20 %. Разработка технологии была закончена примерно на 40 %. Ее испытания на пилотном заводе были запланированы на декабрь 1980 года. American предполагала, что переход на ламинатную технологию стоил бы заводу в Коллинсвилле $2,25 млн.
Продажа завода Коллинсвилль
Dixon Corporation была компанией, специализировавшейся на производстве вспомогательных химикатов для целлюлозно-бумажной промышленности. Ее основными продуктами были серная кислота, сульфат алюминия и жидкий диоксид серы. Как уже говорилось ранее, серная кислота использовалась совместно с хлоратом натрия для получения отбеливающего агента. Основная производственная площадка Dixon располагалась в Кальхуне, штат Джорджия. Продажи компании были сконцентрированы на юго-востоке США. Dixon была прибыльной компанией, и ее продажи постоянно росли (см. таблицу).


Покупка завода в Коллинсвилле хорошо вписывалась в стратегию работы Dixon – развитие в качестве поставщика для целлюлозно-бумажной промышленности. Хлорат натрия хорошо дополнял существующую продуктовую линейку Dixon. Компания уже имела деловые отношения с рядом крупнейших клиентов Коллинсвилля. Таким образом, Dixon могла сэкономить на коммерческих расходах, так как продажи хлората натрия вели бы те же люди, что сейчас продавали другие продукты компании.
Оценивая покупку завода, Dixon подготовила финансовую модель (см. таблицу). Модель анализировала рентабельность завода без использования технологии ламинирования электродов. Избыток производственных мощностей в ближайшем будущем должен был привести к снижению прибыльности. Однако Dixon ожидала, что цены на хлорат натрия будут расти в ближайшем будущем на 8 % в год. Тарифы на электроэнергию при этом должны были расти на 12 % в год. Коммерческие расходы могли быть снижены за счет использования существующей в Dixon сбытовой структуры.
Dixon также планировала при приобретении завода переоценить его основные средства, что должно было увеличить амортизационные начисления. В цену чистых активов (12 млн) входил чистый оборотный капитал в размере $1,4 млн. Имущество завода для целей амортизации могло быть переоценено в сумму $10,6 млн. Далее амортизация бы начислялась линейно в течение 10 лет без остаточной стоимости в конце срока службы. Срок полезного использования основных средств для амортизации соответствовал планируемому физическому сроку работы завода.


В соглашении о продаже завода было записано, что American обязывается оказывать заводу техническую поддержку и, в частности, обязывается информировать Dixon о ходе разработки технологии ламинирования электродов. После завершения разработки технологии American обязывалась передать технологию Dixon. Правда, при этом Dixon должна была оплатить все издержки, связанные с переходом завода в Коллинсвилле на эту технологию.
Так как Dixon имела существенные неиспользованные возможности кредитного финансирования, весь проект предполагалось профинансировать за счет заемного капитала. Для этого планировалось выпустить 15-летние облигации на $8 млн, которые должны были выкупить две страховые компании. Купонные выплаты по этим облигациям должны были составить 11,25 % годовых. Согласно условиям выпуска компания должна была погашать по $800 000 от суммы выпуска ежегодно, начиная с шестого года. На оставшиеся $4 млн Dixon должна была выпустить вексель в пользу American. Сумма векселя должна была равномерно погашаться в течение 5 лет. Процент по векселю также должен был составить 11,25 % годовых. На этот момент на рынке превалировали следующие процентные ставки:

Необходимость финансирования покупки привела бы к временному росту задолженности в структуре капитала Dixon до 47 % (по бухгалтерским данным). Хотя перед сделкой в структуре баланса Dixon практически не было заемного капитала, в прошлом компания достаточно обширно прибегала к его использованию. Целевой структурой капитала для объединенной компании Dixon считала соотношение: 65 % собственного капитала и 35 % заемного.
Разбор полетов American Chemical
Итак, для принятия решения нам нужно посчитать цифры. Будем идти по порядку. Начнем с расчета денежных потоков. Мы уже считали денежные потоки в предыдущих главах, поэтому постарайтесь сначала сделать все самостоятельно.
Денежные потоки
Отличие данного кейса от предыдущих заключается в том, что денежные потоки здесь вы можете посчитать исходя из прогнозного отчета о прибылях и убытках. Этой схемой часто пользуются при расчете NPV покупки цельных бизнесов, как в данном случае. В этом случае можно использовать стандартный метод получения денежных потоков проекта, который мы сейчас рассмотрим. Этот метод называется «метод FCFС», от названия вычисляемых денежных потоков – «свободные денежные потоки капитала» (free cash flows to capital), то есть денежные потоки, которые могут быть распределены между кредиторами и акционерами пропорционально «вложенным» ими средствам, то есть пропорционально структуре капитала. Механика метода заключается в следующем.
1. Начинаете с получения EBIT компании (Earnings before Interest and Tax – прибыль до уплаты налога на прибыль и процентных платежей).
2. Из EBIT получаете EBIAT = EBIT × (1 – ставка налога на прибыль). EBIAT – Earnings before Interest after Tax.
3. К EBIAT прибавляете неденежные (non-cash) расходы (в основном амортизация, гудвилл, отложенные налоги).
4. Вычитаете из EBIAT те деньги, которые надо реинвестировать обратно в бизнес. Сюда обычно входят капитальные вложения и инвестиции в дополнительный оборотный капитал.
Для вычисления EBIT нам надо будет сделать предположения по изменению стоимости некоторых ресурсов, которые даны в кейсе. Расчет мы делаем на 10 лет, так как в кейсе предполагается, что именно столько лет проработает завод в Коллинсвилле.
Для вычисления EBIAT нам нужно знать ставку налога на прибыль. В данном случае эту ставку мы можем вычислить по финансовой отчетности Dixon Corporation, поделив налоги на прибыль до уплаты налогов. Получается в среднем 48 %.


Структура капитала
Для определения WACC проекта нам понадобится найти структуру капитала для проекта покупки завода в Коллинсвилле. У нас есть несколько вариантов.
• Использовать в качестве структуры капитала реальную структуру сделки (100 % заемные средства).
• Использовать целевую структуру капитала Dixon.
• Использовать какой-то третий вариант.
При определении корректной структуры капитала для калькуляции WACC первое общее правило гласит: структура капитала должна быть специфична для конкретного проекта. Что это значит? Теоретически каждый проект надо рассматривать как отдельный независимый бизнес со своей структурой капитала. Объясню на уровне здравого смысла. Например, у вас есть нефтяная компания, и вы собираетесь купить компанию по производству программного обеспечения. Ваша структура капитала может существенно отличаться от структуры капитала компаний, которые специализируются на создании программного обеспечения (софтверных). Вам банки будут давать кредиты достаточно охотно, так как у вас есть обеспечение (ваша нефть, оборудование и т. д.). Основной «актив» софтверных компаний – это люди (программисты), под которых банки денег не дадут. Софтверная компания просто физически не сможет так же активно использовать для развития заемные средства, как можете вы. Поэтому для оценки WACC вам придется использовать структуру капитала, отличную от вашей (нефтяной) компании.
На практике все зависит от специфики проекта, который вы оцениваете. Если проект находится примерно в той же области бизнеса, в которой работает ваша компания, то для калькуляции WACC можно использовать целевую структуру капитала этой компании.
Итак, в данном случае для калькуляции WACC проекта покупки Коллинсвилля мы будем использовать целевую структуру капитала Dixon, так как Dixon, будучи производителем химикатов, работает примерно в той же области, что и Коллинсвилль. Здесь есть два нюанса, которые хочу осветить.
Во-первых, возникает вопрос: почему для оценки WACC нельзя использовать реальное финансирование проекта Коллинсвилля (100 % заемный капитал)? Вроде бы это и есть фактическая структура капитала для завода. Однако не будем забывать, что обеспечением по кредитам для кредиторов является не только оборудование Коллинсвилля, но и все остальные активы Dixon. В случае проблем с финансированием кредиторы будут банкротить не Коллинсвилль, а всю Dixon. Иными словами, кредит под покупку Коллинсвилля будет общекорпоративным кредитом, уменьшающим доступность кредитных ресурсов для других проектов Dixon. Предположим, что через месяц после покупки Коллинсвилля Dixon предлагают купить точно такой же завод Коллинсвилль-2. Но в этом случае лимит кредитных ресурсов у компании будет уже иной. Предположим, что она вынуждена будет финансировать покупку Коллинсвилля-2 только за счет собственного капитала (более дорогого по сравнению с кредитами). В этом случае получится, что два абсолютно одинаковых по бизнес-риску проекта будут по-разному оценены. Это неправильно – по одинаковым в бизнес-смысле проектам должны приниматься одинаковые решения.
Кроме того, обратите внимание на следующее: чтобы занять деньги, Dixon не нужен Коллинсвилль. Поскольку Dixon в настоящий момент практически не пользуется кредитами, компания имеет возможность их взять на «общие нужды». При этом эти деньги Dixon может использовать на любые свои проекты (включая Коллинсвилль). Иными словами, анализ проекта покупки Коллинсвилля должен проходить на тех же основаниях, что и анализ любых других проектов Dixon, поэтому использовать цену кредитных ресурсов в качестве ставки дисконтирования для проекта покупки завода нельзя.
Хорошо, но тогда какую конкретно цифру структуры капитала нам надо использовать? В кейсе названо соотношение 65 % (equity) на 35 % (debt). Но здесь имеется нюанс. Надо понимать, что в структуре капитала мы должны использовать не «бумажные» цифры собственного и заемного капитала из баланса, а рыночные цифры. В данном случае я предполагаю, что названное соотношение – это рыночные цифры. Однако если мы проанализируем структуру капитала Dixon после предполагаемого приобретения Коллинсвилля, она будет несколько иной. Давайте попробуем это сделать (подобное упражнение вам придется делать не раз, если вы будете оценивать WACC для калькуляции NPV проектов капитальных вложений или приобретения активов).
Сначала «бумажный» вариант. По финансовой отчетности Dixon собственный капитал компании составляет $14 700 000, заемный $1 000 000. Обратите внимание, что при калькуляции структуры капитала мы не учитываем кредиторскую задолженность, входящую в оборотный капитал. Оборотный капитал – отдельный момент инвестиций, который не учитывается в калькуляции структуры капитала компании при вычислении WACC. В данном случае мы включаем в «долги» только долгосрочную задолженность плюс краткосрочную часть долгосрочной задолженности, то есть часть долгов, которую мы должны погасить в течение 12 месяцев). При консолидации Коллинсвилля в финансовую отчетность Dixon мы получим собственный капитал в $14,7 млн. В активы Dixon пойдут активы Коллинсвилля и гудвилл, в пассивы – $12 млн долгов плюс кредиторская задолженность из оборотного капитала, но оборотный капитал в калькуляции структуры мы учитывать не будем (см. мою первую книгу «Финансовая отчетность для руководителей и начинающих специалистов», если не очень понимаете строчки про гудвилл). Заемный капитал увеличится до $1 + $12 = $13 млн. В этом случае «бумажная» структура капитала Dixon составит D = D / (D + E) = 13 / (13 + + 14,7) = 47 % долга и, соответственно, 53 % собственного капитала.
Теперь давайте попробуем посчитать рыночные цифры. Обычно компонент D считается из финансовой отчетности – бухгалтерская отчетность довольно точно отражает рыночную стоимость кредитных ресурсов. Это всегда верно для кредитов, но не всегда верно для компаний, у которых есть обращаемые на фондовых рынках облигации – для них рыночная стоимость долга может меняться в зависимости от курса их облигаций на бирже. В данном случае мы предполагаем, что у Dixon нет облигаций и что вся ее задолженность – это кредиты. Таким образом, рыночная стоимость долга Dixon после покупки Коллинсвилля составит все те же $13 млн.
Рыночную стоимость акций Dixon в конце 1979 года мы можем найти из данных по цене акций, EPS (Earnings per share) и прибыли компании. Число акций = прибыль / EPS, то есть 4 024 000 / 3,66 ≈ 1 100 000 акций. По курсу на конец октября 1979 года рыночная капитализация составит 1 100 000 × $40 = $44 000 000. Обратите внимание, что эта цифра в несколько раз отличается от цифры собственного капитала Dixon по бухгалтерской отчетности ($14,7 млн). Предположим, что цена в $12 млн за Коллинсвилль справедлива, то есть при покупке Коллинсвилля рыночная капитализация Dixon не изменится (получили актив, стоящий $12 млн, но и отдали за это $12 млн, то есть не создали дополнительной стоимости для акционеров, то есть 44 + 12–12 = 44).
В этом случае «рыночная» структура капитала Dixon составит 13 / (13 + 44) = 23 % долга и, соответственно, 77 % собственного капитала. Обратите внимание, как существенно отличается «бумажная» и «рыночная» структура капитала Dixon! При калькуляции WACC и NPV нас ВСЕГДА интересует не бумажная, а рыночная целевая структура капитала. В данном случае давайте предположим, что 65–35 % – это целевые цифры Dixon в рыночных терминах, то есть что Dixon намеревается еще немного увеличить свою кредитную нагрузку и после покупки Коллинсвилля. Это соотношение мы будем использовать для калькуляции WACC.
Стоимость заемного капитала
При вычислении стоимости заемного капитала логика не меняется – это должна быть стоимость заемного капитала для конкретного проекта со структурой капитала этого проекта. Вернемся к примеру с нефтяной компанией. Если вы покупаете софтверную компанию, стоимость кредитов для этой компании должна быть выше, чем для нефтяной (при прочих равных, то есть одинаковой структуре капитала и т. д.), так как ее бизнес-риск отличается от нефтянки. Более того, на самом деле для крупных компаний, имеющих несколько разных продуктовых дивизионов, далеко не всегда верно использовать единую стоимость заемного капитала для всех дивизионов. У разных дивизионов может быть разный бизнес-риск. Например, в структуру группы «Альфа» (www.alfagroup.ru) в России входят очень различные бизнесы: «Альфа-Банк», «Альтимо» (телекоммуникационный бизнес, включая долю в «Вымпелкоме»), Х5 (розничная торговля), СТС-медиа (медийный бизнес), ТНК-ВР (нефтяной бизнес) и т. д. У каждого из этих бизнесов будет своя стоимость заемного капитала. Считать единую стоимость заемного капитала для всех бизнесов в данном случае нельзя. У каждого из бизнесов, входящих в группу, будет своя стоимость заемных средств.
На практике для проектов, находящихся в одной «зоне» бизнеса с компанией, которая проект рассматривает, вы обычно будете использовать стоимость заемных средств для этой компании. В случае с Коллинсвиллем этот проект находится примерно в той же области бизнеса, что и Dixon, и, стало быть, вполне корректно использовать kd = 11,25 %, то есть стоимость заемного капитала для Dixon.
Стоимость собственного капитала
При вычислении стоимости собственного капитала логика не меняется – стоимость собственного капитала специфична для конкретного проекта. Очевидно, что бизнес-риски нефтяной и софтверной компаний различаются, поэтому будет разной и стоимость собственного капитала (то есть «чистая» бета) этих компаний.
В данном случае мы идем по тому же пути, что и в случае с Ameritrade. Нам нужно найти правильные базовые компании. Вариант номер 1 – бета Dixon. Вроде бы логично. Но не будем забывать, что Dixon не производит хлорат натрия. Компания специализируется на производстве других химикатов. То же самое касается и данных больших химических концернов, таких как Kerr McGee. Они тоже вроде бы в химическом бизнесе, но кроме хлората натрия они производят массу других продуктов. Их бизнес-риск отличается от риска производства только хлората натрия.
Вспомните кейс Ameritrade – беты традиционных брокеров, предоставлявших и инвестиционные услуги, сильно отличались от бет онлайн-брокеров, которые специализировались только на ведении торговых операций для клиентов. Для вычисления стоимости собственного капитала проекта нам важно найти как можно более близкие к «цели» базовые компании. На практике это удается сделать не всегда. В этом случае придется довольствоваться лучшими из имеющихся, возможно, с некоторой корректировкой получившейся беты, чтобы лучше отразить нюансы бизнес-риска проекта. Но в случае с Коллинсвиллем нужная информация имеется. У нас есть данные по двум компаниям, которые специализируются только на производстве хлората натрия. Это Brunswick и Southern. Их мы и будем использовать для вычисления беты Коллинсвилля.
Давайте пройдемся по вычислениям для Brunswick. Сначала берем рыночную капитализацию (находим E). В данном случае она составляет $5,77 млн. Заемную часть берем из данных баланса (D=$0,48 млн). Бета нам также дана (βe=1,1). Далее получаем чистую бету (еще говорят – «анлеверим бету», от английского to unlever a company’s beta):

Тот же самый алгоритм используем и для Southern (см. таблицу).

Итак, чистые беты очень похожи. Чистая бета Коллинсвилля для расчета WACC составит 1,04.
Далее нам надо учесть влияние целевой структуры капитала Коллинсвилля на бету проекта (еще говорят – «рилеверить бету»):

Ну и последний штрих – использовать САРМ для получения стоимости собственного капитала. Для этого мы берем в качестве безрисковой rf ставку по долгосрочным государственным облигациям (9,5 %), в качестве риск-премии рынка возьмем 8 %:

Расчет WACC
К текущему моменту у нас есть все данные, необходимые для расчета WACC:
• структура капитала (65 % собственный, 35 % заемный);
• стоимость заемного капитала (kd=11,25 %);
• ставка налога на прибыль (48 %);
• стоимость собственного капитала (ke=22,3 %).
Используя эти данные, посчитать WACC проекта покупки завода в Коллинсвилле несложно:

Ставка дисконтирования получена! Можно переходить к расчету NPV.
Расчет NPV
Имея денежные потоки и ставку дисконтирования, посчитать NPV денежных потоков Коллинсвилля, равно как и NPV всей покупки, несложно:



Как вы видите, NPV денежных потоков Коллинсвилля без учета ламинатной технологии составляет около $9,4 млн, что ниже цены покупки завода в $12 млн. Что это означает? Это означает, что менеджеры Dixon в случае покупки Коллинсвилля переплатят за завод и не создадут акционерную стоимость. Грубо говоря, в случае покупки завода рыночная капитализация Dixon должна упасть на эти самые $2,6 млн (подробнее об этом мы с вами будем говорить позднее в этой книге).
В чем подвох? Что мы не учли? А не учли мы влияния ламинатной технологии.
Ламинатная технология
Давайте посчитаем дополнительные денежные потоки и NPV ламинатной технологии. При расчете будем использовать следующие предположения из кейса (финансовую модель в электронном виде можно скачать на www.gerasim.biz).
• Технология устанавливается в 1980 году, запускается с начала 1981 года. Затраты на внедрение технологии – $2,25 млн. Амортизируются в течение 9 лет (оставшийся срок работы завода).
• Сокращение затрат на электроэнергию составляет 15 %.
• Затраты на графит полностью исчезают.
В результате мы получаем следующие цифры:

Подведем итоги
Как вы видите, с учетом эффекта от внедрения ламинатной технологии NPV всего проекта становится положительным. Что из этого следует? Во-первых, сама по себе ламинатная технология не является частью проекта покупки завода – это отдельный проект со своим NPV. Да, безусловно, при продаже завода вместе с технологией цена в $12 млн кажется вполне адекватной. Но здесь есть большое «но»: технология еще не отработана. Может получиться так, что она не «заработает». Что делать Dixon и как интерпретировать результаты инвестиционного анализа?
Во-первых, мы видим, что сам по себе завод в его текущем состоянии «стоит» для Dixon $9,4 млн. При запрашиваемой цене в 12 млн для Dixon это однозначно повод поторговаться с American Chemical. Вокруг чего может строиться торговля? Для получения обоюдной выгоды совершенно не обязательно торговаться «тупо», то есть просто просить снижения цены. Можно просто несколько сложнее структурировать сделку. У проекта есть несколько ключевых факторов, влияющих на его ценность для Dixon. Основные из них – это рыночная цена хлората натрия и успешность внедрения технологии ламинации электродов. Стоимость сделки можно «завязать» на них. Например, можно структурировать сделку так, чтобы часть суммы Dixon выплатил сразу, а оставшуюся часть постепенно в течение следующих пяти лет в зависимости от изменения цен на хлорат натрия. Если мы проведем небольшой анализ чувствительности проекта, мы увидим, что если цена на хлорат натрия в 1981 году вырастет не на 16 % (как в модели), а, например, всего на 10 % (не то чтобы это было неадекватное предположение), то NPV Коллинсвилля без ламината упадет с $9,4 млн до $7,2 млн.
По той же логике можно построить и изменение второй части оплаты в зависимости от успешности внедрения технологии ламинирования.
Вывод: опять же, инвестиционный анализ – это инструмент облегчения принятия бизнес-решений. Финансовая модель – отправная точка для обсуждения решений, анализа ситуации и ключевых факторов, определяющих прибыльность проекта. Нельзя принимать решения «тупо» по цифрам. Надо всегда понимать реальные действия, которые скрываются за цифрами, и что нужно сделать, чтобы не только посчитать цифры, но и обеспечить их достижение, которое выльется в рост курса акций компании.
Ставка дисконтирования в реальности
Необходимую теорию, касающуюся ставок дисконтирования, мы с вами изучили. Давайте теперь немного поговорим о том, как все выглядит на практике в российских компаниях.
Во-первых, если вы работаете в компании на позиции аналитика проектов капиталовложений, то не волнуйтесь – ставку дисконтирования вам дадут. Обычно она устанавливается и закрепляется приказами, регламентами и другими документами компании. За вычисление ставки дисконтирования отвечает руководитель того подразделения, которое отвечает за построение инвестиционного процесса в компании (см. предыдущую главу).
Насколько широко используется NPV и WACC в российских компаниях? Это зависит от уровня «продвинутости» компаний в вопросах инвестиций. Я бы выделил три основные категории по уровню «продвинутости» в вопросах оценки проектов своих капиталовложений:
• компании, которые не используют методы оценки NPV вообще. Они считают только сроки окупаемости, на этом и основывают инвестиционные решения;
• компании, которые используют одну ставку дисконтирования для всех бизнесов (дивизионов) компании. Это как бы второй уровень «продвинутости» – компания только недавно научилась использовать NPV, не все менеджеры еще понимают, что это такое и с чем его едят. Загружать их при этом разными ставками – лишняя точность. Люди все равно не поймут, а если не поймут, то просто еще более подозрительно станут относиться «ко всяким там NPV». В этом случае, пока менеджеры не привыкнут к страшным словам NPV и IRR, проще использовать более строгие точки отсечения проектов по NPV и ставить более консервативное значение WACC, чтобы компенсировать возможные неточности при использовании единого WACC для проектов с разным риском;
• компании, которые учитывают риски в расчете ставки дисконтирования. Такие компании имеют разные ставки дисконтирования для различных дивизионов и проектов с отдельным риском.
Надо сказать, что для проектов покупки цельных бизнесов (заводов или отдельных компаний) практически всегда придется считать отдельную ставку дисконтирования. Механизм при этом абсолютно аналогичен тому, который мы рассмотрели.
Надо сказать, что, хотя ничего лучше логики САРМ мир финансов не придумал, статистический анализ подвергает сомнению корректность САРМ в «классическом» виде, который мы рассмотрели в этой главе. Например, статистический анализ показывает, что акции небольших компаний имеют бóльшую историческую доходность, чем акции крупных компаний со сравнимым бизнес-риском. Поэтому на практике при вычислении ставки дисконтирования САРМ берут за основу, а затем корректируют на некоторые факторы, которые считает необходимым учесть конкретный специалист / менеджер, отвечающий за WACC. Обычно в моделях учитывают следующие факторы.
• Страновой риск. Его учитывают при калькуляции стоимости собственного капитала для стран, отличных от США. Понятно, что риски ведения бизнеса в России выше, чем в США, поэтому инвесторы требуют от российских компаний дополнительную доходность по сравнению с компаниями из той же сферы бизнеса в США. В этом случае обычно безрисковую ставку считают как ставку по казначейским облигациям США плюс страновая премия (то есть премия по доходности конкретной страны к облигациям США). Для России в качестве страновой премии можно использовать, например, разницу в доходности 30-летних казначейских облигаций США и 30-летних российских ОФЗ (облигаций федерального займа).
• Риск ликвидности акций. Логика этой поправки основывается на том, что акции малоликвидных компаний труднее купить / продать на бирже. Сделок по ним совершается немного. Разница между ценой спроса и предложения больше, чем по ликвидным акциям. Иными словами, если инвестору придется срочно продать акции малоликвидной компании, то он может потерять больше денег, чем при продаже акций ликвидной компании, где спред между ценой спроса и предложения меньше. В связи с этим логично, что инвесторы ожидают от малоликвидных акций или вообще акций частных компаний, которые не обращаются на бирже, дополнительную доходность по сравнению с публичными компаниями. Эта поправка не зависит от бизнес-риска компании (то есть значение бета на нее не влияет).
В этом случае «модернизированная» САРМ будет выглядеть так:

где:
rf – безрисковая ставка (доходность долгосрочных казначейских облигаций США);
rc – премия по доходности долгосрочных облигаций конкретной страны к США;
ks – премия за низкую ликвидность акций компании;
βe – бета проекта с учетом левериджа;
rm – риск-премия рынка.
Вот пример калькуляции стоимости собственного капитала для одной реальной компании (см. таблицу).

Пара практических советов на случай, если вы как менеджер будете отвечать за формирование WACC для проектов капиталовложений компании.
Во-первых, можно бесконечно спорить по конкретным цифрам, которые закладываются в модель (имеется в виду риск-премия рынка, специфические премии). Здесь нужно сразу принять решение, чтобы потом его долго не пересматривать. Если уж вы отвечаете за WACC – примите управленческое решение и закрепите его в компании распорядительным документом (например, приказом генерального директора).
Во-вторых, если вы работаете в публичной компании, по таким компаниям обычно некоторые инвестиционные банки выпускают аналитические обзоры, говорящие об изменениях мнения инвестбанка по поводу перспектив роста / падения курсов акций этих компаний. Эти обзоры готовят аналитики. Обычно в каждом инвестбанке есть штат аналитиков, которые «покрывают» работу различных компаний, акции которых представлены на бирже. Мнение аналитиков часто важно для мнения инвесторов. Для расчета прогнозного курса акций компании аналитики обычно строят классические DCF модели, используя ставку дисконтирования. Поэтому при расчете WACC для публичной компании постарайтесь поговорить с аналитиками, которые эту компанию покрывают, чтобы узнать их предположения по ставке дисконтирования. Использование их наработок позволит вам избежать «изобретения велосипеда».
Глава 4
Финансовый анализ и планирование
Итак, компания в целом и вы как финансовый директор в частности приняли все замечательные инвестиционные проекты, которые предполагается реализовать. Что делать дальше? А дальше придется сделать некий план действий по воплощению в жизнь замечательной стратегии и инвестиционных проектов. В конечном итоге придется превратить этот план в цифры, которые должны позволить узнать, а сможем ли мы реально профинансировать все принятые инвестиционные проекты. Иными словами, придется сделать финансовый план.
В этой главе мы с вами поговорим о том, как компании строят финансовые планы своей работы, и зачем они нужны, а также кто этим в компаниях занимается. Мы начнем с разбора финансового прогнозирования, а затем рассмотрим темы бюджетирования, краткосрочного и долгосрочного финансового планирования. В конце главы мы с вами поговорим, кто и как всем этим занимается в реальности.
Финансовый анализ
Работа над планом действий должна опираться на какие-то основы. Основами могут являться либо финансовая модель развития компании, основанная на стратегии (об этом уже говорили в главе «Денежные потоки, дисконтирование и NPV»), либо прошлая жизнь компании, то есть финансовые результаты работы компании в предыдущий период. На практике обычно стараются ориентироваться на «глобальное» направление движения, изложенное в стратегии, но при этом делать проверку на «разумность» цифр стратегии на основе уже достигнутых показателей. Короче говоря, менеджеры стараются достигнуть указанных в стратегии цифр, если они не очень противоречат тому, что было достигнуто по факту в предыдущий период. Люди вообще в планировании будущего любят экстраполировать, то есть отталкиваться от прошлых результатов.
Чтобы понять, каковы будут или должны быть будущие результаты работы компании, вам придется проанализировать ее прошлую деятельность. В этом случае на помощь вам придет финансовый анализ, в основном с помощью коэффициентов. Я уже разбирал основные коэффициенты, используемые в финансовом анализе, в моей первой книге, поэтому за подробностями формул и коэффициентов отсылаю вас туда. Здесь лишь немного напомню суть.
Основная задача менеджеров – приносить деньги акционерам и кредиторам. Кредиторам нужно четко определенное количество денег, а акционерам – просто как можно больше. Если компания не имеет проблем с платежами кредиторам, основную головную боль менеджерам доставляют акционеры. Как измерить в финансовой отчетности эффективность работы менеджеров? Самый простой вариант – измерить доход, который приносят менеджеры на тот капитал, который им доверили акционеры, то есть на собственный капитал компании. Да, мы с вами уже говорили о том, что «бухгалтерское» значение собственного капитала не отражает рыночную стоимость компании, но это не меняет логику: акционеры когда-то доверили компании деньги, они могут забирать часть прибыли компании в виде дивидендов, но оставшуюся часть по-прежнему доверяют менеджерам. Менеджеры должны зарабатывать доход на все эти деньги. Поэтому чем больше они заработают дохода на собственный капитал компании, тем лучше для акционеров, то есть лучше для курса акций. Доходность собственного капитала показывает известный коэффициент ROE (Return on Equity).

Доходность собственного капитала зависит от нескольких «драйверов», эффективно управляя которыми менеджеры могут увеличить доходы акционеров. Драйверы эти переплетаются в модели Дюпонт (см. таблицу).
Итак, основные драйверы ROE компании это:
• рентабельность бизнеса (profit margin, или PM);
• эффективность управления активами (asset turnover, или AT);
• использование заемных ресурсов (leverage, или LEV). Еще говорят «леверидж», или «финансовый рычаг».
Сразу оговорюсь, что, как вы понимаете, не всегда более высокий ROE одной компании по сравнению с другой означает, что эта компания лучше работает. Надо понимать причины разницы. Возьмем, например, две компании:

Вроде бы ROE компании Б существенно выше, чем у компании А. Однако надо понимать, что такой высокий ROE обусловлен не эффективностью управления активами, а гораздо более существенным использованием займов компанией Б. Да, ее ROE выше, но, как вы понимаете, и риск этой прибыли для акционеров компании Б существенно выше. Высокая доходность определяется более высоким риском.
В свою очередь, каждый из ключевых факторов эффективности бизнеса имеет свою структуру, то есть коэффициенты, которые помогают в деталях проанализировать, почему ключевой фактор изменился (см. рисунок).

Анализ получающихся результатов надо проводить:
• в динамике, то есть отслеживая изменения по годам;
• в сравнении с аналогичными показателями конкурентов.
Такой анализ позволит выявить изменения в компании: где она опережает конкурентов или отстает от них, где в бизнесе произошли ухудшения или улучшения. Проведя анализ, можно поставить менеджерам задачи по улучшению в следующем периоде (месяце, квартале, году) тех или иных коэффициентов. От этих данных уже можно в дальнейшем отталкиваться при финансовом планировании.
Финансовое планирование – проформы
Финансовое планирование заключается, если коротко и упрощенно, в составлении прогнозной финансовой отчетности. Из нее вы можете понять ваши прогнозные финансовые показатели и потребности в финансировании. Для начала вам нужна база. Обычно в качестве базы идет финансовая отчетность предыдущего периода (баланс, отчет о прибылях и убытках и т. д.). Дальше вы стремитесь превратить ее в отчетность будущего периода (такую отчетность еще называют проформой – от английского pro forma financial statements). Как это сделать?
Основным определяющим фактором любого прогноза работы компании является рост ее продаж. Очевидно, что продажи определяют размер почти всех составляющих бизнеса – размер оборотного капитала, основных средств, затрат на оплату труда и т. д. Многие виды активов и затрат растут пропорционально росту продаж. Некоторые растут ступенчато, то есть будут оставаться неизменными до какого-то момента, после чего резко вырастут (например, если компании потребуется из-за роста персонала инвестировать в новое оборудование или переехать в новый офис большего размера). Некоторые издержки могут оставаться постоянными (например, фиксированные выплаты по патенту).
Чтобы получить проформу отчета о прибылях и убытках, вам надо проанализировать, какой процент от выручки составляет каждый вид издержек. Затем надо будет понять, изменяется ли он с выручкой напрямую или другим способом. После этого надо будет внести коррективы в показатель в зависимости от поставленных менеджерам задач по снижению издержек. Далее уже можно вносить его в модель в соответствии с тем порядком изменения цифр, который вы выявили.
Чтобы получить проформу баланса, вам надо будет понять характер изменения каждой строчки активов баланса в зависимости от изменения объема продаж. Например, оборотный капитал изменяется с ростом продаж. В этом случае вы можете использовать целевые значения коэффициентов оборачиваемости дебиторской задолженности и товарно-материальных запасов, чтобы получить конкретную прогнозную цифру запасов или дебиторской задолженности.
После того как вы проделаете это упражнение со всей активной частью баланса, вам придется, как и положено, перейти к источникам финансирования всех этих активов. Источников, как вы помните, два – собственный и заемный капитал. В собственный капитал вы при этом добавите полученную в отчете о прибылях и убытках прибыль плюс, если это планируется, деньги, полученные от выпуска новых акций. Оставшуюся часть роста активов, очевидно, придется финансировать за счет займов (про конкретную структуру займов и структуру капитала вообще мы с вами будем говорить позднее в этой книге).
Здесь есть один нюанс. По кредитам вы должны выплачивать проценты. Проценты снижают прибыль. В результате после того как вы в первый раз в финансовом плане подставите в проформу цифру заемного капитала, чтобы сбалансировать баланс, вам придется изменять значение краткосрочных кредитов (обычно именно они выступают так называемым балансирующим плагом). Однако после изменения значения краткосрочных кредитов у вас должны измениться процентные выплаты, что в свою очередь изменит прибыль. Соответственно изменится значение собственного капитала в балансе, и он перестанет балансироваться. Ничего страшного, вам просто придется немного «поиграться» с точным значением плага с помощью функции Excel «подбор параметра» (или построить модель в Excel с использованием циклических ссылок).
Что ж, вижу, вы немного загрузились. Понимаю, что все это лучше рассматривать на примере. Не будем медлить.
Пример – компания АВС
Вот наша компания АВС, производящая… впрочем, в данный момент не очень важно, что именно производит АВС. Нас интересует ее финансовая отчетность (см. таблицу, цифры в млн руб. – в электронном виде файл можно найти на сайте www.gerasim.biz).


Также нас заинтересуют основные финансовые коэффициенты АВС (см. таблицу).

В 2009 году компания ожидает рост продаж на 22 % (предположим, что планируется все летом 2008 года, когда кризисом в России еще не пахло). Задача проста – понять, каковы будут прогнозные финансовые результаты работы АВС в 2009 году, а также какова будет финансовая ситуация в компании. Для этого нам будет необходимо подготовить проформы финансовой отчетности АВС за 2009 год.
Итак, ключевой цифрой является прогнозируемый рост выручки – 22 %. Большинство остальных показателей следуют за этим ростом. Начнем мы с построения проформы отчета о прибылях и убытках (см. таблицу – файл на www.gerasim.biz).

Итак, себестоимость берем пропорционально прошлым результатам (67 % от продаж в 2008 году), коммерческие и административные расходы также пропорциональны росту (22 % от продаж). Процентные выплаты пока оставляем неизменными – они будут меняться потом в зависимости от объема требуемого финансирования. Налоги берем по ставке 40 % (ставка в 2008 году). Количество акций компании не меняется (предполагаем, что новые акции компания АВС выпускать не будет, и все дополнительное финансирование будет идти через кредитное финансирование). На дивиденды компания направляет 25 % чистой прибыли (данные прошлых периодов).
Далее переходим к балансу (см. таблицу). Начинаем с активов баланса:

Объем необходимых остатков на счетах зависит от оборотов бизнеса. Иногда на счетах бывает излишек, но в большинстве видов бизнеса сумма остатков в 5 % от оборота считается вполне нормальной.
Объем дебиторской задолженности считается через оборачиваемость в днях. Здесь мы для упрощения расчета используем формулу оборачиваемости не по среднему значению за период, а по конечному значению дебиторской задолженности. Технически вы можете усложнить анализ и использовать формулу средней дебиторской задолженности за период, если считаете, что так более правильно. Тот же самый подход используется и при моделировании остальных компонентов оборотного капитала – запасов и кредиторской задолженности. Размер чистых основных средств моделируется через оборачиваемость основных средств.
Итак, мы смоделировали активную часть баланса. Давайте перейдем к пассивной (см. таблицу).

Начисленную заработную плату берем как процент от продаж (как вариант, можно опять же посчитать этот коэффициент в днях). Кредиторку считаем через дни. Краткосрочную задолженность пока оставим нулевой – мы будем использовать ее в последнем шаге, чтобы сбалансировать баланс компании. Долгосрочную задолженность считаем постоянной. Акционерный капитал не меняем, а вот к нераспределенной прибыли прошлого периода прибавляем полученное в P&L прогнозное значение нераспределенной прибыли за 2009 год.
Итак, что мы видим: для того чтобы компания АВС реализовала свои амбициозные планы по росту продаж, ей нужны активы в размере 94,1 млн руб. Однако имеющихся источников финансирования, как заемных, так и своих (включая полученную в 2009 году и не выданную в виде дивидендов прибыль), хватит, чтобы профинансировать только 80,7 млн руб. активов. Откуда взять остальные деньги? Мы будем еще подробно разбирать эту тему дальше в книге. Сейчас для целей прогнозирования будем считать, что дополнительное финансирование будет полностью покрываться за счет краткосрочных кредитов (очень популярное среди российских компаний решение, приведшее их к кризису ликвидности в 2008 году). Однако при этом не будем забывать про то, что по кредитам надо платить проценты.
Чтобы учесть этот факт, первым действием последнего пункта мы начинаем считать проценты в P&L. Проценты начисляются на среднюю по году сумму краткосрочной и долгосрочной задолженности (исторический процент считаем из данных 2007 и 2008 годов). Пока ячейка краткосрочной задолженности у нас пуста. Вторым действием мы должны сбалансировать наш баланс за счет краткосрочной задолженности. Можно сделать это вручную, например, поставив в эту строчку разницу между активами и пассивами. В нашем примере это будет 13,4 млн руб. Однако если просто подставить эту цифру, то у нас изменится значение процентных выплат в P&L. Поэтому нам придется подобрать правильное значение вручную или автоматически.
Подобрать значение автоматически можно двумя способами – использовав функцию «подбор параметра» в Excel (найти такое значение краткосрочной задолженности, при котором активы равны пассивам) или вставив в ячейке краткосрочной задолженности формулу [активы] – [пассивы]. В последнем случае у вас образуется циклическая ссылка, поэтому надо не забыть включить в свойствах Excel итерационные вычисления (см. справку Excel). Последний способ технически более изящный, так как при дальнейшем изменении параметров модели все будет перебалансироваться автоматически.
Итак, финальные версии баланса и отчета о прибылях и убытках будут выглядеть следующим образом (см. таблицу).


Каковы результаты? Мы видим, что рост компании потребует значительного увеличения кредитной нагрузки – краткосрочные кредиты вырастут в 2 раза – с 7,9 млн руб. до 13,6 млн руб. Почему это происходит? Мы видим, что рост бизнеса компании требует вложения дополнительных денег в бизнес. Это нормально. Растет выручка, растет оборотный капитал, растут активы. Их надо как-то финансировать. Компания АВС растет настолько быстро, что ей не хватает той прибыли, которую генерирует ее бизнес. Поэтому приходится занимать. В результате у такой растущей компании увеличивается кредитная нагрузка. Если компания продолжит развиваться с такой же скоростью, то в какой-то момент кредитная нагрузка может оказаться настолько большой, что компания не выдержит ее и рухнет под грузом финансовых проблем. Эту ошибку допустили многие российские компании в 2003–2008 годах, когда они быстро развивались на фоне общего бурного роста российской экономики. Но развивались они на заемные средства, что привело к громадным проблемам, как только их леверидж превысил критический уровень. Причина – плохое управление финансовыми рисками.
Возникает вопрос: а как посчитать, насколько быстро может расти компания, чтобы ее кредитная нагрузка не превышала критический уровень? Ориентир по этой цифре можно посчитать по формуле:
G* = ROE × (1 – d),
где:
G* – максимальный процент роста активов, который компания может себе позволить, без необходимости дополнительного финансирования за счет заемных средств (так называемый уровень «стабильного» роста – sustainable growth rate);
ROE – доходность собственного капитала;
d – процент выплаты дивидендов (от чистой прибыли).
В нашем случае «стабильный» уровень роста компании АВС равен 23 % × (1 – 25 %) = 17 %. Поскольку АВС росла с более высокой скоростью, ей не хватило для развития собственных средств и деньги пришлось занимать. Надо понимать, что если компания развивается быстрее, чем предполагает ее «стабильный» уровень развития, то это не обязательно плохо. Просто это означает, что компании нужны будут дополнительные деньги. Если у компании нет возможности получить эти деньги за счет выпуска акций, ей придется брать деньги в долг, то есть увеличивать свой финансовый рычаг (по-английски такие компании называют finance junkies). Если денег достать не удается, компании придется пересматривать в меньшую сторону свои прогнозы роста. Если компания развивается медленнее «стабильного» уровня, то ее леверидж будет падать (по-английски такие компании называют cash cows).
А как компания может увеличить «стабильный» уровень роста? Ответ очевиден из формулы: надо снизить размер дивидендов (уменьшить d) либо посмотреть возможности увеличения ROE. Кроме финансового рычага у нас есть возможность увеличения ROE за счет увеличения рентабельности бизнеса, либо за счет улучшения управления активами. Давайте посмотрим, где у нас находится АВС в сравнении с ее конкурентами (см. таблицу).

Как вы видите, АВС есть куда стремиться. Хотя ROE компании сравним с конкурентами, достигает этого она в основном за счет более активного использования заемного капитала, то есть эта доходность достигается за счет ее большей рискованности. В области управления оборотным капиталом АВС надо серьезно поднимать эффективность. Оборачиваемость дебиторки у компании на четверть ниже, чем у конкурентов, запасов у компании на 20 % больше, чем у конкурентов. Надо совершенствоваться. Предположим, что компания окажется в состоянии в 2009 году снизить размер дебиторской задолженности и товарно-материальных запасов до уровня конкурентов. В этом случае отчетность компании сильно изменится (см. таблицу).



Как вы видите, в этом случае компании не только не нужно будет наращивать краткосрочную задолженность, но она сможет сократить ее объем за счет сокращения размера активов (уменьшение размера дебиторской задолженности и запасов).
Что делать компании, которая хочет и может прибыльно развиваться и при этом ее темп развития превышает «стабильный»? Выходов несколько. Если компания считает, что рост – явление временное и краткосрочное, тогда можно допустить временное увеличение использования заемных средств выше целевого уровня. Затем, когда рост снизится до уровня ниже «стабильного», избыточный кэш можно использовать для выплаты долгов.
Если же в обозримом будущем снижения роста до уровня ниже «стабильного» не предвидится, то у компании есть несколько возможностей:
• улучшить эффективность своей работы, чтобы повысить ROE;
• сократить выплаты дивидендов;
• брать кредиты до целевого (некритического) уровня, а дальше тормозить рост;
• снизить размер оборотного капитала или активов (одноразовая мера);
• получить дополнительные вливания собственного капитала, чтобы «облегчить» структуру капитала;
• слиться с другой компанией, которая имеет или генерирует избыточные денежные средства для развития (слиться с cash cow).
Еще раз повторю важный момент: рост выше «стабильного» уровня – это неплохо. Это просто говорит о том, что компании в какой-то момент понадобится дополнительное вливание акционерного капитала, чтобы объем ее займов не превысил критический уровень и не потопил компанию.
* * *
Чтобы закрепить изученные концепции, давайте рассмотрим жизнь одной пивоварни.
В ходе прочтения кейса постарайтесь дать самостоятельные ответы на следующие вопросы.
? В чем причина успешного развития Bavaria Bier в последнее время? За счет чего происходит развитие?
? Почему кредитная политика Хайнрика Штейнера по отношению к дистрибьюторам из восточных земель отличается от «западной»? Считаете ли вы ее правильной? Если нет, какие изменения и почему вы предложите совету директоров?
? Почему этой прибыльной компании требуется столько заемных средств? Настолько ли прибыльна экспансия на Восток, как говорит Штейнер? Если нет, то почему? Вы можете усовершенствовать его анализ?
? Какие изменения в работе компании на 1993 год вы можете предложить и почему?
? По каждому вопросу повестки дня совета директоров сформируйте и аргументируйте свое мнение.
Новые времена Bavaria Bier
• В начале января 1993 года Мария Шафт приехала на пивоварню Bavaria Bier, чтобы принять участие в первом в своей жизни заседании совета директоров. Она стала членом совета совсем недавно по просьбе своего дяди Августа Шафта, генерального директора компании. Август попросил ее присоединиться к совету, так как Мария была единственным членом семьи Шафтов, который разбирался в финансах, – Мария работала сотрудником кредитного отдела в банке во Франкфурте в Германии. Bavaria была семейной компанией – ее акциями владели 16 членов семьи Шафт – дяди, тети, братья и сестры.
Повестка дня заседания совета директоров включала в себя три пункта:
• Утверждение бюджета на 1993 год.
• Объявление квартального дивиденда.
• Утверждение компенсационного пакета Хайнрика Штейнера, директора по сбыту и маркетингу Bavaria.
Компания и ее история
Bavaria Bier производила два вида пива: темное и светлое. Ее пиво из года в год завоевывало награды и премии в своей области. За 1992 год выручка компании составила DM102,3 млн (немецкие марки – валюта Германии до введения евро; на тот момент 1DM=0,63USD), а прибыль – DM2,6 млн.
Компания была основана в 1737 году и с тех пор стала основным бизнесом 12 поколений семьи Шафт. Ее современное оборудование было способно произвести 700 000 гектолитров пива в год. Оборудование было полностью заменено в 1987 году, после того как пожар на пивоварне привел в негодность старое. В 1992 году компания продала 667 000 гектолитров пива.
В последние несколько лет производство Bavaria испытывало бурный рост. В 1989 году была разрушена Берлинская стена, образовалась единая Германия. Немцы из двух ранее разделенных частей страны получили полную свободу передвижения. Восточная Германия, хотя и медленно, но начала развиваться и интегрироваться в более развитую западную часть. Август Шафт считал, что новые восточные земли (в Германии провинции называются землями) станут хорошим рынком для высококачественного пива, и начал предпринимать активные действия по освоению этого рынка. В 1990 году он переманил из крупной пивоваренной компании Хайнрика Штейнера с тем, чтобы Штейнер возглавил экспансию Bavaria на Восток в объединенной Германии.
Bavaria поставляла свое пиво на рынок через сеть независимых дистрибьюторов. В Западной Германии дистрибьюторы покупали пиво Bavaria, временно хранили его на своих охлаждаемых складах и, в конце концов, продавали его ресторанам, барам, отелям и магазинам. По отношению к восточным землям Штейнер использовал другую стратегию дистрибуции.
Ланч с дядей Августом
По приезде на пивоварню Мария отправилась на ланч с дядей Августом. Практически все свои 57 лет жизни дядя Август проработал на Bavaria. Он очень хорошо разбирался в процессе пивоварения и работал на пивоварне главным мастером-пивоваром, до того как он в роли генерального директора заменил своего ушедшего на пенсию отца. Дядя Август начал разговор:
Всю свою долгую историю Шафты были пивоварами, а не маркетологами или финансистами. Мы умеем делать отличный продукт, и он всегда хорошо продавался по той цене, которую мы на него назначали. Но в 1989 году я понял: чтобы войти на рынок восточных земель, нам нужно не только умение варить пиво. Мы потеряли этот рынок в 1949 году, после разделения Германии, но сейчас я хочу вернуть обратно наш традиционный рынок. Я нанял Хайнрика Штейнера, чтобы он возглавил этот процесс.
Я очень доволен тем, что сделал Штейнер. Он нашел пять дистрибьюторов и приобрел 211 клиентов – все за 30 месяцев и при наличии очень скромного бюджета. Штейнер действительно выдает результат. Боюсь, что на следующий год, чтобы удержать его, мне придется поднять ему зарплату. В 1992 году я заплатил ему DM122 860, включая зарплату в DM80 000 и бонус в DM42 860. Бонус Штейнера по контракту составляет 0,5 % от увеличения объема продаж. Как ты знаешь из моего письма совету директоров, я предлагаю увеличить его базовую зарплату до DM95 000, а бонус – до 0,8 % от ежегодного увеличения объема продаж.
Штейнер помог мне подготовить финансовый план на 1993 год. План показывает хороший рост выручки и прибыли! Если наш рост продолжится такими же темпами, то мы полностью загрузим оборудование к концу 1993 года. В бюджете 1993 года заложены расходы на новое оборудование в размере DM8,8 млн. Штейнер также предлагает в 1994 году инвестировать DM8,6 млн в строительство склада и центра дистрибуции в Берлине. Он утверждает, что без этих инвестиций не сможет продолжить развитие сбыта в восточных землях. Я даже еще не начинал думать о том, как все это профинансировать. В последние годы мы стали использовать краткосрочные кредиты больше, чем обычно. Не знаю, стоит ли нам продолжать эту практику. Сейчас у нас есть открытая кредитная линия под 11 % годовых в Hausbank. Наш банкир попросил о встрече на следующей неделе, чтобы обсудить наши планы развития. Думаю, банку не терпится в них поучаствовать!
Так как прибыли выросли, я предлагаю выплатить квартальный дивиденд в DM650 000. Как ты знаешь, половина наших акционеров уже пенсионеры, так что для них дивиденды – это способ обеспечения собственного существования. Традиционно мы выплачивали 75 % прибыли в виде дивидендов, чтобы обеспечить средствами пожилых членов нашей семьи.
Во время ланча Август Шафт много говорил, не давая Марии возможности высказать собственное мнение или задать вопросы. У нее вызвали беспокойство некоторые высказывания дяди Августа, но она решила сначала внимательно изучить финансовую отчетность компании (см. таблицы и рисунок).





Разговор с Хайнриком Штейнером
После ланча дядя Август представил Марию Хайнрику Штейнеру. Мария попросила его рассказать о маркетинговой стратегии Bavaria и развитии сбыта в восточных землях. Хайнрик пояснил:
Наше пиво практически продает себя само. Ему не нужны значительные рекламные расходы или скидки. Главная задача – заставить потребителя попробовать наш продукт и обеспечить его наличие, чтобы потребитель смог его найти, когда захочет купить. Но в 1990 году каналов дистрибуции нашего пива в восточногерманских землях не существовало. Мне пришлось строить дистрибьюторскую сеть с нуля. Я нашел местных предпринимателей, которые хотели этим заниматься, но у них не было капитала. Я дал им финансирование в форме отсрочек платежа. Для восточногерманских дистрибьюторов вместо традиционной политики скидки в 2 % при оплате счетов в течение 10 дней и полной оплаты в течение 40 дней я удлинил срок полной оплаты до 80 дней. Даже при таких условиях наши дистрибьюторы просили еще большей отсрочки оплаты. Я планирую позволить им удлинить срок оплаты до 90 дней. Я уверен, что деньги они нам заплатят, и объем сомнительной задолженности не превысит 2 %.
Наши дистрибьюторы в восточных землях – настоящие предприниматели. Они начали бизнес, не имея ничего, кроме собственных мозгов. Они амбициозны и быстро учатся. Некоторые из них немного просрочили платежи нам, но я уверен, что они быстро все исправят. Практически все рестораторы и ретейлеры, с которыми мы работаем, расширяют свой бизнес, покупают новое оборудование и закупают дополнительные товарные запасы. Все это они делают без поддержки больших банков, таких как ваш банк во Франкфурте! Большинство из этих ретейлеров не могут получить банковский кредит и собирают финансирование по крохам. Их изобретательность просто поразительна! Небольшие задержки платежей в этом случае вполне объяснимы. Мы видим в дистрибьюторах большие возможности, но банки, к сожалению, видят в них только низкие прибыли, отсутствие залога, отрицательные денежные потоки и высокий риск. Мой анализ (см. таблицу) показывает, что на наши инвестиции в дебиторскую задолженность дистрибьюторов в восточных землях мы получаем очень высокий доход. Мы занимаем деньги во Франкфуртском банке под 11 % годовых, чтобы финансировать наших дистрибьюторов в восточных землях, и получаем на эти вложения 140 % годовых!
Должен добавить, что я планирую построить еще несколько региональных складов, чтобы быстрее реагировать на запросы рынка. Также я планирую активно посещать точки наших продаж, чтобы обеспечить правильное размещение и продвижение нашего пива.
Моя политика обеспечения товарных запасов сводится к тому, чтобы существенную часть товарных запасов в сети на складах дистрибьюторов мы держали на своем балансе. В результате наши товарные запасы в 1991–1992 годах значительно выросли.
Эти вложения хорошо окупились. Рост продаж в восточных землях составлял в последние годы 47 % ежегодно. Я намереваюсь поддерживать рост такими же темпами в ближайшие несколько лет. Без изменений в кредитной и товарной политике наш рост продаж в новых землях был бы незначителен. В 1993 году я планирую заключить договоры с пятью новыми дистрибьюторами и поставить наше пиво в 100 новых магазинов и ресторанов.


Мария спросила Хайнрика о признаках экономической рецессии в Германии и глубокой рецессии в восточных землях. Штейнер не высказал беспокойства по этому поводу и выразил свою уверенность в том, что в 1993 году продажи существенно возрастут. В конце встречи Мария попросила у Штейнера информацию о финансовом состоянии дистрибьюторов Bavaria. Хайнрик показал ей данные о нескольких дистрибьюторах в восточных и западных землях (см. таблицу).

Вечер перед заседанием совета
После продолжительного ужина, на котором Мария познакомилась с другими директорами, она вернулась в гостиницу и попыталась собрать вместе всю информацию, которую она получила в этот день. Ей необходимо было выработать свою позицию по трем вопросам повестки дня заседания. Ей надо было внимательно изучить финансовую ситуацию Bavaria. Других директоров интересовало, почему компании необходимо было так агрессивно прибегать к использованию заемных средств, в то время как объем производства был существенно выше точки безубыточности и компания была прибыльной. Мария также хотела внимательнее присмотреться к целесообразности агрессивной экспансии продаж в восточных землях. Она налила себе чашку крепкого кофе, достала калькулятор и засела за цифры…
Разбор полетов Bavaria Bier
Разбирать ситуацию Bavaria Bier мы будем постепенно. Сначала поговорим о текущей ситуации в компании, а также о том, что происходило в ней в предыдущие годы. Затем мы рассмотрим кредитную политику Bavaria и проанализируем, насколько она выгодна для компании. Далее мы уже рассмотрим вопросы повестки дня совета директоров, включая вопросы выплаты дивидендов и зарплаты Хайнрика Штейнера.
Файл с моделью прогнозной отчетности Bavaria был построен по той же самой схеме, которую мы изучали в начале главы. При желании вы можете ознакомиться с моделью на сайте www.gerasim.biz.
Текущая ситуация
В последние годы объем производства и продаж пивоварни значительно вырос. Зачем это было нужно Августу Шафту? Ответ кроется в анализе точки безубыточности (по-английски – breakeven analysis).
Подробнее об анализе безубыточности вы можете прочитать в литературе по управленческому учету. Здесь коротко изложу суть для тех, кто не знает. У вас есть переменные и постоянные издержки. Переменные изменяются с объемом производства, постоянные нет. В случае с Bavaria переменными будут являться издержки производства, а также акцизы. Постоянными будут все остальные (кроме выплаты процентов – эффект финансирования в анализе учитывать не нужно). Производя и продавая единицу продукции, мы покрываем сначала переменные издержки производства, а затем (желательно) часть постоянных. Например, продаем продукт за 2 руб., переменные издержки производства составляют 1 руб. на единицу продукта, постоянные – 10 руб. Продав первую единицу продукта, мы получим 2 руб. Вычтя из них переменные (1 руб.), мы получаем 1 руб. так называемой маржинальной прибыли (ее еще называют контрибуцией, или contribution). Но пока мы по-прежнему имеем не прибыль, а 9 руб. убытков из-за 10 руб. постоянных издержек. Продав следующую единицу, мы за счет маржинальной прибыли снизим наши убытки до 9–1 = 8 руб. Очевидно, что нам надо продать 10 единиц товара, чтобы выйти в «ноль». Это и будет точка безубыточности (по-английски – breakeven point). Далее каждая следующая проданная нами единица товара будет приносить прибыль в 1 руб. Это важный момент. Например, если мы продали 20 единиц товара и получили 10 руб. прибыли, в среднем каждая единица товара нам принесла 10 / 20=50 коп. прибыли. Однако товар, проданный до точки безубыточности, фактически прибыли нам не принес, зато после десятой проданной единицы каждая следующая единица приносит нам большую прибыль. То есть после первых 10 проданных единиц каждая следующая дает нам 1 руб. дополнительной прибыли.
Зачем я все это говорю? Дело в том, что на текущий момент объем производства Bavaria находится на 20 % выше точки безубыточности (breakeven point = 543 607 гектолитров, а текущий объем производства – 667 000 гектолитров). Что это значит? До начала экспансии в восточные земли пивоварня фактически работала в ноль. Чтобы получать прибыль, ей необходимо было наращивать объемы. Этим и объясняется жажда роста Августа Шафта. В этом случае каждый дополнительный литр пива будет приносить большую маржинальную прибыль.
В 1991–1992 годах общие продажи росли в среднем на 12 % в год. А каков был предел «стабильного» роста компании в эти годы? Посчитать несложно: g* = ROE × (1 – d) = 7 % × (1 – 75 %) = 1,8 %. Неудивительно, что рост в основном финансировался за счет роста задолженности. До 1991 года компания росла на 3–4 % в год, что при ROE в 10 % и выплате 75 % дивидендов примерно соответствовало «стабильному» росту, то есть отсутствию необходимости в дополнительных заемных средствах.
Кстати, обратите внимание, что цифры финансовой отчетности не очень хорошо согласуются со словами Хайнрика Штейнера о том, что пиво Bavaria продает себя само. Начало экспансии в восточные земли совпадает с резким снижением рентабельности работы компании. Это говорит о том, что, возможно, для восточных земель используется иная ценовая политика.
В любом случае предлагаемый вариант развития предполагает продолжение значительного роста, роста выше «стабильной» точки, что означает и существенный рост кредитной нагрузки на компанию. Надо сказать, что сам по себе предполагаемый уровень краткосрочной задолженности не достигает чрезмерно опасных уровней. Даже в 1994 году по прогнозу Штейнера краткосрочная задолженность составит DM16 млн. Если мы посмотрим на обеспечение, которое имеется у Bavaria, – оборудование, запасы товаров, то увидим, что размер его вполне достаточен, чтобы удовлетворить залоговые требования банка (даже с существенной скидкой при оценке). Вопрос не в сумме, а в обоснованности прошлых и предполагаемых вложений в восточные земли.
Чтобы ответить на него, нам надо проанализировать стратегию компании в плане расширения своего присутствия в новой Германии.
Кредитная политика
Ключевым моментом стратегии экспансии Bavaria на Восток становятся условия отсрочки платежа для дистрибьюторов. Что собой представляет эта схема в реальности? Вы – Хайнрик Штейнер. Вы ищите новых дистрибьюторов для своего товара в восточных землях Германии. Вы находите людей, которые до этого всю жизнь жили при социализме и не имеют начального капитала. Банковская система только-только начинает развиваться. Получить банковский кредит на развитие бизнеса в восточных землях Германии крайне сложно. Что делать? Хайнрик Штейнер нашел выход – фактически он кредитует своих дистрибьюторов, разрешая им оплачивать поставленное пиво через 80 дней. Насколько это оправданно? Давайте попробуем ответить на этот вопрос сначала «по понятиям», а затем в цифрах с Excel в руках.
С точки зрения бизнеса вход на рынок с такими условиями может быть оправдан для стран, где еще не прошел период начального накопления капитала. Подобный метод использовали очень многие западные компании при выходе, например, на рынок стран бывшего СССР после развала Союза в 1991 году. Конечно, очень хочется найти дистрибьютора с деньгами и «цивилизованным» подходом, но на рынках стран с переходной экономикой подчас таких людей просто нет. Чтобы развивать бизнес в таких странах, часто приходится принимать на себя дополнительные риски. Но не слишком ли рискует Штейнер в своей политике? Чтобы ответить на этот вопрос, нам надо проанализировать отчетность дистрибьюторов в сравнении с традиционными дистрибьюторами.
Анализ показывает нам ряд интересных моментов. Во-первых, удивляет низкая рентабельность большинства восточных дистрибьюторов (2–3 %) по сравнению с 4 % в западных землях. И это еще учитывая тот факт, что у «восточных» дистрибьюторов Bavaria отсутствует такая статья затрат, как выплата процентов, – их практически полностью финансирует Bavaria за счет своей дебиторской задолженности (для дистрибьюторов это кредиторская задолженность). Это не совсем согласуется со словами Штейнера о замечательных предпринимателях. Логически более высокий риск и предпринимательский дух «восточных» дистрибьюторов должны сопровождаться более высокой рентабельностью их работы.
Второй момент – это разное состояние дистрибьюторов. Очевидно, что наилучшие результаты показывает Берлин, наихудшие – Гера. При этом условия оплаты и торгового кредита для всех дистрибьюторов одинаковые. Надо понимать, что, работая на новом рынке, давая совершенно незнакомым людям фактически беспроцентный кредит, надо быть очень осторожным и тщательно контролировать состояние дел дистрибьюторов. Фактически они строят свой бизнес на деньги Bavaria, поэтому Штейнеру необходимо тщательно следить за сохранностью этих денег. Что для этого ему нужно делать? Вот несколько предложений:
• Ставить дистрибьюторам план по постепенному переходу на общие условия платежа, а также общие кредитные лимиты по объему задолженности. Дополнительно устанавливать рамки основных показателей финансовой отчетности дистрибьюторов, таких как, например, максимальный размер дебиторской задолженности дистрибьютора, необходимый для получения товарного кредита от Bavaria.
• Дифференцировать дистрибьюторов. Лучшим давать более интересные условия, худшим – ужесточать условия оплаты и лимиты.
• Не продавать товар дистрибьюторам, а передавать его на консигнацию – право на товар в этом случае останется у Bavaria, что защитит компанию в случае банкротства дистрибьютора.
• Периодически проверять физическое наличие товара на складах дистрибьюторов (проводить инвентаризации).
Доверять деньги людям, которые сами денег не имеют, но имеют замечательный предпринимательский дух и историю о том, как можно сделать бизнес, можно. Но если затем не контролировать этих людей, оправдывать их, когда они начинают просрочивать платежи, то это значит получить проблемы с собираемостью задолженности, воровству и необходимости списания больших сумм! Встречал несколько подобных случаев на практике.
Хотелось бы упомянуть еще один практический момент, касающийся управления оборотным капиталом. Часто менеджерам ставят задачи по поддержанию размера оборотного капитала (как правило, выражаемые в днях). Обычно для операционных менеджеров это выражается в планах по сокращению размера дебиторской задолженности, товарно-материальных запасов и незавершенного производства, а также в увеличении сроков оплаты долгов поставщикам. Часто для выполнения планов по запасам товаров и материалов менеджеры требуют от поставщиков держать их товар «в готовности» на своих складах где-то неподалеку и поставлять небольшими партиями по мере возникновения необходимости. В результате у менеджера действительно снижается размер оборотного капитала на его балансе. Вроде все супер? Но здесь есть одно важное «но». Запасы все равно надо будет где-то физически хранить до того момента, пока они не понадобятся менеджеру. Иными словами, сам по себе оборотный капитал в виде запасов товаров и материалов не исчезнет, весь вопрос в том, кто будет финансировать этот оборотный капитал. В данном случае менеджер просто перекладывает финансирование своего оборотного капитала на плечи поставщика.
Казалось бы, ну и что? Но проблема заключается в том, что для такого клиента поставщик просто включит дополнительную стоимость своего оборотного капитала в стоимость своего товара, то есть повысит цену. То же самое касается и неоплаты счетов. Будут тянуть с оплатой – в следующий раз поставщик просто повысит свою маржу, чтобы учесть, что эту задолженность ему придется финансировать за свой счет. В результате, снизив размер оборотного капитала, менеджер получит более высокую себестоимость (в виде более высоких цен на поставляемые товары и услуги). И здесь уже неясно, кто выигрывает. Если вы – крупный производитель, то ваша стоимость капитала (WACC) будет, скорее всего, ниже стоимости капитала мелкого поставщика (например, за счет того, что крупным компаниям, при прочих равных кредиты обходятся дешевле, чем их мелким коллегам). В этом случае вам выгоднее пожертвовать размером собственного капитала, чтобы получить более низкую себестоимость продукции. По этой схеме строится и логика Штейнера. Если даже дистрибьюторы смогут получать кредиты в своих банках, то, скорее всего, кредиты эти будут выдаваться под высокий процент. В этом случае, чтобы покрыть процентные расходы, дистрибьюторам понадобится более высокая дистрибьюторская маржа на продаваемое пиво. Это в свою очередь приведет к снижению отпускной цены продукции Bavaria, то есть к снижению рентабельности компании.
Но это все лирика. Давайте обратимся к цифрам. Вполне возможно, что высокие риски кредитной политики Bavaria оправданы высокой доходностью продаж в восточных землях. За отправную точку возьмем анализ рентабельности инвестиций в дебиторскую задолженность, который Марии любезно предоставил Хайнрик Штейнер.
Сам по себе анализ корректен. Штейнер сравнивает маржинальную прибыль от новых продаж в восточных землях с инвестициями в дебиторскую задолженность, которые понадобилось сделать, чтобы обеспечить эти продажи. Здесь может возникнуть вопрос: почему не учитывается полная сумма дебиторской задолженности в качестве инвестиций, а только себестоимость поставленной продукции? Ответ простой – надо считать только деньги, которые Bavaria реально потратила на дистрибьютора, деньги, которыми она рискует. А потратила деньги она только на то, чтобы сварить пиво, то есть только свои производственные издержки. Дебиторская задолженность показывает, кроме издержек, еще и «виртуальную» прибыль компании (реальной прибыль станет только после оплаты), так что считать инвестицией полную сумму дебиторской задолженности будет некорректно.
Формально анализ Штейнера показывает хорошую рентабельность инвестиций в дебиторскую задолженность. Но Штейнер не учел несколько важных моментов. Дебиторская задолженность – не единственная инвестиция компании, связанная с расширением на Восток. Вспомните главу книги, посвященную инвестициям: при оценке проекта надо учитывать все инкрементальные денежные потоки. А кроме дебиторской задолженности, Bavaria несет затраты на дополнительные запасы товаров, а также на дополнительное оборудование (основные средства). Давайте попробуем дополнить анализ Штейнера, чтобы учесть все эти факторы (см. таблицу).


Итак, как вы видите, если принять во внимание все инвестиции компании, необходимые для расширения присутствия в восточногерманских землях, доходность всего предприятия не представляется такой уж высокой. Не будем забывать, что стоимость капитала (WACC) компании будет, скорее всего, значительно выше 11 %, которые компания платит по кредитам.
Кроме того, как вы видите, в этом анализе упущена очень актуальная проблема возникновения плохих долгов. Давайте попробуем проанализировать, как изменится доходность инвестиций в случае возрастания объема плохих долгов (см. таблицу).

Из анализа видно, что если просроченная задолженность превысит 30 % (вполне реальная цифра, принимая во внимание отсутствие должного контроля дистрибьюторов со стороны Штейнера), то ни о какой доходности вложений говорить не имеет смысла.
Итак, достаточна ли доходность «восточных» продаж, чтобы их оправдать? Давайте построим небольшую инвестиционную модель оценки этого проекта в ретроспективе, то есть как будто перед принятием решения в 1990 году (см. таблицу).


Как вы видите, при довольно высоком WACC проект имеет положительный NPV. Что это значит? Это значит, что потенциально Bavaria Bier делает все правильно. Главное – не загубить проект неправильными управленческими решениями и отсутствием внимания к управлению операционными рисками. Но как добиться от менеджеров внимания к таким рискам? В этом случае в дело вступает система мотивации.
Оплата Штейнера
Любой менеджер работает в соответствии с той системой мотивации, которая для него предусмотрена. Работа Хайнрика Штейнера – яркий пример действия этой концепции. Вспомните, переменная часть оплаты труда Штейнера зависит только от роста продаж. Неудивительно, что в этой ситуации вся его работа и направлена на развитие продаж, а не на контроль рисков работы дистрибьюторов, отсутствие которого в весьма скором времени очень негативно скажется на бизнесе Bavaria. Эту ситуацию надо менять.
В связи с этим я бы предложил 25 % переменной части «завязать» на выполнение плана продаж, а 75 % – на выполнение задач по объему оборотного капитала (в днях), а также по объему просроченной задолженности.
Дивиденды
В настоящий момент Bavaria выплачивает своим акционерам 75 % прибыли в виде дивидендов. Это серьезно ограничивает возможности по «стабильному» росту компании. Как вы понимаете, можно увеличить порог «стабильного» роста и облегчить проблемы с нарастанием задолженности за счет сокращения дивидендов. Но реально ли это в данном случае? Bavaria – семейная компания, многие акционеры которой полагаются на дивиденды как на средство обеспечения их существования. В данном случае приходится учесть специфику акционеров и признать, что сокращение выплат дивидендов для решения проблем с задолженностью – это нежизнеспособный вариант действий.
Бизнес-план на 1993–1994 годы
Итак, подытоживая все вышесказанное, давайте постараемся пересмотреть бизнес-план компании на 1993–1994 годы. Давайте отметим основные проблемы в работе компании и ее бизнес-плане.
Прежде всего вызывают сомнение оптимистические показатели по росту рентабельности продаж с 6 до 7 %. Не очень ясно, за счет чего будет достигнуто 15 % увеличение рентабельности. Разумнее оставить цифру на текущем уровне.
Далее по прогнозам в силу быстрого роста выручки растет размер кредиторской задолженности до уровня, приближающегося к критическому. Соотношение EBIT / процентные платежи составляет около 3, что считается опасным уровнем. Мы еще будем подробно рассматривать вопросы оптимальной структуры капитала, но здесь, забегая вперед, приведу одно общее правило: финансовая стратегия должна дополнять бизнес-стратегию. В частности, нельзя в дополнение к рискованной бизнес-стратегии применять и рискованную финансовую стратегию. В данном случае рискованная бизнес-стратегия Bavaria должна быть дополнена безопасной финансовой стратегией, то есть меньшим размером задолженности.
Что можно сделать, чтобы решить эту проблему? Вариантов действий несколько:
• размер денежных средств на счетах компании составляет 10 % от оборота. Обычно нормальным считается уровень в районе 2−5 %. Можно использовать «лишний» кэш для выплаты краткосрочной задолженности;
• можно снизить целевой уровень роста выручки компании до более близкого к «стабильному», например до 15 %;
• можно снизить размер оборотного капитала за счет снижения оборачиваемости дебиторской задолженности до, скажем, 60 дней.
Кроме того, в настоящее время с учетом рисков, связанных с восточными дистрибьюторами, уровень резервов по сомнительным долгам определен в размере 2 % от выручки. Для Восточной Германии я бы рекомендовал «заложить» уровень плохих долгов в 20 % от дебиторской задолженности восточных земель. С учетом того что структурно восточные земли занимают около 20 % продаж Bavaria, то общий размер резерва составит 20 % × 20 % + 80 % × 2 % = 5,6 %.
Давайте введем эти данные в модель (при просмотре файла в электронном виде загрузите диспетчер сценариев на листе «Предположения») и посмотрим, что получится (см. таблицу ниже).
Итак, как вы видите, предлагаемые меры позволят существенно улучшить операционную и финансовую картину деятельности Bavaria Bier. Такой бюджет / бизнес-план можно принимать.
Вот таким образом вы можете проанализировать и спрогнозировать работу любой компании.



Финансовое планирование на практике
Мы с вами изучили общие подходы к финансовому планированию и анализу. На практике все выглядит примерно так, как было описано выше, но с несколько большей детализацией. Компании обычно планируют изменение выручки не в целом, а отдельно по каждому продукту. Затем данные складывают. Данные по издержкам тоже планируются не одной строкой (это только первая грубая прикидка), а отдельно по планируемым изменениям натуральных показателей и цен на материалы и энергию. Себестоимость разбивают на элементы (такие как зарплата, электроэнергия, газ, материалы по видам материалов) и прогнозируют изменение стоимости каждого элемента. Далее уже отдельные элементы складывают вместе, чтобы получить себестоимость.






Иными словами, модели прогнозной отчетности будут выглядеть примерно так же, но просто будут гораздо более детальными (см. выдержку из финансового плана производственной компании на иллюстрации).
Бюджетирование
Что происходит с финансовым планом, когда его утвердили? Он превращается в «бюджет». Что такое бюджет? Если коротко, это свод правил и ограничений, по которым живет компания. Но давайте поговорим об этом подробнее.
Что такое бюджет, и зачем он нужен
В компании есть менеджеры, которым надо выполнять определенные задачи. В рамках выполнения задач менеджеры могут зарабатывать для компании деньги в виде выручки и тратить деньги в виде расходов. Обычно менеджеров у компании много, деньги все они тратят, а «зарабатывают» деньги для компании только менеджеры по продажам. Как сделать так, чтобы после суммирования всей выручки и затрат менеджеров компания получила ту прибыль, которую планировала получить? Очевидно, что затраты менеджеров надо как-то ограничивать и контролировать, иначе может так получиться, что все работники компании неожиданно начнут летать за счет компании на курорты первым классом, в то время как компания будет сидеть в глубоких убытках. Основным инструментом в ограничении «аппетитов» менеджеров и являются бюджеты. Бюджет – это некая сумма, больше которой менеджер потратить не может. Ему либо не дадут это сделать, либо потребуют существенных обоснований и объяснений. Ограничивая каждый вид расходов определенной суммой, мы можем добиться того, чтобы реальные результаты компании существенно не отличались от прогнозируемых.
Откуда берутся цифры бюджета? Из утвержденного финансового плана. Мы уже говорили, что реальные финансовые планы выглядят несколько сложнее, чем те, которые мы встречали в этой главе. Каждая строчка финансовой отчетности в плане является суммой множества более мелких строчек, которые, в свою очередь, являются суммой еще более мелких строчек и т. д. Так вот, после принятия плана все эти строчки, и крупные и мелкие, становятся ограничителями-бюджетами для менеджеров. Например, если в бюджете коммерческие расходы всего составляют миллион рублей, из них затраты на командировки коммерческих представителей составляют 500 000 руб., то это значит, что сотрудники отдела продаж (коммерческие представители) все вместе не могут потратить на свои командировки больше этой суммы.
Ответственные лица и организация бюджетного процесса
За организацию работы с бюджетами и финансовыми планами в компаниях несут ответственность отделы, которые называют бюджетными (как вариант «планово-экономическими» или «планово-бюджетными) департаментами (управлениями, отделами). Находятся они, как правило, в прямом подчинении финансового директора (см. рисунок).

Задача руководителя бюджетного департамента – наладить работу бюджетного процесса в компании, а также сформировать и подготовить к утверждению финансовые планы и бюджет компании. Кроме того, руководитель департамента отвечает за подготовку всевозможных отчетов о выполнении бюджетов и планов.
В чем же заключается бюджетный процесс? Если коротко, он состоит из трех этапов:
1. Формирование проекта бюджета (финансового плана).
2. Рассмотрение и утверждение бюджета.
3. Контроль выполнения бюджета.
Рассмотрим все по порядку.
Формирование бюджета
Когда вы только начинаете внедрение в компании бюджетного процесса, вам надо сделать несколько предварительных шагов для налаживания бюджетной системы. Во-первых, вам надо определить все уровни детализации, до которых будет опускаться бюджет. Например, бюджет большой компании будет состоять из бюджетов нескольких дивизионов. Бюджет дивизиона будет состоять из бюджетов департаментов, находящихся внутри дивизиона, например, департамента сбыта. Внутри бюджета департамента сбыта будет, например, бюджет расходов на командировки (см. рисунок).

Подобную же процедуру вы делаете для всех компонентов расходов и доходов.
Вторым этапом вы должны определить владельцев бюджетов. Владелец бюджета – это менеджер, который может разрешить производить расходы в рамках «своей» строчки бюджета. Например, владельцем бюджета командировочных расходов в нашем примере будет начальник департамента сбыта. Руководитель подразделения не всегда контролирует все расходы своего департамента. Например, сотрудники департамента сбыта пользуются компьютерами, то есть из-за их работы компания несет издержки на Интернет, техническую поддержку и т. д. Однако начальник департамента сбыта не будет являться владельцем бюджета этих расходов – ими будет управлять начальник департамента информационных технологий. В общем, у каждой строчки бюджета на любом уровне детализации должен быть свой владелец.
Когда вы сделали эти шаги, далее вы обычно делаете набор бюджетных форм (пример бюджетной формы вы можете увидеть на сайте www.gerasim.biz). Это электронные таблицы, которые позволяют стандартизировать и автоматизировать процесс составления бюджета и финансового плана компании. Бюджет каждого уровня управления (компания в целом, дивизион, департамент и т. д.) будет выглядеть абсолютно стандартно – различаться будут только цифры. В результате вам будет легко получить общий бюджет любого уровня управления, просто сложив вместе цифры бюджетов подразделений, входящих в этот уровень управления.
После того как вы подготовили все необходимые документы, начинается работа над составлением бюджета. Обычно бюджеты составляются на год, и все начинается летом предыдущего года. В этот момент издается приказ генерального директора, в котором всем подразделениям, которые включены в бюджетную структуру, предлагается заполнить стандартные бюджетные формы – сделать прогноз затрат и выручки на следующий год. При этом обычно руководителям подразделений выдаются общие пожелания относительно роста выручки и снижения затрат. В нормальных компаниях эти «пожелания» исходят из стратегической модели, в которой заложены прогнозируемые цифры роста финансовых показателей компании. Это примерно те постулаты, которые мы видели в кейсе Bavaria, – снижение оборачиваемости дебиторки, рост выручки по сегментам и продуктам и т. д.
Далее в течение некоторого времени руководители подразделений заполняют бюджетные формы, то есть делают проекты бюджетов. Заполняют они их, в основном опираясь на фактические данные текущего года и свои прогнозы. Затем формы пересылаются в планово-бюджетный отдел, который консолидирует проекты бюджетов различных подразделений в единый бюджет бизнес-единицы компании (например, дивизиона) или компании в целом. Вот тут и начинается самое интересное!
В большинстве случаев представляемая менеджерами через проекты бюджетов картина изначально выглядит безрадостно. Выручка падает или в лучшем случае немного растет, издержки же растут, и весьма прилично. Естественно, менеджеры компании не могут выставить подобный бюджет на рассмотрение собрания акционеров или совета директоров, поэтому далее в жизни компании следует увлекательный этап торговли менеджеров подразделений с руководителем бизнес-единицы. Иногда этому этапу предшествует этап «защиты» бюджетов подразделений руководителями на совещаниях с участием начальника планово-бюджетного департамента и финансового менеджера компании или бизнес-единицы. Обсуждение проектов бюджетов на таких совещаниях сводится примерно к следующим тезисам:
• «Обоснуйте, почему вы не увеличиваете выручку по продукту до показателей, заложенных в стратегии».
• «Обоснуйте, почему вы увеличиваете свои расходы на то-то и то-то».
• «Почему ваши расходы на то-то и то-то растут в процентах по отношению к выручке?»
• «Почему вы закладываете в бюджет по такой-то строке сумму Х, тогда как в прошлом году вы также закладывали в эту строку сумму Х, но потратили наполовину меньше?»
• «Меня не волнуют ваши причины, сумма расходов в строке Х должна быть не выше Y».
В результате таких совещаний проекты бюджетов дорабатываются, снова обсуждаются, снова дорабатываются, снова обсуждаются и т. д. После нескольких итераций наконец появляется удобоваримый компромиссный для всех проект бюджета.
Далее к цифрам бюджета добавляют обоснования (маркетинговые планы, стратегические планы, списки одобренных проектов капиталовложений и т. д.), делают на основе всего этого прогнозную финансовую отчетность, и весь комплект документов превращается в проект финансового плана компании (еще говорят – бизнес-плана) на следующий год. В идеале проект должен быть готов где-то в начале декабря.
Утверждение бюджета
Готовый проект обычно представляется на рассмотрение и утверждение совета директоров компании. На заседании совета проект рассматривается, директора высказывают свои вопросы и замечания (примерно те же, о которых уже говорилось, и которые вы видели в кейсе Bavaria). Если критичных возражений нет, то бюджет утверждается. Если есть – проект отправляется на доработку, то есть на предыдущий этап совещаний и торговли.
В конечном итоге в компании появляется утвержденный бюджет и бизнес-план на соответствующий год. Если так получилось, что до 1 января в компании не успели принять проект бюджета на следующий год, то компания до момента принятия нового бюджета обычно живет по бюджету предыдущего месяца. Иногда здесь возможны какие-то экстренные отклонения.
Контроль выполнения бюджета
Как мы уже говорили, бюджет – это средство контроля расходов компании и инструмент обеспечения планируемого финансового результата. Соответственно расходы любого подразделения не должны превышать цифр, заложенных в бюджете, а выручка не должна быть меньше цифр, заложенных в бюджете. Как этого достигают?
Все не так сложно. Дело в том, что просто так заплатить деньги на расходы компании, будучи менеджером, вы не сможете (если только не хотите, чтобы это были деньги из вашего кармана). Обычно оплаты счетов в компаниях производят централизованные службы – отделы платежей. Чтобы этот отдел заплатил деньги за ваши расходы, вы должны представить специальный документ (обычно называется заявкой на платеж). В документе вы должны указать строчку бюджета, в рамках которой вы просите осуществить платеж. Перед осуществлением платежа в отделе расчетов проведут проверку, которая должна показать, не превысит ли ваш платеж общий лимит расходов, заложенный в данной строке бюджета вашего подразделения. Сделать это можно несколькими способами.
• Если у вас в компании стоит «продвинутая» корпоративная информационная система (вроде SAP R / 3) и все заявки на платежи вводятся в систему в электронном виде, система просто известит вас о том, что вы превысили лимит бюджета, и не даст послать такую заявку.
• Сотрудник отдела платежей может вручную проверить наличие «свободных» лимитов в вашем бюджете.
• Перед тем как заявка придет в отдел расчетов, она должна быть согласована с планово-бюджетным отделом (например, на ней должна стоять подпись начальника или сотрудника этого отдела). В этом случае проверку выборки лимитов бюджета произведет уже планово-бюджетный отдел.
Понятно, что спланировать все в бюджете абсолютно точно невозможно. Если вы превысили свой лимит, но платить все же надо, вы должны пройти через процедуру увеличения вашего бюджета. Обычно это можно делать, получив «добро» от финансового директора, генерального директора или даже совета директоров (в зависимости от значительности сумм увеличения бюджета, которые вы запрашиваете).
В течение года планово-бюджетный отдел периодически отслеживает состояние исполнения бюджета. В некоторых компаниях периодически проводятся совещания по исполнению бюджетов, где обсуждают возможные проблемы и отдельных менеджеров «настоятельно призывают» соблюдать установленный бюджет.
Сама по себе система лимитирования расходов компании с помощью бюджетов достаточно разумна и позволяет снизить риски неэффективных расходов. Но у нее есть и свои минусы. Например, после утверждения бюджета система не дает менеджерам стимулов снизить расходы. Часто в конце года менеджеры пытаются срочно «освоить» бюджеты по тем строчкам, где у них остались резервы, чтобы их не «порезали» на следующий год. В общем случае процесс бюджетирования и контроля имеет негативный оттенок недоверия к менеджерам. Он превращается в некую игру «кто кого перехитрит». Поэтому человечество пытается придумать более совершенные способы управления рисками неэффективных затрат, такие как, например, управление по ключевым показателям эффективности и сбалансированные карты показателей. Но пока развитие российского бизнеса и менеджеров не достигло того уровня «продвинутости», чтобы отказаться от контроля с помощью бюджетов, поэтому лимитирующие бюджетные системы остаются необходимым злом и реальностью работы российских компаний.
Обратите внимание, что в начале этой главы мы с вами изучали долгосрочное планирование методом «сверху вниз», то есть начиная с общей финансовой отчетности компании. Такое прогнозирование целесообразно использовать, когда вы хотите спланировать работу компании на несколько лет вперед. Что касается планирования только на следующий год или месяц, то здесь, после прохождения всего цикла составления и защиты бюджета, у вас образуется финансовый план «снизу вверх», полученный путем суммирования «маленьких» финансовых планов подразделений компании. Это нормально, так как, как вы знаете, с удалением горизонта планирования точность прогнозов падает. Нет смысла планировать все детально «снизу вверх» на 5 лет вперед – все равно прогноз будет неверным. Второе правило прогнозов – агрегированный прогноз всегда точнее детального. Так что при долгосрочном прогнозировании суммарная ошибка для варианта «снизу вверх» будет значительно выше, чем для варианта «сверху вниз».
Управление денежными средствами (краткосрочное финансовое планирование)
Итак, долгосрочное планирование позволяет нам определить необходимую сумму финансирования компании. Однако на практике для обеспечения достаточного финансирования нам придется еще учесть влияние некоторых факторов, таких как, например, сезонность и время платежей.
Предположим, что продажи компании АБВ в примере в начале главы помесячно распределяются следующим образом:

При этом:
• Каждый месяц вы получаете от клиентов оплату в размере:
• 20 % продаж текущего месяца;
• 50 % продаж предыдущего месяца;
• 30 % продаж двумя месяцами ранее.
• Вы покупаете и оплачиваете материалы для производства (это единственная составляющая себестоимости – 67 % от продаж).
• Материалы закупаются за два месяца до предполагаемого использования.
• Оплата материалов производится через месяц после покупки.
• Выплаты заработной платы составляют 15 % от продаж текущего месяца.
• Коммерческие и административные расходы составляют 12 % от продаж месяца.
• Налоговые платежи платятся равными долями поквартально (март, июнь, сентябрь, декабрь).
• Дивиденды за прошлый год выплачиваются в июне.
• Оплата капитальных вложений – 6 млн руб. в феврале, 1,8 млн в августе.
• Кредит в 5,7 млн руб. получаем в январе, проценты выплачиваем помесячно (проценты считаются на всю сумму задолженности, то есть каждый месяц – годовая сумма, деленная на 12).
Давайте на основе этой информации сделаем прогноз движения денежных средств компании АБВ. Начнем с поступления денег:


Долгосрочный прогноз, который мы делали в начале главы, показывает необходимость наличия в 2009 году в структуре капитала дополнительной краткосрочной задолженности в 5,7 млн руб. Однако в силу неоднородности поступлений и платежей денег в компании в течение года будут образовываться очень существенные кассовые разрывы. Например, в июне суммарный кассовый разрыв составит около 19,3 млн руб.! Поэтому надо понимать, что долгосрочный прогноз дает приблизительное представление о финансовых потребностях компании – потребности в финансировании внутри года в силу разных факторов могут быть существенно выше. В связи с этим в компании большое значение имеет управление текущими остатками денежных средств.
В компаниях за эту функцию (по-английски – cash management) отвечает отдел расчетов или казначейство. Это подразделение обычно находится в составе финансовой службы и подчиняется финансовому директору.

У компании ежедневно должно быть достаточно денег, чтобы оплатить все необходимые счета. В этом случае долгосрочное финансовое планирование нам уже не поможет. Нам придется делать что-то более приземленное и близкое к действительности. Нам придется рассчитывать и контролировать бюджет движения денежных средств, как было показано выше, причем не только на помесячной, но и на ежедневной основе.
Что собой представляет ежедневный бюджет движения денежных средств? Это свод предполагаемых поступлений и платежей. Для каждодневного управления остатками на счетах вы делаете примерно такую таблицу:

Чтобы составить такую таблицу, сотрудники, отвечающие за управление денежными средствами (по-английски – cash management), получают от подразделений компании заявки на платежи и распределяют их по дням. Информацию о предполагаемых поступлениях от клиентов они либо получают от отдела сбыта, который отвечает за контроль дебиторской задолженности, либо сами звонят клиентам с просьбами заплатить (если в компании за контроль состояния дебиторской задолженности отвечают они).
Обычно такой документ составляется каждый день (часто на несколько дней вперед), а затем его исполнение контролируется (то есть если не пришел какой-то платеж от клиента, клиенту начинают звонить, просить и ругаться).
Если денег много, казначейство помещает временно свободные средства на депозиты или покупает ценные бумаги, но что делать, если денег не хватает? Вариантов несколько.
• Можно задержать определенные платежи – например, перенести оплату каких-то счетов на пару дней, до того момента, когда на счет прибудут деньги от клиентов.
• Можно договориться с банком о предоставлении краткосрочных кредитов на покрытие кассовых разрывов.
• Можно договориться с банком об овердрафте. Овердрафт – фактически тот же кредит, просто вы не получаете конкретный кредит, а платите со своего счета больше денег, чем на нем есть. Минусовой остаток (овердрафт) и будет суммой вашего кредита. В дополнение к нему банки также обычно берут еще и плату за активацию овердрафта каждый раз, когда ваш остаток по счету «уходит в минус». Подробнее об овердрафтах мы еще будем говорить в главе «Заемный капитал».
• Можно договориться с поставщиком об оплате в форме аккредитива. Аккредитив (по-английски – letter of credit) – это письмо от банка, которое гарантирует поставщику оплату в определенном размере. Аккредитив поставщик может принять вместо предоплаты, например, за поставку оборудования. Аккредитив вам банк выдаст, естественно, не бесплатно, а за определенное вознаграждение, но оно будет ниже стоимости полноценного кредита.
В управлении деньгами есть и другая сторона «медали» – надо не только оплачивать все необходимые счета, но и не держать на счетах «лишние» деньги, то есть оптимизировать остатки на расчетных счетах. Поэтому управление движением денежных средств – это подчас очень непростая задача, особенно в больших компаниях, где есть много юридических лиц (каждый с несколькими расчетными счетами), которые еще и постоянно что-то платят друг другу.
Глава 5
Структура капитала
В предыдущей главе мы говорили о том, как определить, сколько капитала понадобится компании, чтобы профинансировать все свои грандиозные планы развития. Но, как вы знаете, есть две возможности финансирования: за счет собственного капитала и за счет займов. В этой главе мы будем говорить о важнейшей составляющей финансовой стратегии компании: как определить, за счет каких источников будет правильным финансировать компанию. Мы будем говорить о целевой структуре капитала.
Сначала мы рассмотрим теоретические подходы к определению структуры капитала, а затем перенесем теорию в практику, рассмотрев ряд кейсов и практических дополнений к теории.
M&Ms финансов
Начало разговорам о структуре капитала было положено еще в 60-е годы прошлого века, когда на арену вышли работы по структуре капитала двух «М» – Франко Модильяни и Мертона Миллера (в дальнейшем ученые получили за эту работу Нобелевскую премию). Суть их выводов заключалась примерно в следующем: структура капитала не имеет значения! Логика мышления при этом выглядела следующим образом.
Добавленная стоимость создается активами компании, реальным бизнесом, который приносит прибыль и генерирует денежные потоки. Представим себе созданную активами компании добавленную стоимость в виде «пирога». Весь этот «пирог» идет кредиторам и акционерам.

Обратите внимание, что от того, как поменяется соотношение части «пирога», которая идет акционерам, и части, которая идет кредиторам, сам размер «пирога» не поменяется. Какой-то новой ценности структура капитала не создаст. Иными словами, для создания ценности безразлично, какова будет структура капитала компании. Инвесторы не будут оценивать суммарно стоимость долга и акций компании А выше компании Б, имеющей такой же размер «пирога», так как они оценивают денежный потоки, то есть сам размер «пирога».
Эта же логика мышления приводит и к следующим выводам.
• Дивидендная политика компании также не важна, так как она не меняет размер «пирога».
• Не важно также, надо ли компании брать краткосрочный или долгосрочный кредит – это все равно не меняет общий размер «пирога».
Очевидно, что этот взгляд на мир крайне упрощен, и сейчас мы начнем его усложнять и приводить ближе к практике. Но у теоремы есть важный урок для менеджеров: большая часть ценности создается именно активами компании. Важно сосредоточиться на увеличении размера «пирога» (принятии и реализации проектов с положительным NPV) и отделить решения о разделении «пирога» на куски (о том, как финансировать проект) от самого «пирога».
Добавляем налоги
Теперь давайте приближать теорию к реальной жизни. Мы с вами говорим о том, что ««пирог»» или стоимость компании (V (A)) равен сумме рыночной стоимости акций компании (V (E)) и рыночной стоимости долга компании (V (D)):
V (A) = V (D) + V (E).
Как можно увеличить размер этого «пирога»? Тут мы с вами снова вспоминаем про налоги. Проценты по кредитам можно вычитать из налогооблагаемой прибыли. Это может повлиять на размер «пирога». Например, у нас есть компания, которая приносит каждый год 100 млн руб. прибыли до налогов (предположим ставку дисконтирования 10 %). Какова будет ее стоимость при различной структуре капитала? Давайте посмотрим:

Иными словами, «пирог» увеличился. Получается, что теорема неверна? Не совсем так. Просто государство получает свой кусок «пирога» от ценности компании (в данном случае 250 млн руб.). Однако если мы говорим, что стоимость компании складывается из стоимости ее акций и долга, то уменьшение кусочка «пирога», который откусывает государство, увеличивает стоимость компании. Таким образом, увеличение доли заемного капитала в структуре капитала не увеличивает «пирог» в целом, но увеличивает часть «пирога», которая идет акционерам и кредиторам.

Например, если заемный капитал составляет 10 % от общего капитала компании, то при ставке налога на прибыль в 25 % налоги «съедают» 22 % «пирога». Если доля заемного капитала увеличивается до 50 %, то налоги составят всего 12 % того же самого «пирога». Дополнительные 10 %, которые в «пирог» добавил долг, называются налоговым щитом заемного капитала (по-английски – tax shield). Таким образом, мы можем сказать, что стоимость компании с учетом структуры капитала (V (A)) равна стоимости компании, финансируемой только за счет акционеров (V (all-equity)), плюс ценность налогового щита долга (V (t)):
V (A) = V (all-equity) + V (t).
Вывод напрашивается сам собой: чтобы максимизировать стоимость компании («пирог»), нужно финансировать компанию целиком (или почти целиком) за счет долга, чтобы максимизировать использование налогового щита. Но почему компании этого не делают?
Финансовые кризисы
Здесь мы переходим к рассмотрению темной стороны долга – возможности финансовых проблем и банкротства. Очевидно, что если компания возьмет слишком много кредитов, то в какой-то момент у нее могут возникнуть проблемы с их выплатой. Это наглядно показывает история российской экономики 2008–2009 годов. В этом случае выходов два:
• ликвидация компании;
• реструктуризация долга.
Любое из этих действий обычно ведет к разрушению части «пирога». Например, в случае ликвидации компания несет издержки на:
• выплаты юристам и арбитражным управляющим;
• выплаты выходного пособия увольняемым сотрудникам;
• оплату мероприятий по приведению в надлежащее состояние территории (экологические мероприятия и т. д.).
Кроме того, распродажа активов компании в этом случае обычно идет с существенными скидками, оборудование, особенно уникальное, может быть продано по цене лома. В общем, в ходе ликвидации обычно «пирог» резко ужимается.
Реструктуризация также несет в себе издержки. Во-первых, вы должны платить тем же юристам, посредникам в переговорах с кредиторами (крупные компании для этого обычно нанимают инвестиционные банки). Во-вторых, при большом количестве кредиторов с ними гораздо труднее договориться – каждый хочет, чтобы уступки делал другой. В результате, если кредиторы не смогут прийти к общему мнению, реструктуризация долга вообще может стать невозможной.
Но на самом деле наиболее серьезные издержки компания несет при приближении к ситуации неплатежеспособности. В этом случае можно выделить несколько основных направлений удара по ««пирогу».
• Проблема «нависания долга» (по-английски – debt overhang).
• Проблема действий конкурентов.
• Проблема трудностей работы с поставщиками.
• Проблема потери клиентов.
• Проблема неэффективных действий менеджеров в условиях финансовых проблем.
Давайте подробнее рассмотрим эти проблемы.
Нависание долга
Эту проблему лучше всего рассматривать на примере. Предположим, что у вас есть компания, активы которой через год могут стоить:

У компании сейчас есть долг в размере 35 руб. В этом случае через год распределение «пирога» будет выглядеть следующим образом:

Сейчас у компании есть инвестиционный проект, который требует инвестиций в 15 руб. Этот проект через год однозначно принесет 22 млн руб. (риска нет). Безрисковая ставка дисконтирования 10 %, что дает NPV = –15 + 22 / 1,1 = 5 руб. Проект надо делать. Но для проекта нужно финансирование. Что получат акционеры, если они профинансируют этот проект?

В этом случае для акционеров расчет NPV будет выглядеть несколько иначе:
NPV (а) = –15 + (0,5 × 22 + 0,5 × 0) / 1,1 = –5.
Акционеры проект не профинансируют. Они несут полную стоимость инвестиций, но получают только часть возврата на капитал! Иными словами, если у акционеров компании есть прибыль, которую можно направить на этот проект (заметьте, имеющий положительный NPV, то есть увеличивающий «пирог»), они предпочтут выплатить эту прибыль в виде дивидендов и проект делать не будут.
Этот пример показывает вполне реальную проблему: компании, которые имеют финансовые проблемы или приближаются к ним, отказываются от проектов, которые могут увеличить общую стоимость компании. Чем выше вероятность возникновения финансовых проблем, тем выше влияние «нависания» долга. Обратите внимание, например, что в ходе кризиса акционеры некоторых крупных российских компаний не давали дополнительное финансирование своим компаниям, которые попали в полосу финансовых проблем. Например, владеющий «Группой ГАЗ» (крупнейший в России автомобилестроительный холдинг) Олег Дерипаска с момента появления у «Группы ГАЗ» проблем с выплатой долга не вложил в компанию ни копейки. А между тем компании, если она хочет выжить, надо вкладывать существенные средства в разработку новых моделей, оптимизацию производства. Иными словами, нужно реализовывать проекты с положительным NPV, которые требуют вложения денег. Не надо ругать Дерипаску – он действует вполне рационально. Вкладывая деньги в «Группу ГАЗ», он фактически по большей части отдает их кредиторам. Ожидаемый возврат от этих денег у Дерипаски, исходя из представленной выше логики, будет отрицательным, поэтому зачем их вкладывать?
Словом, основная проблема компаний, имеющих финансовые проблемы или приближающихся к ним, состоит в том, что они не реализуют необходимые для выживания и развития инвестиционные проекты.
Действия конкурентов
В то время как компании с финансовыми проблемами «дремлют», их конкуренты, находящиеся в более выгодном финансовом положении, могут воспользоваться ситуацией. Они могут усиленно инвестировать в развитие сбытовой сети, в производство новых продуктов. Таким образом, пока компания занята решением своих финансовых проблем, ее конкурент может существенным образом улучшить свое положение на рынке. Это приведет к потере компанией части своих денежных потоков и исчезновению части «пирога».
Проблемы с поставщиками
При возникновении у компании финансовых проблем у нее могут возникнуть серьезные проблемы с поставщиками. Опасаясь, что им не заплатят, поставщики отказываются отгружать компании свою продукцию без предоплаты. Это приводит к тому, что у компании может возникнуть проблема с производством ее продукции, либо проблемы с ассортиментом. Подобные проблемы были хорошо видны по полупустым полкам некоторых российских ретейлеров, таких как торговец бытовой электроникой «Эльдорадо», которые попали в полосу финансовых проблем в ходе кризиса в России в 2008–2009 годах.
Такие же проблемы возникли, например, и у многих промышленных компаний, которым, например, металлургические предприятия в какой-то момент отказались отгружать металл, жизненно необходимый в производстве, без предоплаты из-за возникшей у них задолженности. Получается так, что в период острой нехватки денег компании для предоплаты поставщикам потребуется дополнительный оборотный капитал, то есть еще больше денег, которых и так не хватает. Проблема начинает раскручивать сама себя: нехватка денег приводит к остановкам производства, из-за остановок производства не хватает продукции, из-за отсутствия продукции компания не может получить выручку, отсутствие выручки опять же приводит к нехватке денег. Такая получается спираль смерти, которая в конечном итоге разрушает часть «пирога».
Потеря клиентов
Когда проходят слухи о банкротстве какой-то компании, некоторые клиенты могут перестать покупать ее продукцию. Да, безусловно, сахар производства компании А, услышав о проблемах этой компании, вы в магазине покупать не перестанете. Но, например, если вы собираетесь приобрести у компании Б сложное оборудование, которое требует обслуживания ее специалистами или имеет гарантию, вы десять раз подумаете, прежде чем покупать его, если услышите о том, что компания Б может скоро обанкротиться. Купите сейчас, исчезнет компания – кто будет обслуживать сложную технику? Где вы сможете купить запчасти? Кто выполнит гарантийные обязательства?
В общем, для индустрий, производящих уникальные товары, проблема потери клиентов в случае возникновения финансовых проблем, очень важна. Она менее важна для компаний, выпускающих товары массового пользования, для которых есть масса заменителей.
Неэффективные менеджеры
Финансовые проблемы могут вынудить менеджеров действовать вполне рационально, но неэффективно с точки зрения кредиторов. Предположим, что у нас есть компания с долгами в 60 руб. Через год она получит денежный поток в 20 руб. и будет ликвидирована. В этом случае акционерам не достанется ничего. Однако сейчас у нее есть возможность реализовать инвестиционный проект. В проект надо вложить сейчас 20 руб. Сейчас это все деньги, которые есть у компании. Проект либо провалится (вероятность 90 %), либо через год принесет 120 руб. (вероятность 10 %). Для простоты будем считать ставку дисконтированию нулевой.
Если бы у вашей компании не было долгов, то проект вы бы не приняли – он имеет отрицательный ожидаемый NPV (взвешенный по вероятности):
NPV = –20 + 90 % × 0 + 10 % × 120 = –8.
Однако в нашей ситуации стратегия меняется. С проектом ситуация выглядит следующим образом:

Проект акционеры, безусловно, реализуют. Его ожидаемый NPV для акционеров составляет 90 % × 0 +10 % × 110 = 11 руб. Что происходит? На самом деле проект сам по себе – это просто азартная игра с плохими шансами на выигрыш. Но фактически акционеры риски проекта перекладывают на кредиторов. Они получают весь выигрыш, но ничего не потеряют в случае проигрыша.
В ситуациях финансовых проблем в компаниях менеджеры (и акционеры) совершенно рационально могут принимать чрезмерно рискованные решения в надежде вывести компанию из пике и решить все финансовые проблемы. Но это, по сути, игра на деньги кредиторов.
Кроме того, при приближении к финансовому обрыву у менеджеров компаний появляются стимулы вывести из компании часть активов или выплатить себе большие премии «в последний раз». Иногда желание «спасти» компанию приводит к тому, что менеджеры всеми силами откладывают ликвидацию компании там, где компанию следовало бы давно закрыть, чтобы не выглядеть людьми, потерпевшими поражение. Стимулы рисковать у менеджеров компаний, испытывающих финансовые трудности, есть.
Воплотим все эти соображения в модель структуры капитала, добавив в нее ожидаемые потери от финансовых проблем:
V (A) = V (all-equity) + V (t) – p × V (distress),
где:
р – вероятность возникновения финансовых проблем;
V (distress) – стоимость, разрушаемая в случае возникновения этих проблем за счет всех описанных выше факторов.
Подводя итоги теории
Итак, мы можем сказать, что при определении целевой структуры капитала мы должны учитывать следующие факторы:
• необходимость максимизации налогового щита;
• необходимость минимизации ожидаемых потерь от финансовых проблем, то есть ожидаемых потерь, умноженных на вероятность возникновения проблем.
Эти соображения можно выразить на графике (см. рисунок).

Изначально с увеличением финансового рычага растет и наш «пирог» за счет налогового щита. Но при этом растет и вероятность возникновения финансовых проблем. В какой-то момент ожидаемое значение потерь от финансовых проблем начнет превышать пользу налогового щита. Эта точка и будет оптимальной структурой капитала компании.
Обратите внимание, что описанную выше теорию сложно превратить в конкретные цифры. И это действительно так – нет в мире формулы, которая бы помогла получить конкретную цифру целевой структуры капитала. Определение структуры капитала требует анализа, рассмотрения всех указанных выше факторов. В результате вы получите некоторый диапазон значений, который и будете использовать на практике.
Давайте посмотрим, объясняет ли теория различия в структуре капитала современных компаний (для США):

Как вы видите, наша теория помогает объяснить различия в широком диапазоне. Например, мы можем сказать, что у разработчиков программного обеспечения большие потенциальные потери в случае возникновения финансовых проблем – от них отвернутся клиенты, опасающиеся отсутствия технической поддержки и новых версий продукта. Конкуренция в этой индустрии обычно очень высока, и конкуренты дремать не будут. В общем, потенциальные потери у них гораздо выше, чем у производителей электричества, которое будет востребовано всегда. Однако объяснить различия меньшего масштаба, например, между розничной торговлей и машиностроением нам будет сложно. Это нормально. Еще раз повторяю, что единой математической формулы для определения оптимальной структуры капитала в мире нет.
* * *
Давайте попробуем применить изученную концепцию на практике, проанализировав ситуацию производителя сельхозтехники Massey-Ferguson.
Во время прочтения кейса постарайтесь самостоятельно ответить на следующие вопросы.
? Проанализируйте продуктовую и финансовую стратегию Massey-Ferguson до 1976 года и сравните ее со стратегией конкурентов. В чем особенности Massey?
? Что случилось в 1976 году? Как на ситуацию отреагировала Massey-Ferguson? Что сделали конкуренты? Каковы были последствия для Massey?
? Оцените различные пути выхода из сложившейся ситуации для Massey-Ferguson. Каким образом можно решить финансовые проблемы компании?
? Какую финансовую стратегию и структуру капитала должна была, по вашему мнению, выбрать Massey-Ferguson и почему?
Massey-Ferguson на грани безумия
Massey-Ferguson Limited, производитель сельскохозяйственной техники, промышленного оборудования и дизельных двигателей была основана в 1847 году. К 1980 году компания вела операции в 31 стране по всему миру. Massey-Ferguson была крупнейшим в мире производителем тракторов для сельского хозяйства, а также крупнейшим в мире поставщиком дизельных двигателей для производителей машин и оборудования.

В 1978 году, однако, компания потерпела крупнейшие в своей истории убытки в $262,2 млн. Новый президент компании, Виктор Райс, поклялся привести компанию к прибыли в 1979 году. И действительно, в 1979 году компания показала прибыль в размере $37 млн. Однако эта прибыль была получена от продажи некоторых активов, в то время как бизнес компании принес убытки в $35,4 млн (см. таблицы).


В апреле 1980 года компания отложила запланированный выпуск привилегированных акций на сумму в 500 млн канадских долларов. Проблемы с размещением акций возникли и из-за того, что основной акционер Massey, Argus Corporation, отказалась приобретать пакет акций из этого запланированного выпуска, показывая таким образом свою неуверенность в будущем компании.
Ближе к концу 1980 года стало очевидно, что без вливания дополнительного капитала к концу октября 1980 года компания нарушит ковенанты по нескольким кредитам. Кросс-дефолтные оговорки при этом должны были привести к необходимости немедленного погашения практически всех имеющихся у компании кредитов. Если кредиторы не согласились бы на реструктуризацию задолженности, далее должно было последовать закрытие заводов, увольнения рабочих и ликвидация компании. Кредиторы и клиенты компании напряженно ожидали, сумеет ли Massey выбраться живой из этой ситуации.
История компании
Massey-Ferguson была по-настоящему интернациональной компанией. Ее продукты продавались по всему миру через сеть дистрибьюторов, дилеров и розничных точек продаж. На Северную Америку приходилась треть продаж компании, в Западной Европе Massey продавала еще треть своей продукции. Остальная треть выручки приходилась на продажи по всему остальному миру.
Производственные площадки компании также были разбросаны по всему миру. Наиболее крупные заводы компании располагались в Канаде (Брантфорд и Торонто), Франции (Маркетт), Англии (Ковентри) и Австралии (Мельбурн). Производство дизельных двигателей располагалось в Англии (Питерборо).
На некоторых рынках, в основном в Северной Америке, компания помогала фермерам покупать свои продукты с помощью кредитов и лизинга через собственную финансовую компанию. В Европе и Австралии финансовые компании Massey помогали с финансированием дистрибьюторам и дилерам. В октябре 1980 года финансовые подразделения Massey имели активов на $1130,6 млн и обязательств на $825,6 млн.
Продукты Massey-Ferguson
Сельскохозяйственное и промышленное оборудование. Эта линия продуктов состояла в основном из тракторов, комбайнов и прочего сельскохозяйственного оборудования. В 1980 году компания занимала 17 % мирового рынка тракторов, 14 % рынка комбайнов и 13 % рынка промышленного оборудования и спецтехники.
Конкурентами Massey были как крупные компании с полной продуктовой линейкой, так и средние и мелкие компании, специализировавшиеся на отдельных видах оборудования. На самом большом в мире североамериканском рынке сельскохозяйственного оборудования компания традиционно шла третьей после Deer & Co и International Harvester, однако по некоторым видам оборудования она была лидером или шла на втором месте (см. сравнительные данные в таблице).

Исторически наиболее сильные позиции Massey занимала вне Северной Америки и Западной Европы. Компания активно продвигала свои продукты на рынках развивающихся стран, особенно успешно работая с правительствами и государственными органами. В 70-х годах компания продавала свои продукты или договорилась о постройке лицензионных производственных мощностей в таких странах, как Польша, Перу, Пакистан, Египет, Ливия, Мозамбик, Турция, Саудовская Аравия, Шри-Ланка и Судан.
Дизельные двигатели. Дизельные двигатели производила дочерняя компания Massey – Perkins Engine Group. Perkins производила 60 базовых моделей многоцилиндровых двигателей мощностью от 30 до 300 л. с. Двигатели Massey использовала в своих продуктах, а также продавала сторонним производителям различных видов оборудования. В 1980 году Perkins экспортировала 86 % своих продуктов. При этом более 50 % экспорта шло для производства продуктов самой Massey.
Из-за роста цен на нефть и бензин в 1970-х годах производители оборудования и автомобилей активно продвигали использование дизельных двигателей, как более эффективных с точки зрения потребления топлива. Особенно многообещающими были перспективы активного использования небольших, но мощных дизельных двигателей в легких коммерческих автомобилях а-ля «Газель».
Финансовые трудности Massey-Ferguson
В 1960-х и 1970-х годах Massey-Ferguson реализовывала амбициозную программу покупки новых активов и расширения операций. 1970-е годы были периодом бурного роста, финансируемого в основном за счет заемных средств, причем главным образом краткосрочных. К 1978 году соотношение заемный капитал / собственный капитал (debt / equity) компании составляло 214 %. В этот год компания понесла убытки в $262 млн. Долги Massey были рассредоточены по всему миру (см. таблицы).

Менеджмент объяснил огромные убытки следующими факторами:
• валютными ограничениями в Бразилии и Аргентине, которые привели к резкому падению продаж компании в этих регионах;
• падением цен на продукты сельского хозяйства и, соответственно, падением доходов фермеров в Северной Америке;
• плохой погодой в Западной Европе, которая опять же привела к убыткам фермеров;
• высокими процентными ставками, благодаря чему возросла стоимость поддержания оборотного капитала.
Между 1978 и 1980 годами Massey отреагировала на ситуацию увольнениями работников и закрытием части заводов. Численность персонала компании за этот период сократилась с 68 000 до 4000 человек, а общий размер производственных площадей упал на треть (с 30 до 20 млн кв. футов). Компания снизила свои товарные запасы с $1083,2 млн до $988,9 млн. Были закрыты или проданы неприбыльные сегменты бизнеса, такие как производство офисной мебели, мини-тракторов для садовых участков и строительной техники. Были закрыты 24 завода. Программа оптимизации, начатая в 1978 году, привела к продаже к 1980 году активов компании более чем на $300 млн.
Несмотря на все эти усилия, в 1979 году компания понесла убытки от операционной деятельности в $35,4 млн. Прибыль, полученная по итогам 1979 года, была следствием зачета уплаченных ранее налогов. В течение первых трех кварталов 1980 года финансовое состояние Massey продолжало ухудшаться. К концу третьего квартала 1980 года убытки за девять месяцев составили $62 млн, включая убытки в $37 млн от курсовых разниц. Предварительные прогнозы на четвертый квартал показывали, что размер убытков за последний квартал превысит первые три вместе взятые. Основных причин такого положения вещей было несколько.
Процентные ставки. Высокие процентные ставки в 1979 и 1980 годах имели двойное негативное воздействие на работу Massey. Во-первых, они подняли стоимость краткосрочного долга Massey. Во-вторых, дорогие кредиты подавили спрос на сельскохозяйственное оборудование.
Спрос. Осенью 1980 года североамериканский рынок сельскохозяйственного оборудования рухнул. Из-за общемировой рецессии снизился спрос на технику также и в Западной Европе, и в развивающихся странах. Рецессия 1980 года имела негативное влияние не только на продажи Massey – ее конкуренты также испытали существенное падение продаж и вынуждены были повышать свой уровень использования заемных средств. К концу 1980 года International Harvester нарушил ковенанты по нескольким своим кредитным соглашениям и вел трудные переговоры с кредиторами.
Политические события. В 1970-х годах в мире произошло несколько государственных переворотов в тех странах, с правительствами которых у Massey были заключены соглашения (Иран, Ливия и Пакистан), что привело к необходимости пересмотра многих договоренностей и срыву части контрактов.
Просчеты в продуктовой линейке. В 1960-х годах Massey сфокусировала свои продуктовые и маркетинговые усилия на рынках вне Северной Америки. В результате компания стала отставать от требований американского рынка. Американский рынок стал склоняться в пользу мощных тракторов и комбайнов, которые отсутствовали в продуктовой линейке Massey. В результате этих просчетов компания стала терять дилеров. К 1980 году по сравнению с 1976-м количество дилеров продукции Massey упало на 50 % – с 3600 до 1800.
Потери от курсовых разниц. Massey производила оборудование примерно в тех же регионах и в том же объеме, в котором его продавала. Заводы Massey-Ferguson в Северной Америке и Великобритании экспортировали небольшое количество своих продуктов в остальные страны мира. Производство двигателей, однако, было сосредоточено в Великобритании. В 1980 году благодаря огромным доходам от экспорта нефти, добываемой в Северном море, курс британского фунта стерлингов по отношению к валютам тех стран, в которых вела продажи Massey, стал резко повышаться. Высокая стоимость фунта стерлингов повысила себестоимость двигателей Massey в других валютах, повысив издержки и снизив тем самым конкурентоспособность продукции Massey.
Есть ли свет в конце тоннеля?
Несмотря на кризис на рынке и плачевное финансовое состояние, менеджеры Massey сохраняли оптимизм. В годовом отчете за 1980 финансовый год (финансовый год Massey продолжался с октября по октябрь) менеджмент утверждал, что мероприятия по сокращению издержек делают Massey жизнеспособной компанией. В качестве доказательства эффективности усилий менеджеров отчет показывал общий рост продаж на 1 % в 1980 году даже несмотря на коллапс североамериканского рынка.
Однако чтобы продолжить развитие компании, необходимы были инвестиции. Деньги были нужны на:
• финансирование разработок новых продуктов;
• ремонт и модернизацию существующих заводов;
• перемещение некоторых производственных мощностей из Великобритании с дорогим фунтом в Канаду;
• восстановление позиций на североамериканском рынке;
• защиту рыночных позиций в Западной Европе и остальном мире;
• рост продаж в развивающихся странах;
• вход Perkins на перспективный рынок малых дизельных двигателей.
Компания не могла точно сказать, сколько именно денег понадобится на эти программы, но в целом потребности в капитале оценивались компанией в $500–700 млн на следующие пять лет.
Большим вопросом оставалось будущее Perkins. Perkins был самым ценным активом Massey, но вместе с этим дизельные двигатели были лучшим шансом Massey вернуться к прибыльности. В связи с этим обсуждались варианты организации производства дизельных двигателей на территории Канады и продажа Perkins стороннему покупателю. Однако некоторые эксперты считали, что будущее Perkins во многом основывается на продолжении существования Massey как потребителя более половины продукции Perkins.
Самым насущным вопросом было, естественно, выживание Massey. К середине 1980 года в компании были заблокированы все расходы, кроме жизненно необходимых для продолжения работы бизнеса. Несмотря на это, к сентябрю оставшиеся кредитные линии были практически выбраны, и тучи над компанией стали стремительно сгущаться.
Разбор полетов Massey-Ferguson
Чтобы выработать целевую структуру капитала, исходя из формулы V (A) = V (all-equity) + V (t) – p × V (distress), нам надо оценить:
• потенциальные потери в случае возникновения финансовых проблем – V (distress);
• возможность использования компанией налогового щита – V (t).
Возможность использования налогового щита у компании до наступления периода финансовых проблем в 1977 году имелась – Massey-Ferguson была стабильно прибыльной. Чтобы оценить возможные потери от финансовых проблем, нам надо оценить:
• рискованность индустрии, в которой работает компания;
• рискованность стратегии компании по сравнению с конкурентами.
Начнем с анализа индустрии. При анализе индустрии для выработки целевой структуры капитала компании полезно структурировать этот анализ в виде небольшого вопросника:
• Насколько финансовое состояние компании важно для покупателей и поставщиков?
• Насколько волатильны денежные потоки компании в силу сезонности, цикличности индустрии и т. д.?
• Насколько компании необходимы постоянные капитальные вложения, и как могут сказаться на бизнесе компании их задержки?
• Насколько сильна конкуренция, и насколько сильны финансовые позиции конкурентов? В случае возникновения финансовых проблем у компании могут ли конкуренты агрессивно захватить долю рынка компании?
Давайте рассмотрим индустрию, в которой работает Massey-Ferguson, с точки зрения этих вопросов. Итак, мы имеем производителя сельхозтехники и дизельных двигателей. Это сложный продукт, в котором большое значение имеет качество, надежность и техническое обслуживание. Представляете себе, дорогостоящий комбайн выходит из строя, надо убирать урожай, время очень жаркое, а тут нет запасных частей или нет техника-ремонтника. Не починят вовремя – фермер потеряет урожай. Для фермера поломка и простой техники – это огромные потери, разница между процветанием и банкротством. Поэтому очевидно, что клиенты Massey очень ценят надежность, сохраняют лояльность бренду. В этом случае возможные финансовые проблемы (даже не сами проблемы, а информация о них), могут привести к резкому отказу фермеров от покупки техники проблемной компании, так как они просто не будут уверены в доступности в будущем технического обслуживания и запчастей.
Для поставщиков комплектующих финансовое положение Massey также важно, хотя это зависит от специфики поставщика. Если это поставщик, который работает в основном на Massey, то в случае возникновения финансовых проблем Massey он «войдет в положение», так как будет понимать, что его будущее неразрывно связано с Massey. Если же это поставщик, например, металла, то здесь позиция простая – нет денег, нет металла. Эту ситуацию мы с вами хорошо видели в России в 2009 году, когда металлурги стали требовать предоплаты от отечественных автозаводов, когда у тех возникли финансовые проблемы.
Спрос в индустрии производства сельскохозяйственной техники имеет выраженную цикличность. Спрос может сильно колебаться в зависимости от погодных условий. Нет урожая – нет у фермеров денег на закупку новой или модернизацию старой техники. Кроме того, спрос имеет сильно выраженную сезонность – технику стараются закупать перед сезоном уборки или посева урожая, есть выраженные «мертвые» сезоны продаж. В периоды экономических спадов спрос на дорогую технику также резко падает. Кроме того, как вы помните из предыдущей главы, сезонность резко повышает потребности в финансировании оборотного капитала – компания вынуждена производить технику «на склад», чтобы более равномерно загрузить заводы.
Кроме того, продажа сельхозтехники требует значительных вливаний в финансирование закупок. У фермеров нет денег на то, чтобы купить дорогой трактор или комбайн сразу. Практически 100 % продаж в этом бизнесе идет через различного рода схемы лизинга или кредита на покупку техники, спонсируемого производителем техники, то есть Massey-Ferguson. Это вполне прибыльный бизнес, но он: а) поглощает финансовые ресурсы; и б) подвержен циклическим колебаниям – невозвраты резко растут в периоды кризисов, так как фермеры разоряются.
Далее поговорим о необходимости капитальных вложений. В «продвинутом» машиностроении это очень важный момент. Вам необходимо постоянно обновлять свою продуктовую линейку – во всех сегментах есть серьезная конкуренция. Задержка в выпуске новых продуктов может повлечь за собой потерю рынка, так как ваши продукты устареют.
Конкуренция в индустрии Massey-Ferguson высока. Есть несколько очень крупных конкурентов (Deere & Co, International Harverster), а также масса более мелких конкурентов в отдельных продуктовых нишах. Если мы посмотрим на финансовое положение конкурентов, то увидим, что наиболее предпочтительное оно у Deere & Co:

Имеет ли возможность Deere & Co в случае возникновения проблем у конкурентов быстро инвестировать значительные средства в рекламу, разработку новых продуктов, чтобы «откусить» долю рынка у конкурентов? Безусловно.
Давайте подытожим наш чек-лист:

Вывод: индустрия рискованна. Возможные потери в случае возникновения финансовых проблем велики.
Далее перед определением целевой структуры капитала нам надо понять бизнес-стратегию компании. Финансовая стратегия не должна противоречить продуктовой и маркетинговой. Что собой представляет стратегия Massey-Ferguson? Что отличает ее от конкурентов? В отличие от своих конкурентов Massey-Ferguson сделала ставку на развитие своего присутствия в развивающихся странах, включая Ливию, Иран, Мозамбик и прочую экзотику. Плохая ли это стратегия? Из финансовых результатов компании в начале – середине 1970-х это не очень очевидно. С одной стороны, Massey идет в места, где нет конкурентов, где она – потенциальный лидер рынка. Компания развила у себя внутреннюю компетенцию по переговорам с правительствами таких государств, и достигла в них больших успехов. С другой стороны, несмотря на серьезный рост (с продаж в $1 млрд в 1971 году до $2,7 млрд в 1976-м – в среднем около 25 % в год), рентабельность компании уступает основным конкурентам:

Логически, если твоя стратегия связана с более высоким риском, ты должен стремиться и к более высокой прибыли (твои акционеры будут ожидать более высокой прибыли). Возможно, что Massey стремилась сначала «застолбить» долю рынка развивающихся стран и получить прибыль в более долгосрочной перспективе. Саму по себе такую стратегию можно оправдать, но ожидание финансового результата не должно затягиваться.
Итак, мы видим, что Massey-Ferguson выбрала рискованную стратегию в рискованной индустрии. Потери компании в случае возникновения финансовых проблем могут быть очень существенными. Рискованная бизнес-стратегия должна дополняться консервативной финансовой стратегией. Это общее бизнес-правило, вытекающее из логики теории. При более рискованной бизнес-стратегии возрастают возможные потери компании от финансовых проблем. Когда V (Distress) большое, нам нужно сокращать вероятность (p) наступления финансовых проблем, то есть придерживаться более консервативной структуры капитала.
Кроме того, второй спецификой стратегии глобализации являются валютные риски. Производство двигателей расположено в одной стране. С одной стороны, компания получает экономию масштаба, но, с другой стороны, при глобальном производстве и продажах компания подвержена валютным рискам. Это, в свою очередь, также является фактором, говорящим в пользу консервативной финансовой стратегии.
Что же делала Massey-Ferguson? К сожалению, она к рискованной бизнес-стратегии добавила и рискованную финансовую стратегию. Финансовый риск при этом усилил рискованность бизнес-стратегии. Такая стратегия жизнеспособна и показывает отличный финансовый результат, когда все в бизнесе хорошо (леверидж повышает такие показатели, как EPS, чистая рентабельность). Но когда в бизнесе наступает сбой, рискованность финансовой стратегии усиливает общий кризис компании.
Во-первых, в 1970-х компания бурно росла, но при этом не выпускала акции. Быстрый рост при отсутствии выпуска акций, как вы знаете, означает рост использования заемных средств. Это привело к росту левериджа компании, что, как вы понимаете, в момент наступления кризиса, привело к лавинообразному росту проблем.

Но рост использования финансового рычага был не единственной стратегической проблемой компании. Вопрос в том, каким именно образом строилась структура заемного капитала. Во-первых, рост задолженности главным образом формировался за счет краткосрочной задолженности. Обратите внимание, процент долгосрочной задолженности в структуре капитала остается примерно постоянным – около 20 %. Рост левериджа происходит практически только за счет краткосрочных займов. Что получается? Massey вкладывает деньги в долгосрочные проекты – захват рынка в развивающихся странах, строительство там производственных мощностей. Это проекты, которые должны принести прибыль в долгосрочной перспективе, но в краткосрочной перспективе их прибыльность невелика (вспомните сравнение рентабельности Massey и конкурентов). Окупаемость таких проектов – минимум 5–6 лет. Однако финансируется все это краткосрочной задолженностью (возврат в течение года). Одно из основных правил построения структуры капитала гласит: вы должны стараться сделать так, чтобы длительность ваших обязательств соответствовала длительности ваших проектов. Иначе компания попадает в зависимость от возможности рефинансирования краткосрочных обязательств. Не получилось взять новый кредит взамен старого – компания не может выплатить старый кредит и становится неплатежеспособной. Проекты ведь длительные – деньги от них в достаточном количестве еще не поступили.
Финансирование проектов с длительными сроками окупаемости за счет краткосрочных кредитов – это очень опасная ошибка, которую, кстати, допустили очень многие российские компании в 2003–2008 годах.

Но и это еще не все! Посмотрите на структуру обязательств Massey – огромное количество кредиторов, в разных странах, с разными условиями займов. Договориться со всеми при необходимости реструктуризации – это огромная головная боль, если вообще выполнимая задача. А это увеличивает размер потерь при возникновении финансовых проблем. Запомните, если вы выбираете рискованную финансовую стратегию, старайтесь минимизировать количество людей, с которыми вам придется договариваться о реструктуризации.
Что произошло дальше? Как вы понимаете, с наступлением кризиса все плохое, что могло произойти, произошло. Фермеры банкротятся, что приводит к росту просроченной дебиторской задолженности и проблем финансового подразделения Massey-Ferguson. Процентные ставки растут, что убивает спрос и приводит к росту расходов по задолженности (см. рисунок – процентные ставки по краткосрочным государственным облигациям США).
В такой ситуации платить дальше по кредитам компании стало невозможно. Новые акции продать также невозможно – вспомните проблему «нависания задолженности» – инвесторы не хотят платить за кредиторов. Слиться с одним из конкурентов или продаться ему тоже невозможно. Проблема та же – конкурент не захочет платить за кредиторов. Без реструктуризации обязательств компания никому не нужна.

Альтернативы было две – ликвидация или реструктуризация обязательств. Обязательства Massey в итоге были реструктурированы при участии правительства Канады, но компанию ждала трудная судьба. Ей пришлось продать Perkins (ушел к Caterpillar). Тракторный бизнес был продан AGCO. Компанию ждало массивное сокращение – доля рынка упала с 20 до 3 %. Иными словами, компанию из-за допущенных финансовых ошибок ждала постепенная ликвидация.
А что же конкуренты? Мы можем увидеть их действия. Deere & Co использовала ситуацию по полной. Возросли капитальные вложения, компания с 1976 года стала отвоевывать долю рынка у конкурентов. Deere использовала свою финансовую гибкость как конкурентное оружие, резко увеличив свои вложения при признаках финансовых проблем у конкурентов. Это еще одно преимущество консервативной финансовой стратегии. Несмотря на то что и так доля кредитного финансирования у Deere в 1980 году была ниже, чем у конкурентов, в 1981 году Deere провела выпуск акций, чтобы еще больше увеличить свою финансовую гибкость. Финансовая стратегия Deere помогла компании стать агрессивной в то время, когда конкуренты ничего не могли ей противопоставить (кстати, в настоящее время John Deere & Co является лидером на рынке сельскохозяйственного оборудования).
Вы можете удивиться – как Massey-Ferguson могла допустить столько достаточно очевидных с финансовой точки зрения ошибок, которые и привели ее к краху? Но в России в период бурного развития в 2003–2008 гг. больше половины крупных компаний допускали абсолютно те же ошибки! Они выбирали стратегию агрессивного развития в рискованных отраслях, дополняли ее агрессивной финансовой стратегией, финансировали долгосрочные проекты развития краткосрочными кредитами, набирали кредиты там, где давали деньги (то есть понемногу в разных банках) – просто копия политики Massey. Прошло 30 лет после истории с Massey-Ferguson, но ситуация не изменилась. Безусловно, не стоит удивляться тому, что многие из этих компаний с наступлением кризиса испытали серьезнейшие проблемы. Да, возможно, кто-то из финансовых директоров этих компаний не знал финансовой теории. Кого-то просто не слушали, считая, что задача финансового директора – любыми путями добыть деньги, а не ныть о рисках. Результат остается результатом. Будем надеяться, что российские компании извлекут уроки из кризиса, а вы, прочитав эту книгу, будучи финансовыми директорами, будете уделять достаточное внимание правильной структуре капитала.
Истории Massey-Ferguson есть и другое объяснение. Давайте далее рассмотрим альтернативный взгляд на структуру капитала.
Структура капитала и теория последовательного выбора
Модильяни и Миллер заложили основы теории структуры капитала. Их взгляд на этот вопрос является основой, но не догмой. В мире получила распространение и другая теория, которую называют теорией последовательного выбора. Эта теория говорит о том, что:
• менеджеры финансируют инвестиционные проекты за счет внутренних источников (денежного потока) компании;
• когда не хватает операционного денежного потока, они используют заемный капитал;
• только когда не хватает и заемного капитала, они прибегают к выпуску акций.
В самом деле, если мы посмотрим на источники капитала для финансирования капиталовложений современных компаний мы увидим эту картину (см. рисунок).

Выпуск собственного капитала (акций) составляет наименьшую долю в структуре источников капитала современных компаний.
Есть два объяснения этой теории. Первое объяснение простое: менеджеры выбирают финансирование по принципу наименьших затрат усилий. Действительно, менеджерам легче всего «поднять» внутренние денежные потоки – они у компании уже есть, и менеджеры могут ими распоряжаться. Далее по степени сложности «поднятия» идут заемные средства. Да, кредиторам нужна информация о работе компании, но в гораздо меньшем объеме, чем акционерам, ведь кредиторы меньше рискуют – их кредиты обычно обеспечены залогами и преимущественным правом на активы компании в случае объявления ее неплатежеспособной. Инвесторы (акционеры) рискуют больше всего, поэтому и информации от менеджеров требуют больше, и влияние на работу менеджеров могут оказывать большее, чем кредиторы.

Второе объяснение более научное, но познавательное. Оно говорит о том, что всему виной асимметричность информации. Теорема M&M строится на том, что у всех участников рынка, включая и акционеров, и менеджеров, одинаковое представление о стоимости активов компании. Да, обычно рынки достаточно эффективно «переваривают» публичную информацию о компании, то есть большинство событий с компанией корректно отражается на стоимости акций компании (еще говорят «рынки эффективны»). Но на практике менеджеры всегда знают о бизнесе компании больше, чем любые внешние инвесторы (кредиторы и акционеры). Зачем им продавать акции, когда они стоят слишком дешево? Соответственно менеджеры стремятся выпускать акции в тот момент, когда акции переоценены. Понимая это, инвесторы дают за акции компании меньше денег, когда компании выпускают акции. Таким образом, в момент объявления компании о намерении выпустить акции курс ее акций обычно падает. Это действительно так (см. рисунок).
Статистический анализ показывает, что в течение нескольких дней после объявления о готовящемся выпуске акций, текущий курс акций компании падает в среднем на 3 %. Инвесторы воспринимают выпуск акций как плохую новость. Понимая это, менеджеры не любят выпускать акции. Иногда они даже могут пожертвовать хорошими инвестиционными проектами, лишь бы не выпускать акции.
Давайте рассмотрим небольшой пример, чтобы проиллюстрировать эту концепцию. Итак, у нас есть компания, активы которой через год, по оценкам инвесторов, могут стоить 50 или 150 руб. с равной вероятностью (по 50 %):

У компании есть новый инвестиционный проект. Инвестиции по проекту составляют 18 руб., через год возврат 22 руб., ставка дисконтирования для проекта 10 %. NPV проекта посчитать несложно:
NPV = –18 + 22 / 1,1 = 2 руб.
Надо ли реализовывать проект? Безусловно. Если у компании есть деньги, этот проект менеджеры реализуют, и акционеры увеличат стоимость своих акций на 2 руб. Но предположим, что денег на проект у компании нет. Чтобы реализовать его, компании нужно выпустить акций на 18 руб. Предположим, что асимметричной информации нет, менеджеры знают столько же, сколько и акционеры. Компания в текущий момент стоит 100 руб. (ожидаемое значение ее денежных потоков 50 % × 50 + 50 % × 150 = 100 – для простоты предположим, что ставка дисконтирования текущих денежных потоков в данном случае равна 0, а для проекта она равна 10 %). После объявления о проекте и выпуска новых акций компания будет стоить 120 руб.:

Чтобы реализовать проект, компании надо будет выпустить акций на 18 руб., то есть новые акционеры будут владеть 15 % компании (18 от 120 руб.). Тогда доля существующих акционеров станет стоить 102 руб. Иными словами, в отсутствие асимметричности информации (когда информация и оценка компании одинакова у всех) существующим акционерам и менеджерам безразлично, как финансировать компанию – существующие акционеры при любом варианте финансирования получат от проекта его NPV, то есть 2 руб.
Но предположим, что менеджеры знают, что компания реально стоит 150 руб. (с вероятностью 100 %). Тогда через год, по информации менеджеров, компания будет стоить 150 руб. В этом случае при продаже 15 % акций за 18 руб. (внешние инвесторы ведь по-прежнему считают, что компания без проекта стоит 100 руб.) существующие акционеры получат 85 % × (150 + 20) = 144,5 руб., то они реально потеряют 4,5 руб. по сравнению со стоимостью компании без проекта. Почему? Очень просто: реально 15 % акций стоят не 18 руб., а 25,5 руб. Акции рынком недооценены, и для существующих акционеров выпуск новых акций будет невыгоден, так как новые акционеры заплатят за акции меньше, чем они реально стоят. Вывод – менеджеры (и существующие акционеры) будут категорически против выпуска акций.
Финансирование же за счет заемных средств как минимум даст акционерам 8 руб. (ведь ставка дисконтирования выше, чем стоимость заемного капитала). Вывод – «хорошие» компании не будут выпускать акции. Продолжим эту логику. В этом случае, если компания объявит о выпуске акций, инвесторы подумают, что наверняка компания стоит 50 руб., а не 150! В этом случае после объявления о выпуске акций рыночная цена компании должна опуститься до 50 руб. (со 100 руб.), точнее до 50 плюс стоимость денежных потоков проекта, то есть до 50 + 20 = 70 руб.! Зная это, станут ли менеджеры выпускать акции? Никогда!
О чем это нам говорит? Теория последовательного выбора действует в условиях большой асимметричности информации. Чем больше асимметричность информации, то есть чем больше знают менеджеры о компании по сравнению с внешними инвесторами, тем больше менеджеры в своих решениях подвержены использованию теории последовательного выбора. И в этом они совершенно рациональны! В этом случае мы можем сказать, что структура капитала является не продуктом некой мысли, а продуктом множества решений менеджеров относительно финансирования компании. Решения они принимают каждый раз, принимая во внимание доступность внутренних денежных потоков, кредитного финансирования и степени асимметричности информации о компании среди инвесторов. Структура получается последовательно сама собой, следуя за решениями менеджеров.
* * *
Давайте попробуем рассмотреть эту теорию на практике на примере химического гиганта Du Pont.

При прочтении кейса постарайтесь самостоятельно ответить на следующие вопросы.
? Каким образом формировалась структура капитала Du Pont до 1981 года? Почему она отходила от «целевой» структуры с 0 % заемных средств?
? Проанализируйте потребности компании в капитале на следующие несколько лет. Каков будет, по вашему мнению, кредитный рейтинг Du Pont при доле заемных средств в капитале в 40 и 25 %?
? Как изменится P / E при двух основных сценариях структуры капитала?
? Какова должна быть, по вашему мнению, оптимальная структура капитала Du Pont в 1983 году и далее? Почему?
Финансовая история и структура капитала Du Pont
В начале 1983 года менеджеры E. I. Du Pont de Nemours and Company встали перед необходимостью переоценки структуры капитала компании. Трудности 1970-х и «мегаслияние» с Conoco заставили компанию отказаться от своей более чем двухвековой стратегии финансирования только за счет собственного капитала. После завершения сделки по слиянию с Conoco уровень долга в структуре капитала достиг 42 % – максимально высокий показатель в истории компании. В результате компания потеряла самый высокий возможный кредитный рейтинг ААА – он был понижен до АА. За последние 20 лет бизнес Du Pont значительно изменился. Менеджерам предстояло решить, стоило ли компании в новых условиях вернуться к традиционной финансовой политике или же целевая структура капитала должна быть иной.
История Du Pont
E. I. Du Pont de Nemours and Company была основана в 1802 году и изначально занималась производством пороха. К 1900 году компания значительно расширила свою область деятельности, активно вкладывая средства в исследования и разработки. Компания всегда была лидером в области производства промышленных химикатов и искусственных волокон для текстильной промышленности. Она была изобретателем таких материалов, как нейлон и кевлар. К 1980 году Du Pont занимала 15-е место в списке 500 крупнейших компаний США. После слияния с Conoco Inc. в 1981 году компания стала седьмой.
Структура капитала 1965–1982 годов
Исторически Du Pont славилась своей крайне консервативной финансовой политикой. Низкие долги были отчасти следствием успешной продуктовой политики компании. Высокие прибыли, которые компания получала от продажи своих продуктов, позволяли ей финансировать свой рост за счет внутренних ресурсов. Между 1965 и 1970 годами фактически у компании был нулевой чистый долг – ее средства на счетах превышали уровень задолженности. Консервативная финансовая политика вкупе с высокой прибыльностью и технологическим лидерством сделали компанию членом «клуба трех А» – компанией с наивысшим кредитным рейтингом (ААА). Низкий уровень задолженности давал Du Pont огромную финансовую гибкость и изолировал ее от влияния возможных финансовых кризисов (см. финансовую отчетность компании в таблице).

Однако в конце 1960-х годов ситуация стала меняться. Рост объемов производства в ключевых секторах работы Du Pont – производстве пластиков и искусственных волокон для текстильной промышленности – стал опережать спрос. Это привело к значительному падению цен на ключевые продукты компании и снижению рентабельности Du Pont. Чистая прибыль между 1965 и 1970 годами упала на 19 % несмотря на рост объемов продаж.
Экономика продолжила давление на компанию в 1970-х. В ответ на снижение рентабельности Du Pont начала программу модернизации производственных мощностей, которая должна была снизить издержки производства и сделать продукты компании конкурентоспособными. Однако инфляция привела к тому, что стоимость программы модернизации к 1974 году на 50 % превысила запланированную. Кроме того, в 1973 году в мире случился первый нефтяной кризис (резкое повышение цен на нефть после исламской революции в Иране). Поскольку нефть была основным сырьем для Du Pont, издержки компании и объемы оборотного капитала, необходимого для поддержания запасов сырья, также резко возросли. В 1974 году выручка компании выросла на 16 %, а издержки – на 30 %. В результате чистая прибыль по сравнению с предыдущим годом упала на 31 %. В 1975 году в экономике США началась рецессия, которая негативно сказалась на бизнесе производства искусственных волокон. За год объемы производства искусственных волокон Du Pont упали на 50 %. В 1975 году чистая прибыль компании снизилась еще на 33 %. Для обеспечения работы компании необходимыми финансовыми ресурсами Du Pont в 1974 и 1975 годах резко снизила дивиденды.
Поскольку снижения дивидендов было недостаточно, чтобы полностью обеспечить потребности в финансировании, Du Pont обратилась к использованию заемных ресурсов. Если в 1972 году у компании вообще не было краткосрочной задолженности, в 1975 году ее объем составил уже $540 млн. Кроме того, в 1974 году компания выпустила 30-летние облигации на $350 млн и 7-летние облигации на $150 млн. В результате процент заемных средств в структуре капитала Du Pont вырос с 7 % в 1972 году до 27 % в 1975-м. Процентное покрытие (EBIT / процентные расходы) упало с 38 в 1972-м до 4,6 в 1975 году. Несмотря на это, в 1975 году рейтинговые агентства по-прежнему сохраняли кредитный рейтинг Du Pont на уровне ААА.
За следующие несколько лет Du Pont значительно сократила использование финансового рычага. Между 1976 и 1979 годами финансовое давление на компанию ослабло. Капитальные вложения уменьшились, так как компания завершила свою программу модернизации. Цены на нефть снизились, и экономика вышла из рецессии, благодаря чему прибыль Du Pont увеличилась за этот период в 3 раза. Компания использовала освобождающиеся средства для выплаты задолженности, и в конце 1979 года заемный капитал составлял всего 20 % от общего капитала компании. Однако в этот момент по-прежнему не было ясности, собирается ли компания возвратиться к своей политике нулевого использования заемного капитала. В 1978 году Ричард Хекерт, старший вице-президент Du Pont, отметил: «В ближайшее время мы ожидаем дальнейшее снижение кредитной нагрузки в структуре нашего баланса. Это оставляет нам большую финансовую гибкость и возможность быстрого наращивания доступных финансовых ресурсов в случае необходимости».
Но летом 1981 года произошло неожиданное отклонение от этой концепции. В июле 1981 года компания вступила в борьбу за поглощение нефтяного гиганта Conoco. После короткой, но яростной борьбы в августе 1981 года Du Pont поглотила Conoco. Общая сумма сделки составила почти $8 млрд (Du Pont предложила за Conoco на 77 % выше курса акций Conoco до начала войны за компанию). На тот момент это было крупнейшее объединение компаний в корпоративной истории США, которое практически удвоило размер Du Pont. Купив Conoco, Du Pont старалась гарантированно обеспечить себя сырьем для производства своей продукции. Но рынок негативно отреагировал на новости о поглощении, и курс акций Du Pont существенно снизился. Основной причиной опасений инвесторов стала высокая цена, а также неоднозначность стратегических мотивов сделки.
Чтобы профинансировать покупку Conoco, Du Pont выпустила новые акции на $3,9 млрд, а также облигации с плавающей процентной ставкой на $3,85 млрд. Кроме того, компания приняла на себя $1,9 млрд долга Conoco. Сделка привела к тому, что доля заемного капитала в структуре объединенной компании к концу 1981 года превысила 42 %. Кредитные агентства впервые в истории Du Pont снизили кредитный рейтинг компании с ААА до АА.
Первый год после слияния стал для Du Pont трудным периодом. Финансовые результаты Conoco значительно ухудшились из-за начавшегося в 1982 году снижения цен на нефть. Новая экономическая рецессия снизила доходность химического бизнеса Du Pont. Доход на акцию (EPS) в 1982 году упал на 40 % по сравнению с 1979 годом.
Одновременно с разработкой бизнес-стратегии объединенной компании, менеджменту Du Pont надо было также решать проблемы финансовых рисков. Чтобы снизить затраты на уплату процентов (процентные ставки в тот момент постоянно росли), компания заменила свои облигации с плавающей процентной ставкой на облигации с фиксированной ставкой. Однако планы уменьшения долга за счет продажи части активов Conoco пришлось отложить, так как цены на угольные активы Conoco, от которых собиралась избавиться Du Pont, резко упали. Тем не менее к концу 1982 года Du Pont снизила объем долга до 36 % капитала и смогла сохранить свой кредитный рейтинг на уровне АА.
Увеличение кредитной нагрузки из-за покупки Conoco означало, что Du Pont уже во второй раз в своей истории отошла от консервативной финансовой политики. В связи с этим менеджерам компании надо было решить, какую структуру капитала Du Pont будет использовать в будущем.
Новая структура капитала
Финансовая политика Du Pont всегда основывалась на необходимости поддержания финансовой гибкости и возможности в случае необходимости мобилизовать на борьбу с трудностями большое количество капитала. В этом случае финансовые ограничения никогда не были бы фактором в исполнении бизнес-стратегии компании. Однако конкуренты Du Pont серьезно различались в своем использовании заемного капитала (см. таблицу).

Почему бы Du Pont не последовать примеру Dow Chemical и Celanese и не использовать преимущества заемного капитала, даже если это приведет к дальнейшему падению кредитного рейтинга? Ведь хотя результаты компании в последние несколько лет были более волатильными, чем, например, у телекоммуникационного гиганта AT&T, они были менее волатильными, чем у большинства конкурентов Du Pont (см. рисунок).

При оценке целевой структуры капитала для менеджеров Du Pont очень важна была оценка рискованности бизнеса компании. Чем больше риск, тем большие ограничения может наложить на бизнес компании рискованная финансовая политика в плохие времена. Последние 20 лет показали возрастающую волатильность денежных потоков Du Pont. Конкурентная позиция и прибыльность компании во многих продуктовых нишах ухудшились. Для многих продуктов компании терял значение бренд, и конкуренция на рынке по этим продуктам обычно шла на основе цены. Учитывая, что в структуре производственных издержек многих продуктов большую часть составляли постоянные издержки, необходимость увеличения объемов производства для их покрытия загоняла цены производителей вниз. В результате рентабельность производства некоторых продуктов приближалась к нулю. Conoco работала в области добычи энергоресурсов – угля и нефти, – цены на которые в последнее время также сильно «скакали». К тому же у менеджеров Du Pont не было существенного опыта управления нефтяным бизнесом. Все это говорило в пользу более консервативной финансовой стратегии и структуры капитала.
Однако некоторые факторы свидетельствовали в пользу более агрессивной финансовой политики. Du Pont все еще была крупнейшей в США химической компанией и имела большие производственные мощности в той индустрии, где важен эффект масштаба. Компания славилась своими технологическими разработками и великолепной научной базой. Du Pont активно инвестировала средства в модернизацию производства, чтобы поддерживать свои издержки производства на конкурентоспособном уровне. К тому же компания была очень диверсифицирована в своем продуктовом ряду – спад в одной области компенсировался подъемом в другой.
Даже учитывая окончание рецессии, рост выручки и восстановление прибыльности, Du Pont в 1983–1987 годах необходимо было внешнее финансирование (см. таблицу).

Основной причиной необходимости во внешнем финансировании была потребность в значительных капитальных вложениях. Капитальные вложения считались критичными для сохранения конкурентоспособности компании, поэтому отложить или отменить их было практически невозможно. Во времена кризисов капитальные вложения обычно даже увеличивались, поскольку за счет этого компания решала свои проблемы с конкурентоспособностью производства, а также захвата рынков у конкурентов.
Из-за этого менеджеров компании беспокоила стоимость и доступность внешнего финансирования. Компании с низкими кредитными рейтингами и высокой долей задолженности в структуре капитала в некоторые годы испытывали трудности с «поднятием» нужных объемов финансирования. Однако таких проблем практически не было у компаний с рейтингом А и выше. При этом стоимость заемных средств для компаний с рейтингом А по сравнению с ААА была существенно выше, и этот спред в годы высоких процентных ставок только увеличивался (см. таблицу). Допустить недоступность денег в тот момент, когда они нужны, компания не могла.

Альтернативные варианты структуры капитала
Первой альтернативой для Du Pont было восстановление своего кредитного рейтинга на уровне ААА. Учитывая необходимость значительных капитальных вложений, полный отказ от заемного капитала был невозможен. Цель в 25 % доли заемного капитала, по мнению менеджеров, была бы достаточной для обеспечения необходимой высокой степени финансовой гибкости. Однако достичь такой структуры капитала было нелегко (см. таблицу).

Снижение доли долга с 36 % в 1982 году до 25 % в 1986-м потребовало бы выпуска новых акций в значительном объеме. В конце 1982 года курс акций компании все еще не оправился от последствий экономической рецессии, так что стоимость и сама возможность размещения такого количества акций были под большим вопросом.
В то время как консервативная структура капитала была давней традицией компании, целесообразность ее сохранения в 1980-е была неочевидной. Издержки такой структуры четко видны из основных показателей рентабельности и дохода на акцию при сравнении двух вариантов структуры капитала. Если бы компания приняла на вооружение более агрессивную структуру капитала с уровнем задолженности в 40 %, многие ее финансовые показатели улучшились бы. При такой политике до 1985 года компании не понадобилось бы выпускать новые акции. Новые выпуски в 1986 и 1987 годах были бы значительно меньшего объема, чем для сценария с долгом в 25 % капитала. Кроме того, к тому моменту ожидалось восстановление фондового рынка, что привело бы к тому, что Du Pont смогла бы получить за свои акции более высокую цену.
Однако больший объем заемных средств означал бы больший риск. Финансовые показатели компании в случае наступления рецессии колебались бы значительно сильнее при более агрессивной финансовой политике. Также при более агрессивном 40 %-ном сценарии оставались опасения относительно возможности привлечения необходимого дополнительного капитала, отсутствие которого наложило бы серьезные ограничения на бизнес-стратегию компании.
Решение, которое надо принять, должно было определить судьбу компании на ближайшие годы, если не десятилетия.
Разбор полетов Du Pont
Итак, перед нами Du Pont de Nemours and Co, или просто «Дю Понт» – одна из самых значимых компаний ХХ века, изобретатель нейлона (Neilon®), кевлара (Kevlar®), лайкры (Lycra®) и множества других вещей, которые в наше время из имен брендов стали общеупотребимыми названиями. Это компания, которая так и представляется: Du Pont – the miracles of science («Дю Понт» – чудеса науки). Но тем не менее даже Du Pont нужна финансовая стратегия, которая позволит компании процветать и не разрушит ту ценность, которую создают ученые, производственники и маркетологи Du Pont.
В течение долгого времени компания придерживалась стратегии «никаких займов». Почему это стало возможно? Давайте посмотрим. Du Pont – прибыльная компания с небольшим уровнем роста. Ее рост в 1960-х и начале 1970-х годов был близок к «стабильному» уровню (см. таблицу).

Компания на протяжении почти 20 лет была прибыльной несмотря ни на какие кризисы. В этом случае внутренних ресурсов Du Pont вполне хватало для финансирования всех ее проектов. Целевая структура капитала соблюдалась «сама собой», так как денег вполне хватало на все.
На самом деле некоторые компании используют низкий долг как стратегическое оружие. Логика при этом примерно такая: если ты придешь на мой рынок, я могу начать с тобой ценовую войну – у меня глубокие карманы, я могу долго терпеть убытки, а ты готов на такие убытки? Стратегически это вполне серьезная угроза. Кто захочет войти на рынок Du Pont и конкурировать с компанией, которая может терпеть убытки в миллиарды долларов?
Наступают 1970-е годы – нефтяной шок, рецессия. Все это, безусловно, сказывается на Du Pont. В период рецессии становится все сильнее ценовая конкуренция на продукты химической промышленности. Покупателей больше заботит не бренд, а цена продукта. Что делать Du Pont? Ответ простой – снижать себестоимость. Это требует модернизации оборудования, то есть капитальных вложений. В начале 1970-х капиталовложения требуются большие, но внутренних денег на это уже не хватает. Что делать? Можно выпускать новые акции, можно занимать, тем более что возможности для этого есть. И снова мы видим, что менеджеры идут по списку «теории последовательного выбора» и обращаются за средствами к кредиторам. Леверидж компании растет. Растет он не только поэтому. Кризис конкурентов для Du Pont – возможность для роста. Рост компании не прекращается во время рецессии – между 1973 и 1975 годами среднегодовой рост продаж составил 19 %, в то время как уровень стабильного роста, то есть ROE × (1 – d), составил всего 5 %. Этот фактор также способствовал росту использования компанией финансового рычага.
Тем не менее компания старалась вернуться к своей традиционной политике минимальных займов и немного уменьшила леверидж к 1980 году (с 27 % в 1975 году до 20 % в 1979-м). Но поглощение Conoco снова изменило картину. В 1982 году доля заемных средств в капитале подскочила до 42 %. Такие большие отклонения от целевой политики «нулевого» долга вызывают закономерный вопрос: а актуальна ли еще такая финансовая политика? Времена меняются, и настало время снова сформировать ответ на вопрос «А какова должна быть наша структура капитала?».
Итак, мы видим, что структура капитала Du Pont, даже несмотря на наличие в 1960−1970-х годах формальной финансовой политики, сильно отходила от нее. Она формировалась скорее как последовательность решений менеджеров, что подтверждает теорию «последовательного выбора».
Но означает ли это, что нам вообще не нужна целевая структура капитала? Что мы видим из действий менеджеров Du Pont? Мы видим, что, хотя действительно в краткосрочной перспективе действия менеджеров и определяются последовательным выбором, целевая структура капитала по-прежнему заботит менеджеров. Почему? Ответ простой – теория последовательного выбора не означает, что неправа классическая теория, основанная на теореме Модильяни – Миллера. Эти две теории вполне могут сосуществовать вместе. Их так и надо использовать. Целевая структура капитала показывает некий ориентир, точку, в которой мы можем максимизировать использование налогового щита, при условии минимизации ожидаемых потерь от финансовых проблем. Последовательный выбор позволяет нам принимать текущие решения по привлечению финансирования в компанию.
Структура капитала компании всегда будет колебаться по отношению к целевой в ту или иную сторону. Это нормально. Важно, чтобы она не отклонялась от целевой слишком сильно. В этом случае, если последовательный выбор дает нам слишком сильное отклонение в сторону рискованности, надо руководствоваться уже «целевой» структурой и отказываться от проекта в случае невозможности привлечения акционерного капитала.
Давайте посмотрим ситуацию Du Pont в 1983 году. Компания знает, что возврат к «нулевой» политике невозможен. Потребности в капитале и финансовые прогнозы показывают, что внешний капитал компании понадобится. Насколько смело можно подойти к кредитованию Du Pont? Давайте попробуем ответить на этот вопрос с использованием нашего вопросника.
• Насколько финансовое состояние компании важно для покупателей и поставщиков?
• Насколько волатильны денежные потоки компании в силу сезонности, цикличности индустрии и т. д.?
• Насколько компании необходимы постоянные капитальные вложения и как может сказаться на бизнесе компании их задержки?
• Насколько сильна конкуренция, и насколько сильны финансовые позиции конкурентов? В случае возникновения финансовых проблем у компании могут ли конкуренты агрессивно захватить долю рынка компании?
Касательно важности финансового состояния я бы оценил его как низкое. По многим брендованным продуктам Du Pont либо является монополистом, поэтому покупатели в любом случае будут покупать такие продукты – больше взять негде. По продуктам, где есть конкуренция, бренд уже не важен. Они все равно обычно покупают один продукт не только у Du Pont, но и у других производителей, так что проблемы Du Pont их волновать не будут. Прекратит Du Pont производство – будут покупать у других.
С поставщиками ситуация несколько иная. В химической промышленности обычно используются базовые продукты, такие как нефть и простые химические соединения. Одни и те же химические соединения используются для производства многих химических продуктов в разных отраслях. В результате при финансовых проблемах Du Pont поставщики, например, нефти однозначно будут требовать предоплаты – они могут продать нефть не Du Pont, а независимым НПЗ. Хотя Du Pont и является для них крупным клиентом, выжить без него они смогут.
Волатильность денежных потоков компании достаточно высокая. Химическая промышленность, как следует из данных кейса, подвержена циклическим колебаниям. Спрос серьезно падает в периоды экономических рецессий, что и показали 1970-е годы.
Капиталовложения для компании абсолютно критичны. Мы видим, что в периоды кризисов важность капиталовложений в химической промышленности сильно возрастает. Надо решать проблемы с себестоимостью, которая очень важна в условиях жесткой ценовой конкуренции производителей.
Конкуренты Du Pont – это масса компаний, как больших, так и не очень. Крупнейшие конкуренты – Monsanto и Dow Chemical. Все они имеют леверидж выше, чем у Du Pont, однако их леверидж не является чрезмерным – в случае необходимости они смогут «поднять» дополнительные финансовые ресурсы для капиталовложений.
Давайте подведем итоги:

Ситуация призывает к, скажем так, сбалансированной структуре капитала, не слишком консервативной, но и не слишком агрессивной. Вопрос в цифрах. Давайте попробуем рассмотреть альтернативы компании, чтобы понять, какая из них лучше. Наш выбор будет находиться в диапазоне между долей заемного капитала в общей структуре капитала в 25 и 40 %.
Сначала нам надо понять, а какова цена вопроса? С одной стороны, чем выше использование заемного капитала, тем выше показатели прибыльности, такие как EPS. Но, с другой стороны, более высокий EPS будет и более рискованным. Важный вывод из теоремы M&M состоит в том, что финансовые манипуляции сами по себе не создают ценности. Польза от увеличения левериджа будет заключаться в использовании дополнительного «налогового щита» долга.
Давайте попробуем оценить этот налоговый щит. Здесь нам не нужна большая точность, нам нужно понять порядок цифр, то есть «цену вопроса». В 1982 году ROE компании составил 10,3 %, чистая прибыль – $894 млн, значит собственный капитал – $8680 млн. При уровне задолженности в 25 % от общего капитала долг составит $8680 × 25 % / 75 % = $2893 млн, при уровне в 40 % долг составит $8680 × 40 % / 60 % = $5786 млн. Разница составит $5786 – $2893 = $2893 млн. Если такой уровень долга остается постоянным и ставка налога на прибыль будет 40 %, то налоговый щит этой суммы с использованием формулы перпетуитета будет V (t) = t × rd × D / rd = t × D = 40 % × $2893 = $1157 млн, то есть больше $1 млрд! И эта сумма занижена. Реальный уровень долга со временем будет расти вместе с продажами, так что ценность налогового щита будет выше этой цифры. Что ж, есть над чем задуматься. Это дополнительный $1 млрд, который Du Pont может принести акционерам. Весь вопрос в том, не будет ли в этом случае риск и потери от финансовых проблем, то есть p × V (distress), настолько высоким, чтобы ликвидировать преимущества налогового щита. Чтобы выбрать один из двух вариантов финансовой политики, давайте попробуем сравнить имеющиеся альтернативы структуры капитала.
Сравнивать их мы будем по следующим основным компонентам:
• финансовому результату;
• закрытию потребностей Du Pont в финансировании;
• ограничению доступности нового долгового финансирования в случае необходимости дополнительных капиталовложений;
• риску (вероятности) возникновения финансовых проблем.
Анализ показывает, что вариант с 25 % не полностью закрывает потребности компании в финансах. Прогноз потребностей в капитале показывает, что в этом случае компания должна будет закрывать дополнительные потребности за счет выпуска новых акций. Что это означает для менеджеров компании? Согласно теории последовательного выбора это означает переход к «самому проблемному» источнику финансирования – собственному капиталу. Менеджеры постараются избежать этого, насколько возможно. Вариант с 40 % также приводит к необходимости выпуска новых акций, но через несколько лет. Очевидно, что для менеджеров с этой точки зрения вариант с 40 % предпочтителен.
Здесь есть один момент, который необходимо упомянуть. «Невыгодность» выпуска акций мы объясняли асимметрией информации между менеджерами и инвесторами. Уровень этой асимметрии меняется в зависимости от ситуации в экономике и на фондовом рынке. В периоды подъема инвесторы более оптимистичны и в значительно меньшей степени «наказывают» компании за выпуск акций. В периоды кризисов выпуск акций обычно воспринимается инвесторами как очень плохие новости по причинам, описанным в теории последовательного выбора. Если мы посмотрим историю фондового рынка, то увидим, что большинство выпусков акций сконцентрировано в промежутках, когда фондовый рынок растет (см. рисунок).

В этом случае в начале 1983 года мы видим, что фондовый рынок все еще находится в рецессии. Асимметричность информации и оценка рисков инвесторами в этом случае очень высоки, что еще делает необходимость выпуска новых акций сейчас еще более непривлекательной для менеджеров.
Что касается возможных ограничений доступности финансирования, что это означает? Это означает, что в периоды кризиса компания не сможет выпустить дополнительные долговые обязательства. Если мы проанализируем информацию по выпускам облигаций компаниями с различными кредитными рейтингами (таблица в кейсе), то увидим, что у компаний с кредитными рейтингами А и выше нет проблем с привлечением нового финансирования даже в годы депрессий. Компании с рейтингом ВВВ и ниже имеют проблемы с привлечением дополнительного заемного капитала в случае кризиса на рынке. Таким образом, ответ на вопрос о доступности капитала упирается в кредитный рейтинг, который будет иметь компания при различных вариантах финансовой политики. Давайте попробуем смоделировать этот рейтинг для Du Pont при различных вариантах финансовой политики.
Кредитный рейтинг зависит от вашей способности оплачивать свои обязательства, то есть в основном от таких показателей, как процентное покрытие и доля заемного капитала в структуре капитала. Прогнозные показатели для Du Pont выглядят следующим образом (по информации из кейса):

Как вы видите, при сценарии в 25 % кредитный рейтинг Du Pont будет находиться на уровне между А и АА. Скорее всего, он останется на уровне АА, так как Du Pont – крупнейшая химическая компания, мировой лидер. Таким компаниям кредитные рейтинги всегда немного добавляют – надбавка за размер. При 40 %, кредитной загрузке рейтинг будет находиться между А и ВВВ, ближе к ВВВ. Однако, опять же, размер имеет значение, поэтому, скорее всего, компания получит кредитный рейтинг А. Кроме того, давайте посмотрим на конкурентов, таких как Dow Chemical. Dow имеет кредитный рейтинг А при доле заемного капитала выше целевой для Du Pont. Иными словами, большой опасности недоступности финансирования Du Pont подвержен не будет. Компании с рейтингом А не имеют проблем с привлечением финансирования во времена финансовых кризисов.
Подведем итоги:

Наиболее предпочтительным выглядит сценарий с долгом в 40 %. Вкупе с нежелательностью выпуска акций в текущих условиях решение становится очевидным – новая целевая структура капитала Du Pont будет включать в себя 60 % собственного капитала и 40 % заемного. Такое решение и было принято в реальности. Du Pont никогда больше не вернулась к рейтингу ААА.
В самом деле, многие компании в 1980−1990-е годы пересмотрели свое отношение к заемному капиталу. Если в 1980 году рейтинг ААА имело несколько десятков компаний, то сейчас их можно пересчитать по пальцам – осталось всего шесть. Возможность использования налогового щита, чтобы принести деньги акционерам, плюс влияние теории последовательного выбора постепенно снижают число обладателей заветных трех букв. Вот счастливые обладатели кредитного рейтинга ААА на июль 2009 года:
• Automatic Data Processing;
• Berkshire Hathaway;
• Exxon Mobil;
• Johnson & Johnson;
• Microsoft;
• Pfizer.
Давайте подытожим информацию о двух теориях, которую мы узнали в этой главе.
Скрестить ежа с ужом
Во-первых, теорию целевой структуры капитала и теорию последовательного выбора надо использовать совместно. Сначала вы определяете целевую структуру капитала, которая должна максимизировать использование налогового щита, но не подвергнуть компанию риску чрезмерных потерь в случае возникновения финансовых проблем. Затем вы стараетесь достигнуть этой цифры шаг за шагом с помощью последовательного выбора средств финансирования. Нет ничего страшного в том, что реальная структура капитала будет отличаться от целевой. Главное, чтобы эти отличия не стали слишком постоянными и чрезмерными.
Во-вторых, финансовая стратегия и структура капитала должна сочетаться с бизнес-стратегией. Агрессивная бизнес-стратегия подразумевает консервативную финансовую стратегию. Агрессивное использование заемного капитала при агрессивном развитии – это прямой путь к финансовым проблемам. Надо сказать, что в России очень многие компании до кризиса 2008 года недооценивали важность управления структурой капитала, сочетая агрессивный рост с масштабным использованием заемного капитала. Расплатой для многих из них стала потеря бизнеса. На новом витке развития российской экономики в 2009 году и далее правильное управление структурой капитала станет ключевой задачей финансовых директоров.
Глава 6
Заемный капитал
Мы с вами уже знаем, что компании финансируются с помощью собственного и заемного капитала. В этой главе мы с вами рассмотрим, какие существуют виды заемного капитала, чем они отличаются и каким образом выглядит процесс их получения.
Чем заемный капитал отличается от собственного?
Давайте сначала разберемся, что же представляет собой заемный капитал. Когда компания получает финансирование, обычно подразумевается, что эти средства в будущем компания планирует вернуть тем, кто эти средства ей дал. В этом случае может быть два вида обязательств по возврату капитала:
• деньги, которые надо вернуть в обязательном порядке (заемный капитал);
• деньги, которые надо вернуть, но потом и неизвестно сколько (собственный капитал).
У заемного капитала есть несколько основных отличий от собственного:

Итак, два вида капитала имеют для их держателей и для компаний разные плюсы и минусы. Собственный капитал дает меньше гарантий возврата, но больше возможностей для контроля деятельности компании, а также больший потенциальный рост возврата. Заемный капитал фиксирует сроки и размер возврата, но не дает такого же контроля работы компании.
В мире также существует и множество гибридных видов капитала, которые несут в себе черты и собственного, и заемного.
Ключевое отличие собственного и заемного капитала – это разный уровень риска и разный порядок налогообложения. Из-за того, что денежные потоки кредиторам имеют приоритет над потоками акционерам, а также из-за того, что процентные платежи по займам можно вычитать из налогооблагаемой прибыли, для компаний наиболее дешевым источником капитала будет являться заемный.
Объем, доступность и процедуры получения займов различаются в зависимости от вида заемного капитала. Далее мы рассмотрим основные виды заемного капитала примерно в том порядке, в каком с ними обычно сталкивается компания в процессе своего развития:
• векселя (Notes);
• лизинг (Leasing);
• банковские кредиты (Bank Loans);
• синдицированные кредиты (Syndicated Loans);
• облигации (Bonds);
• кредитные ноты (CLN: Credit-Linked Notes);
• секьюритизированные активы (Asset-Backed Securities).
Векселя
Когда молодая компания только рождается, ее финансовые возможности крайне ограниченны. Предприниматель, организовавший компанию, пытается получить финансирование, где угодно и у кого угодно. Ему нужны деньги на развитие бизнеса.
Одним из первых вариантов долгового финансирования для него являются займы у друзей, родственников, знакомых и не очень знакомых людей. В обмен на деньги предприниматель обычно выдает своим кредиторам долговые расписки. Вексель и есть долговая расписка. В нем обычно указано, кто его выдает (эмитент) и когда можно этот долг погасить (по требованию или не ранее определенной даты). Также в векселе указывается (не всегда), какие проценты должник будет платить своему кредитору. Векселя используются и крупными компаниями. Например, АвтоВАЗ в 2009 году пытался активно оплачивать счета своих поставщиков векселями.
Если вы получили вексель, не обязательно ждать оплаты или добиваться его погашения от должника (эмитента). Вексель вы можете передать (индоссировать) другому человеку или компании, например своему поставщику. Для этого на векселе делается передаточная надпись (индоссамент). Вексель вы можете продать (дисконтировать) банку или другому покупателю, если он согласится у вас его купить и взять на себя риски взыскания долга с эмитента. В этом случае, как правило, вексель у вас купят со скидкой (дисконтом).
Обычно векселя как метод расчетов и получения долгового финансирования приобретают популярность в периоды кризисов ликвидности, когда получить «живые» деньги достаточно сложно.
Вексель – это бумажный документ, причем не всегда хорошо защищенный, поэтому его можно подделать. Это стало одним из основных препятствий на пути распространения векселей в России. В середине – конце 1990-х годов в стране был ряд скандалов, связанных с подделкой векселей крупных компаний. Во многом по этой причине популярность векселей в России с тех пор серьезно уменьшилась.
Лизинг
О лизинге мы с вами уже подробно говорили в моей первой книге, поэтому здесь только повторю общие вещи.
Лизинг – это фактически аренда определенного набора активов (как правило, оборудования), когда реально оборудование покупает лизинговая компания. Обычно оборудование она покупает специально для вас и далее отдает его вам в аренду. Взамен вы платите ей лизинговые платежи. Финансовый лизинг фактически эквивалентен долгосрочному кредиту, обеспеченному залогом оборудования. Операционный (краткосрочный) лизинг выгоден вам с точки зрения возможности аренды оборудования только на то время, когда оно вам нужно, а также с точки зрения возможности модернизации оборудования.
Банковские кредиты
Следующим шагом по финансированию для молодой компании обычно будет получение банковского кредита. Это наиболее популярная в мире форма заемного финансирования. Кредит подразумевает наличие:
• суммы;
• валюты кредита;
• срока возврата кредита;
• процентной ставки по кредиту;
• ограничений на бизнес-операции компании, связанных с получением кредита (ковенант);
• графика погашения кредита.
Все эти условия фиксируются в кредитном соглашении между вашей компанией и банком.
Процесс получения кредита
Обычно процесс получения кредита выглядит следующим образом (см. рисунок).

Когда у вашей компании появилось непреодолимое желание и необходимость взять банковский кредит, изначально вы связываетесь с несколькими банками. Каждый банк направляет вас к кредитному специалисту (по-английски – loan officer), которому вы излагаете свои пожелания по сумме и срокам кредита. Он в свою очередь дает вам предварительную информацию по возможным срокам, сумме, ставкам и требуемым залогам. Переговоры вы можете вести одновременно с несколькими банками – здесь вас никто не ограничивает.
Если в одном или нескольких банках вас устроили предполагаемые условия, вы готовите пакет документов для кредитной заявки в соответствии с требованиями банка. Пакет обычно включает в себя:
• учредительные документы компании;
• финансовую отчетность за несколько предыдущих периодов;
• бизнес-план;
• информацию по залогам (если кредит будет обеспечен залогом какого-либо имущества компании или ее акций – обычно залоги требуются; кроме того, при наличии залогов потребуются также расходы на страхование залогов);
• информацию по финансовому состоянию поручителей. Во многих случаях залоги могут быть заменены поручительствами. В качестве поручителей могут выступать как компании (например, компании внутри группы или материнская компания группы), так и физические лица (в России популярно требование личного поручительства по кредитам контролирующего акционера компании). Наличие поручителей может упростить процесс получения кредита и снизить его стоимость.
Далее заявка поступает в банк на рассмотрение. Первоначально заявки рассматриваются тем же кредитным специалистом. В случае положительного заключения специалист выносит заявку на рассмотрение кредитного комитета банка. Кредитный комитет – это «совет» топ-менеджеров банка, который и выдает окончательное решение по кредиту: давать, не давать, если давать, то сколько и на каких условиях. Кредитный комитет может изменить условия, на которых банк готов будет предоставить вам кредит, по сравнению с указанными в кредитной заявке.
В случае получения положительного решения кредитного комитета кредитный специалист готовит для вас проект кредитного договора, а также проект договора залога (если условиями предусматривается залог какого-то имущества компании под кредит) и договора поручительства (если предусмотрено поручительство). Проект кредитного договора надо внимательно читать, так как его условия могут отличаться от условий, оговоренных в кредитной заявке. Если вас все устраивает, вы подписываете кредитный договор, договор поручительства, а также залоговый договор, после чего получаете деньги. Далее вы регулярно предоставляете банку требуемую им отчетность, которая призвана проконтролировать соблюдение условий кредита.
Весь процесс получения кредита вплоть до момента подписания кредитного договора – это живой переговорный процесс. Вы можете в любой момент отказаться от кредита, вы можете торговаться по условиям кредитного соглашения до момента его подписания. Вы можете торговаться одновременно с несколькими банками, в конце концов выбирая кого-то одного. Было немало случаев, когда условия финального подписанного кредитного соглашения менялись по сравнению с кредитной заявкой и даже по сравнению с решениями кредитных комитетов. Все зависит от того, насколько ценным клиентом вы являетесь (или потенциально являетесь) для соответствующего банка, а также от того, какова ситуация на банковском рынке. Если у банков много денег и недостаточно возможностей заработать (как было в 2005–2008 годах в России), а ваша компания имеет стабильное финансовое положение, то торговаться будет легче. Для банков вы желанный клиент. Если на рынке кризис ликвидности, а вашей компании срочно нужны деньги (как было в 2009 году), то здесь ваша переговорная позиция будет шаткой, а условия диктовать будут уже банки.
Условия кредитов
Как мы уже говорили, основными условиями кредитов являются сроки, валюта, процентная ставка. Здесь возможно полное разнообразие, но обычно в России кредит вы будете брать в российских рублях, на Западе – в долларах или евро. Процентная ставка по кредиту может быть фиксированной, а может и плавающей, то есть изменяющейся с течением времени. Обычно плавающая процентная ставка изменяется в привязке к какому-либо обобщенному официально публикуемому показателю:
• Моспрайм (отечественный вариант);
• LIBOR (London Interbank Offered Rate – ставка по межбанковским кредитам в Лондоне);
• Prime (американский вариант);
• EURIBOR (European Interbank Offered Rate – средневзвешенная процентная ставка по межбанковским кредитам, предоставляемым в евро).
К выбранному показателю добавляется премия в зависимости от риска заемщика для банков, например, LIBOR + 2 %. Премия может меняться со временем, например, LIBOR + 2 % в первые два года кредита, далее LIBOR + 2,5 %.
Еще одним вариантом условий кредита является его возобновляемость. Бывают кредиты с фиксированной суммой. Например, вы берете в кредит миллион рублей, вам сразу на счет перечисляют миллион. Но предположим, что этот миллион вам сразу не нужен. Вам нужна сумма финансирования в пределах миллиона. В этом случае вы можете договориться о выделении так называемой кредитной линии и брать деньги тогда, когда вам нужно, в сумме, не превышающей общую сумму кредитной линии. Например, если у вас есть кредитная линия в миллион рублей, вы можете взять из нее в какой-то момент только 300 000 руб., в другой момент 500 000 руб., потом часть вернуть, взять снова и т. д. В этом случае процент вы будете платить только за реально полученную часть кредита. За неиспользованную часть кредита вы обычно также будете платить процент, но существенно меньший (так называемый commitment fee).
Еще одним популярным вариантом кредита является овердрафт (от английского overdraft – превышение). Овердрафт – это когда вы платите со своего расчетного счета денег больше, чем на нем есть. Овердрафт – дорогой, но хороший способ «заткнуть» короткие разрывы в поступлении и оплате денег. Например, вам сегодня надо заплатить 100 млн руб. У вас на счете 50 млн, а вечером должно поступить еще 150 млн от клиентов. Если у вас есть договор об овердрафте, вы активируете овердрафт (платите банку комиссию за активацию – комиссию банк списывает автоматически) и платите утром 100 млн. У вас на счете останется минус 50 млн руб., которые после прихода вечером планируемых 150 млн будут закрыты. Прелесть овердрафта в этом случае состоит в том, что если приход и уход денег будут одним днем, то есть овердрафт продержится меньше одного полного дня, вам не придется платить по кредиту процент, то есть ваши расходы будут ограничены только платой за активацию овердрафта. Правда, если ваши планы не сбудутся и 150 млн задолженности придут только через несколько дней, вам придется платить процент по овердрафту. Стоимость овердрафта обычно будет выше стоимости кредита на несколько процентов (например, если стандартный банковский кредит вы берете под 14 % годовых, то овердрафт для вас может стоить 18–19 % плюс еще плата за активацию овердрафта), поэтому в качестве источника финансирования больше чем на день это относительно дорогой способ покрытия кассовых разрывов. В этом случае будет проще и дешевле взять кредит. Обычно овердрафты являются беззалоговым способом кредитования, хотя с наступлением финансового кризиса банки стали все чаще требовать залоги при подписании соглашений об овердрафте.
Ковенанты
Отдельно стоит поговорить о ковенантах (по-английски – covenant). Ковенанты, то есть ограничения на действия компании, связанные с получением соответствующего кредита, – это инструмент, с помощью которого банки могут управлять своими кредитными рисками. Ковенанты налагают на вас необходимость соблюдения определенных показателей, которые должны снизить риск возникновения у вашей компании проблемы «нависания долга», о которой мы говорили в главе «Структура капитала». Теоретически ковенанты могут быть какими угодно, но на практике обычно встречаются следующие варианты:
• Ведение расчетных счетов компании в банке-кредиторе.
• Поддержание на этих расчетных счетах определенных оборотов.
• Поддержание определенного соотношения оборотных активов и краткосрочных обязательств.
• Поддержание уровня долга не выше Х значений EBITDA.
• Поддержание определенного уровня процентного покрытия.
• Обязательство о предоставлении банку официальной финансовой отчетности (для крупных компаний аудированной) не позднее чем через Х дней после закрытия отчетного периода.
• Наличие залогов по кредиту и требований по увеличению залогов в случае, если стоимость заложенного имущества падает ниже определенного значения (обычно 1,3–1,4 от суммы кредита).
• Обязательства по страхованию заложенных активов (если это имущество компании).
• Кросс-дефолтные обязательства, то есть право требовать досрочного погашения кредита, если компания объявила дефолт по любому другому своему кредиту.
• Поддержание минимальной величины стоимости чистых материальных активов.
• Ограничение величины капитальных затрат компании.
• Ограничение на приобретение активов без дополнительного согласования с кредиторами и т. д.
Нарушение ковенант дает кредиторам право требования досрочного погашения всей суммы кредита. На практике иногда компания может нарушить какие-либо ковенанты. Если она не хочет, чтобы кредитор «насел» на нее с требованиями возврата кредита, она должна заранее провести с ним переговоры, чтобы договориться о послаблении (временном или постоянном) ковенант. Это послабление будет оформлено в виде дополнения к кредитному договору и называется вейвером по ковенанту (covenant waiver). Подобную ситуацию мы уже рассматривали в моей первой книге в кейсе Industrial Distributors.
Еще пару лет назад использование ковенант российскими банками находилось в достаточно зачаточном состоянии. В основном использовались ковенанты, связанные с поддержанием оборотов на расчетных счетах, соотношения активов / обязательств. Также активно использовались залоги. Но с наступлением финансового кризиса разнообразие встречающихся в кредитных оглашениях ковенант значительно возросло. Уверен, что эта тенденция сохранится – с развитием российского капитализма использование ковенант как инструмента управления кредитными рисками со стороны банков будет существенно возрастать. Потенциально для кредитора ковенанты – возможность ограничивать действия заемщика, не совпадающие с интересами кредиторов. Это метод снижения рисков кредитора.
Очень интересным дополнением к банковским кредитам могут стать кредиты государственных экспортных агентств. Экспортные агентства различных стран призваны поощрять экспортные отрасли этих стран за счет предоставления покупателям их продукции (прежде всего продукции тяжелого машиностроения, то есть оборудования) кредитов (или гарантий по ним) под приобретение этой продукции. Соответственно ставки по таким кредитам по сравнению с рыночными ставками для российских заемщиков очень низки (реально получить кредит под 3–4 % годовых). Обычно напрямую с экспортными агентствами работать у вас не получится – будут сложные условия, связанные с существенными требованиями этих агентств к компаниям. Гораздо проще получить финансирование экспортного агентства через банк-агент.
Агентства обычно имеют соглашения и лимиты на крупные национальные и иностранные банки. Например, вы собираетесь купить оборудование у немецкого производителя и хотите воспользоваться кредитом немецкого экспортного агентства Hermes. В этом случае вы можете обратиться в банк-агент (например, Commerzbank, который имеет представительство в России) для помощи в проведении этой операции. Агент проведет оценку ваших рисков по своим внутренним методикам. Далее экспортное агентство предоставит кредит банку-агенту, а он в свою очередь предоставит его вам (естественно, по более высокой ставке – разница в ставках будет вознаграждением агента). Экспортному агентству это выгодно, так как в этом случае ему не надо связываться с оценкой заемщика, очень специфической для конкретной страны – за него это сделает банк-агент, имеющий локальное присутствие и понимающий специфику рисков локальных заемщиков. На практике комиссии агентов-филиалов международных банков ниже, чем использование в качестве агентов российских банков.
Основные экспортные агентства развитых стран:
• в США – Exim Bank;
• в Германии – Hermes Kreditversicherungs-AG (Hermes);
• во Франции – Compagnie Francaise d. Assurance pour le Commerce Exterieur (COFACE);
• в Великобритании – Export Credits Guarantee Department (ECGD);
• в Италии – Istituto per i Servizi Assicurativi e il Credito all’Espotazione (SACE).
Примечание: список официальных экспортных агентств можно найти на сайте http://www.people.hbs.edu/besty/projfinportal/ecas.htm.
При необходимости финансирования поставок западного оборудования не забывайте о возможности получения под такие сделки дешевого финансирования через экспортные агентства.
Синдицированные кредиты
В какой-то момент, когда ваша компания становится достаточно крупной, ее потребности в объеме кредитного финансирования становятся настолько большими, что их уже не может удовлетворять один банк. Дело в том, что у банков существуют лимиты на одного заемщика, закрепленные обычно требованиями регулирующих органов. Возможны также еще более жесткие лимиты на одного заемщика, установленные внутри банка. Для банка это способ управления рисками. Если банк будет сильно зависеть от одного клиента, проблемы с возвратом его кредитов могут привести к финансовым проблемам банка. Поэтому банки стараются распределить риски между заемщиками за счет ограничения максимального размера кредита. Вспомните теорию портфеля: если вы распределите свои вложения между несколькими заемщиками, общий риск ваших вложений уменьшится.
Соответственно, когда размер потребностей вашей компании в финансировании начинает превышать готовность вашего банка предоставить вам такой объем средств, возникает проблема. Можно, конечно, начать брать кредиты в другом банке. Но тогда вам придется иметь дело с множеством кредитных договоров с разными банками. Эти договоры будут иметь разные сроки, валюты, процентные ставки, поэтому вам придется тратить существенное время и ресурсы на управление всеми этими договорами. Кроме того, в случае возникновения необходимости реструктуризации, большое количество кредитов от множества разных банков существенно затрудняет переговоры о реструктуризации.
В этом случае для вас существует интересная альтернатива: синдицированный кредит (на жаргоне «синдикат»). Синдицированный кредит вы берете у группы (синдиката) банков, но при этом договор вы заключаете только один – это договор с синдикатом. Соответственно набор условий и ковенант в нем будет одним, общим для всех участников синдиката. Это значительно облегчает вам процесс переговоров и управления кредитом.
С другой стороны, для банков участие в синдикате является средством управления рисками. Они разделяют свои риски и сумму с другими участниками синдиката. Кроме того, для некоторых банков это может быть пропуском для участия в кредитовании на новом рынке. Например, небольшой иностранный банк не присутствует в России, но хочет поучаствовать в кредитовании крупных российских компаний, чтобы получить дополнительную прибыль за счет более высоких процентных ставок для российских заемщиков. Участие в синдикате банков для этого небольшого банка позволит реализовать такую возможность. Кроме того, этому банку не придется тратить существенные ресурсы на оценку кредитоспособности заемщика «с нуля» – все необходимые материалы для него подготовит и проверит организатор синдиката. Такому банку будет легче участвовать в синдикате, понимая, что вместе с ним риск на себя берут и гораздо более крупные и солидные банки.
Обычно, для того чтобы получить синдицированный кредит, вам нужна будет кредитная история. Крупным банкам, чтобы принять участие в синдикате, нужен опыт работы с вами, нужно определенное доверие к вам. Поэтому ядро синдиката (20 % – 100 % участников) составят те банки, с которыми вы уже работали или работаете. Надо сказать, что отечественные банки не очень охотно участвуют в синдикатах, предпочитая работать с клиентами напрямую. Поэтому в синдикаты обычно входят банки западные.
Выглядит процесс получения синдицированного кредита примерно следующим образом (см. рисунок).

Сами вы организовать синдицированный кредит не сможете – для этого вам придется выбирать посредников. Как правило, это банки, с которыми вы ранее уже сотрудничали и хорошо их знаете. Такой выбранный вами посредник будет называться ведущим организатором синдиката, или MLA (Mandated Lead Arranger). Организатор получает свое вознаграждение в виде определенного процента от суммы кредита (обычно до 1,5 %, но в периоды кризиса вознаграждение может быть выше). Однако в своих предложениях банки могут указывать и различные другие виды комиссий и выплат, так что все предложения надо внимательно анализировать. В крупных синдицированных кредитах у вас может быть несколько MLA. В этом случае итоговое вознаграждение они делят между собой (как именно, они договариваются сами в зависимости от распределения ролей). Бывают MLA, которые не получают вознаграждение за работу, – они работают «за имя» (иногда такая работа напрямую связывается с выдачей им вами мандата на ведущую роль в другой сделке). Они стараются создать себе бренд на рынке организации синдицированных кредитов, чтобы стать «полноценными» MLA в будущем. В процессе работы вы всегда можете «выкинуть» какого-то MLA из своего проекта, если вам не нравится его работа.
Из интервью директора департамента казначейства компании МТС Ильи Чупринко журналу «Консультант»:
«…У синдицированных кредитов, впрочем, как и любой другой публичной формы финансирования, где участвует группа кредиторов, есть особенность – присвоение различных «титулов» банкам, участвующим в синдикации. Последние активно борются за эти «титулы», в первую очередь за самое высокое звание mandated lead arrangers and underwriters. Это самый престижный “титул”, и получившему его банку полагаются наибольшие комиссионные. Следующий уровень – lead arrangers, присваиваемый в зависимости от доли участия в сделке и других условий, за ним – arrangers. Таким образом, титулы распределяются, условно говоря, до бесконечности. Звания присваиваются в процессе сделки, до ее осуществления. Как ни удивительно, банки могут “обидеться”, если их включат не в ту группу, а некоторые – даже отказаться от участия в синдикации, если не попадут в высшую группу. Из главных организаторов выбирается один банк, который назначается агентом. Он выполняет своего рода административную работу: собирает с остальных участников кредит, выдает деньги заемщику. И именно с агентом клиент расплачивается по кредиту, а тот дальше распределяет средства между другими банками.
При выборе MLA вы запрашиваете у них предлагаемые ими условия, так называемый Term Sheet, в котором прописываются основные условия сделки: сумма, процентная ставка, срок, график погашения, ковенанты, размер вознаграждения за организацию. Далее вы выбираете MLA исходя из «авторитета» банка, предлагаемых им условий кредита, требуемых сумм вознаграждения и условий организации. Бывают три основных вида синдицированных сделок:
• Underwritten deal, когда MLA берет на себя ответственность полностью подписать ваш кредит, то есть выдать вам полную оговоренную сумму. В этом случае если он не сможет подобрать участников синдиката на необходимую сумму, то вынужден будет сам «выкупить» неразмещенную сумму. Например, если MLA организовывает синдикат на 1 млрд руб., а заявок набралось всего на 800 млн, то оставшиеся 200 млн MLA придется внести самому;
• Best effort deal, когда MLA не гарантирует полное размещение (разместит только то, что сможет, правда, иногда может случиться и переподписка, например, хотели разместить 500 млн руб., а заявок поступило на 800 млн);
• Club deal, когда круг «покупателей» кредита уже заранее известен (обычно по не очень крупным синдикатам). Здесь организатору уже не нужно «продавать» кредит другим банкам, поэтому обычно участники делят между собой комиссию организатора пропорционально их доле в синдикате.
В России обычно MLA предлагает вам best effort. С выбранным MLA вы подписываете мандат. Мандат дает организатору официальное право организовывать синдикат от вашего имени по вашему поручению. В мандате обычно прописываются основные определения, размер комиссий и условия оплаты издержек, эксклюзивность назначения, конфиденциальность, обязательства организаторов. В качестве приложения к мандату идет term sheet с основными параметрами сделки.
Практически одновременно с выбором ведущего организатора вы будете выбирать и юридические компании, которые будут помогать вам с MLA готовить кредитную документацию. Обычно в сделке будут задействованы две юридические компании – одна на стороне MLA и одна на стороне заемщика. Они будут заниматься подготовкой кредитной документации (кредитного договора, договоров поручительства и залога, если применимо) и выступать посредниками при согласовании условий документов. Обычно расходы на юристов как со стороны MLA, так и с вашей стороны, будете оплачивать вы.
MLA с вашей помощью делает информационный меморандум по кредиту. В этом мемо содержится вся основная информация о бизнесе компании, ее положении на рынке и стратегии. Кроме того, сюда входит финансовая отчетность вашей компании, а также финансовая модель компании на срок кредита, чтобы потенциальным участникам синдиката было понятно, как и из каких источников компания будет гасить проценты и тело кредита. Кроме того, вам придется также подготовить набор документов, который называется CP (conditions precedent), без получения которых вам не будет выдан кредит. Обычно в этот набор входят такие документы, как подтверждение права собственности на залоги, учредительные документы компании, учредительные документы и информация по поручителям по кредиту и т. д.
MLA рассылает меморандум потенциальным участникам синдиката вместе с предложением об участии в синдикате. Здесь начинается основная работа MLA – он пытается «продать» вас будущим участникам синдиката. Специалисты инвестиционного банка звонят и встречаются с потенциальными участниками, рассказывают им об условиях участия и дают пояснения по содержанию меморандума. В общем, вас вовсю рекламируют. MLA, безусловно, заинтересован в успешном завершении проекта, иначе он не получит свое вознаграждение (скажем, 1,5 % от $300 млн, то есть 4,5 млн – это неплохое вознаграждение за месячную работу группы из 3–5 специалистов инвестиционного банка) и, кроме того, ухудшит свой бренд.
В результате такой работы будущие участники синдиката дают заявки на участие в нем. В заявке они указывают сумму и условия, на которых они готовы участвовать в синдикате. MLA далее сводит все эти заявки в единое целое (книгу заявок) и старается создать синдикат, в котором всех бы удовлетворил единый набор условий. Сам MLA обычно дает в синдикат существенную сумму. При формировании книги заявок могут поменяться условия кредита. Например, если заявок слишком много, может быть улучшена процентная ставка или увеличен объем синдиката. В общем, если удается договориться со всеми участниками по условиям, MLA готовит и рассылает всем участникам согласованный кредитный договор.
Если заявок слишком много (в этом случае говорят «синдикат переподписан»), то вам совместно с MLA придется выбирать:
• вы можете взять синдикат на большую сумму, чем рассчитывали (в этом случае также придется больше заплатить за организацию – комиссия берется от общей суммы кредита);
• вы можете пропорционально распределить суммы участия между всеми банками, подавшими заявки;
• вы можете «выкинуть» кого-то из участников из синдиката.
Распределение заявок – процесс весьма политизированный, ведь вам нужно постараться «не обидеть» никого, кто мог бы быть вам полезен в будущем.
В процессе подготовки синдиката определяется банк, через который будут вестись все операции по кредиту. Он называется агентом (facility arranger). Этот банк получает часть вознаграждения за организацию и отвечает перед другими участниками синдиката за соблюдение всех правил синдиката. Банки-участники будут переводить деньги агенту и будут получать деньги от агента. В свою очередь ваша компания будет получать и переводить деньги агенту. Как правило, платежным агентом будет ваш MLA, но могут быть и исключения. Для фиксирования размера комиссии за услуги агента обычно подписывается Письмо об агентском вознаграждении (Agency Fee Letter).
После «утряски» условий всех кредитных договоров между участниками и получения юридического заключения по документам, предоставленным в рамках CP, все участники синдиката и вы подписываете финальную версию кредитного соглашения. Затем вы получаете деньги.
Облигации
Как и вексель, облигация – долговая расписка компании. Компания берет в долг деньги в сумме номинала облигации (par value), например 1000 руб., по которым обязуется регулярно платить некий доход, который называется купонным доходом (например, 10 % годовых, то есть 100 руб. каждый год). Через определенный срок (срок обращения облигации, например, 3 года) компания обязуется выплатить обратно сумму номинала облигации (в нашем примере 1000 руб.). Основное отличие облигаций от векселей заключается в том, что вексель – это одноразовый нестандартный документ, выпускаемый под конкретную ситуацию. Облигация обычно – стандартизированный документ. Общий объем необходимого выпуска разбивается на стандартные части, обычно номиналом по 1000 руб. (или другой валюты, в которой выпускается облигация).
Для компаний облигации имеют несколько преимуществ:
• доступные компаниям объемы выпуска облигаций обычно значительно больше объемов возможных кредитов. Это дает компании возможность получить сразу большой объем капитала;
• ковенанты по облигациям, как правило, менее жесткие, чем по кредитам;
• облигации обычно являются беззалоговыми ценными бумагами, то есть для них не требуется обеспечение в виде залога активов компании (правда, в некоторых случаях могут потребоваться поручительства);
• поскольку обычно облигации являются биржевыми ценными бумагами, при их успешном выпуске у компании появляется публичная кредитная история. Компания становится более понятной потенциальным инвесторам. Ей становится легче привлекать собственный и заемный капитал в будущем.
Что интересно: хотя вроде бы информация, которую получают от компании держатели облигаций, более закрыта по сравнению с информацией, раскрываемой банкам-кредиторам при получении кредитов, иногда в периоды бума на рынках ценных бумаг процентные ставки по облигациям могут быть ниже, чем процентные ставки для той же компании по кредитам (правда, в периоды кризисов облигации обычно дороже кредитов). Теоретически это можно объяснить и тем, что инвесторы облигаций распределяют риски между собой, за счет чего готовы принять более низкий процент дохода.
С другой стороны, у облигаций есть и свои минусы. Прежде всего, это сложность реструктуризации облигаций в случае возникновения у компании финансовых проблем. Вам придется договариваться не с одним-двумя банками, а возможно, с тысячами владельцев ваших облигаций. Кроме того, как вы скоро увидите, процесс выпуска облигаций занимает более длительное время по сравнению с получением обыкновенного или синдицированного кредита.
Чтобы успешно выпустить облигации в России, вам нужно иметь оборот не менее 1,5–2 млрд руб. Минимальный размер выпуска при этом будет в районе 500 млн руб. Срок обращения облигаций на российском рынке обычно от 3 до 5 лет. На Западе выпускаются и гораздо более долгосрочные облигации со сроками обращения даже до 100 лет. Обычно облигации делятся на несколько «эшелонов», в зависимости от качества эмитентов.
• Облигации первого эшелона. Это займы крупнейших российских компаний, таких как «Газпром», Сбербанк или «Лукойл». Акции этих компаний активно обращаются на бирже. Облигации этих компаний также активно торгуются на бирже и обладают высокой ликвидностью (их можно быстро продать и купить с минимальным спредом, то есть разницей между ценой спроса и предложения). Процент по ним минимален.
• Облигации второго эшелона. Это облигации крупных российских предприятий, например, энергетических компаний, больших предприятий с государственным участием. Ликвидность их ниже (но тем не менее купить-продать на бирже их реально). Процентная ставка по ним выше, чем по облигациям первого эшелона, на 2–3 %.
• Облигации третьего эшелона. Это облигации всех прочих компаний. Обычно облигации таких компаний покупают, чтобы держать до погашения, так как их ликвидность очень низкая – купить / продать их на бирже практически невозможно. Точнее, конечно, возможно, но вам придется терпеть убытки из-за большого спреда между предлагаемой ценой покупки и желаемой ценой продажи.
Крупнейшие российские компании, такие как, например, «Евразхолдинг» или ТНК-ВР, прибегают к займам с помощью выпуска еврооблигаций. Еврооблигации – это облигации, выпущенные компанией в иностранной валюте. Обычно российские компании выпускают их на зарубежных торговых площадках, например в Лондоне и в Нью-Йорке. Правила размещения в США (144A / Reg S) значительно более жесткие по отношению к эмитенту (компании, выпускающей облигации), чем в Лондоне (Reg S). Но при этом, занимая по 144А / Reg S, вы получаете доступ к значительно более широкому кругу инвесторов, что позволяет привлекать очень существенные суммы.
Выпуск еврооблигаций связан с большими расходами и серьезными требованиями к раскрытию информации, поэтому их выпускают очень немногие российские компании. Минимальный объем капитала, который «поднимается» с помощью выпуска еврооблигаций, составляет $300 млн – $400 млн. Ниже – слишком дорого. Преимущество еврооблигаций – ставки по ним обычно серьезно ниже, чем по рублевым облигациям или кредитам в России. Однако, естественно, в этом случае компания должна считаться с рисками изменений валютных курсов.
Процесс выпуска облигаций выглядит примерно следующим образом (см. рисунок).

Все начинается с подготовки финансовой отчетности. Любая площадка и любой вменяемый инвестор, который собирается рассмотреть возможность покупки ваших облигаций, будет требовать наличия финансовой отчетности, заверенной аудиторской компанией. Требования к отчетности различаются в зависимости от площадки, на которой вы будете размещать свои бумаги. Если это отечественная площадка (ММВБ), то здесь больших требований нет: нужно наличие отчетности по РСБУ, заверенной аудиторской компанией, причем не обязательно известной (но для больших выпусков вам нужна будет и отчетность по МСФО – это уже будет требование не биржи, а инвесторов). Если вы размещаете еврооблигации в Лондоне, то вам понадобится отчетность по МСФО за последние несколько лет. К тому же для успешного размещения отчетность должна быть заверена солидной аудиторской компанией, например, кем-то из большой четверки (подробнее про финансовую отчетность, аудиторов и их роль смотрите мою первую книгу).
Далее следует выбор андеррайтера. Андеррайтер – это обычно инвестиционный банк (или инвестиционно-банковское подразделение коммерческого банка), который будет помогать вам с размещением. Выбор андеррайтера – важный момент, так как от этого во многом зависит успех размещения выпуска. Выбирая андеррайтера, обычно вы будете руководствоваться несколькими критериями, такими как:
• Успешный опыт размещения подобных выпусков андеррайтером и наличие в банке команды, которая реально эти выпуски размещала.
• Условия участия андеррайтера. Андеррайтер может быть ответственным – в этом случае он выкупает у компании 100 % облигаций и дальше уже размещает их. Иными словами, он гарантирует компании размещение облигаций. Неответственный андеррайтинг предполагает размещение выпуска в зависимости от рыночных условий (но обычно андеррайтер гарантирует выкуп не менее 20 % объема эмиссии). Выбор также будет обусловливаться стоимостью услуг андеррайтера. Для больших компаний и больших выпусков она может быть 1 % от объема выпуска и менее. Для компаний второго-третьего эшелона стоимость услуг андеррайтера может доходить до 2,5–3,5 % от объема эмиссии. При выпусках облигаций работает эффект масштаба – чем больше выпуск, тем он дешевле (в % от объема выпуска), так как объем работы в зависимости от объема выпуска различается, но не в разы.
• Предлагаемые андеррайтером условия выпуска облигаций, включая процентную ставку, сроки, максимальный объем эмиссии.
• Возможности андеррайтера по предоставлению бридж-кредита. Бридж-кредит – это временный кредит, который будет погашен за счет выпуска облигаций. Выпуск облигаций – процесс, требующий времени. Если деньги вам нужны раньше, то вы можете постараться договориться, чтобы андеррайтер предоставил вам бридж-кредит на время организации размещения.
Как и в случае с синдицированными кредитами, андеррайтеров может быть несколько. Тогда они распределяют работу и вознаграждение между собой.
Следующим этапом для вас будет выбор юридической компании, которая будет сопровождать выпуск (при организации выпуска еврооблигаций их будет две – одна с вашей стороны, другая со стороны банков). Эти фирмы будут готовить всю документацию. Юридические аспекты выпуска имеют важное значение. Правильно составленные документы могут защитить компанию в случае возникновения спорных ситуаций (и, соответственно, доставить неприятности невнимательным кредиторам). Оплата услуг юристов почасовая, а не в процентах от суммы размещения, как у банкиров. Обычно устанавливается так называемый кэп (cap) – максимальный размер гонорара, который может получить юридическая компания.
Кроме юристов, вам также предстоит выбрать платежного агента (часто это ваш андеррайтер), через которого будут осуществляться все платежи по облигациям:
• оплата покупки облигаций;
• выплата компанией купонного дохода;
• выкуп облигаций у держателей в конце срока обращения или в рамках предложения (оферты) компании на выкуп облигаций.
Далее вам понадобится выбрать депозитарий. Практически всегда облигации будут выпускаться в бездокументарной форме: вам не надо будет печатать бумажки с надписью «облигация». Владельцы облигаций будут определяться записями в книгах депозитария – специальной компании, которая будет вести учет реестра владельцев облигаций. С депозитарием подписывается договор эмиссионного счета депо, по которому он получает от вас (эмитента) одноразовую плату за организацию учета облигаций, а также регулярную плату за ведение реестра.
Все игроки (андеррайтеры, юристы, аудиторы) будут помогать вам готовить формальные документы, необходимые для выпуска облигаций, а именно проспект эмиссии. Это документ, по содержанию похожий на информационный меморандум, который составляется при подготовке к выпуску синдицированного кредита, но содержит в себе дополнительную информацию о порядке и форме выпуска облигаций, условиях выпуска и ковенантах, платежном агенте, депозитарии и т. д.
Проспект эмиссии должен быть зарегистрирован в соответствующем государственном органе и/или на бирже. Для России это Федеральная служба по финансовым рынкам. Регистрация – процесс бюрократический. Он может занять несколько месяцев. После регистрации у вас есть год, чтобы выпустить бумаги. Иногда компании регистрируют проспекты «с запасом», чтобы иметь потом возможность доразместить выпуск на дополнительную сумму.
Существует также механизм так называемых биржевых облигаций, у которых упрощена процедура регистрации. Для их эмиссии не требуется государственная регистрация – они выпускаются на бирже, которая сама их зарегистрирует и присвоит номер. Стандарты проспекта эмиссии значительно менее жесткие по сравнению с «классическими» облигациями. Нет также необходимости регистрировать результаты эмиссии, что позволяет быстрее начать торги (обычно для российских облигаций перед началом первых торгов требуется зарегистрировать результаты эмиссии). У биржевых облигаций есть свои ограничения. Их могут выпускать только компании, акции которых уже котируются на бирже. Кроме того, срок обращения биржевых облигаций не может превышать трех лет.
В России облигации обычно выпускает не сама компания, а ее дочерняя структура специального назначения – SPV, создаваемая специально для выпуска облигаций (про SPV подробнее смотрите мою первую книгу). У SPV нет никаких активов, и она не ведет никакой деятельности, кроме выпуска облигаций. В этом случае материнская компания является поручителем по выплате облигаций.
Эта схема не всегда безупречна юридически. Например, в июле 2009 года развернулась активная борьба компании «Аркада» с держателями ее облигаций. Компания не выкупила облигации у держателей в рамках оферты. Облигации были выпущены через ООО «АПК Аркада», выпуск был прогарантирован основными компаниями группы «Аркада»: ООО «Агропромпроект», ООО «Аркада-центр», ОАО «Вермани», ООО «Ленди». Держатели бумаг «Аркады» пытались вернуть деньги через Арбитражный суд Москвы: в первой половине 2009 года было подано более 80 исков в категории «о ценных бумагах». Но компания удачно защищалась: она смогла доказать, что поручители по облигациям не отвечают, потому что после размещения менялась процентная ставка, а это является существенным изменением договора поручительства. Так что всегда, будучи потенциальным инвестором, обращайте внимание на юридические «закавыки» проспекта эмиссии и соблюдение компанией-эмитентом всех юридических формальностей.
Еще одной особенностью российских облигаций является активно используемый механизм оферт. При выпуске компания берет на себя обязательство через определенный срок (чаще всего через год после выпуска) объявить держателям предложение (оферту) на выкуп своих облигаций по номиналу и одновременно установить на следующий год новую ставку купона (процентную выплату). Если ставка была для инвесторов достаточной (что обычно и случалось), они просто не продавали компании ее облигации по оферте, предпочитая продолжать получать купонный доход. С 2001 по 2008 год российский рынок облигаций развивался, процентные ставки на нем падали. Каждый год требуемый инвесторами купонный доход снижался. Компании с помощью оферт могли каждый год снижать купонные ставки и таким образом экономить на процентах. Однако с наступлением финансового кризиса в России в 2008 году такая стратегия эмитентам вышла боком. Многие инвесторы предпочли «принести» компаниям по оферте на выкуп их облигации, а денег на их выкуп у компаний в тот момент не было. Пришлось срочно пытаться реструктурировать выпуски.
После готовности и регистрации проспекта андеррайтер открывает книгу заявок. Начинается период размещения, который обычно длится около месяца. Тут андеррайтер начинает бурную деятельность. Его задача – убедить потенциальных инвесторов купить бумаги. Именно за это компания и платит ему деньги. Работники андеррайтера (на жаргоне – «сейлзы») начинают обзванивать потенциальных покупателей (в основном инвестиционные и пенсионные фонды) и «толкать» им предстоящий выпуск, стараясь получить от них заявки на приобретение.
Для еврооблигаций в этот момент компания может провести серию презентаций, где топ-менеджеры рассказывают о компании и ее планах потратить деньги, полученные от выпуска облигаций. Презентации обычно проводятся с выездом в «места обитания» инвесторов, то есть в Лондоне, Франкфурте, Нью-Йорке, Сингапуре, Гонконге и т. д. Эти несколько дней жизни топ-менеджеров и банкиров в бешеном темпе с перелетами из одного конца света в другой и ежедневными презентациями называются «роуд-шоу» (от английского – road show).
Во время подписки (да и не менее чем за год до ее начала) важно выдавать потенциальным инвесторам хорошие новости о компании, чтобы у них складывался положительный имидж эмитента. Плохие новости – судебные иски, уголовные дела, налоговые проблемы, ссоры акционеров и т. д. – могут привести к невозможности размещения облигаций. Инвесторы – они как пугливые антилопы, с ними надо работать очень аккуратно. Они не любят плохих новостей и при малейшем беспокойстве быстро от вас сбегают.
Через оговоренное в проспекте время подписка на облигации (книга заявок) закрывается. Если заявок слишком много, то приходится распределять их между инвесторами аналогично синдицированному кредиту.
После закрытия книги, передачи клиентам облигаций (в виде записей в реестре депозитария) и получения денег начинается жизнь компании в качестве публичного заемщика. Это связано с необходимостью общения с инвесторами и регулярного предоставления им набора отчетности (обычно комплекта финансовой отчетности). Иногда в этом случае компания создает внутри себя специальное подразделение «Департамент отношений с инвесторами» (по-английски – investor relations), задачей которого является подготовка информации и организация взаимодействия с инвесторами. В основном взаимодействие с инвесторами компании нужно будет в тот момент, когда она станет публичной, то есть проведет IPO (предложит свои акции широкой публике). В этом случае выпуск облигаций может стать для компании первым опытом жизни в качестве публичной компании, подготовкой к дальнейшему IPO (про IPO и прочие механизмы привлечения собственного капитала мы подробно поговорим в следующей главе).
Кредитные ноты
Кредитные ноты (Credit-Linked Notes или CLN) – это некий промежуточный вид финансирования между банковским кредитом и облигациями. Упрощенно механизм работы CLN выглядит примерно следующим образом (см. рисунок):
• банк выдает вам кредит с определенными параметрами (сумма, срок, проценты);
• одновременно с этим банк продает инвесторам кредитные ноты с условиями, полностью совпадающими с условиями кредита (как бы частички кредита – одна нота обычно равна $1000 США или евро в зависимости от валюты займа).

При этом по условиям нот их покупатели берут на себя все кредитные риски, то есть банк, формально являясь эмитентом нот, не несет никакой ответственности перед их держателями в случае дефолта компании по кредиту. Он выступает неким промежуточным звеном. Иногда в условиях нот прописывается, что в случае наступления дефолта (так называемого рискового события – risk event) банк передает держателям нот то, что он сможет получить от компании-эмитента.
Вот, например, параметры одного из первых выпусков CLN на $30 млн, который провели Объединенные машиностроительные заводы в 2002 году. Банк ING Bank N. V. предоставил ОМЗ кредит на $30 млн. Одновременно с этим он выпустил и продал инвесторам кредитные ноты на эту же сумму. Проценты по кредиту ОМЗ выплачивает банку раз в полгода. Получив проценты, банк перечисляет держателям CLN купонный доход. При этом выплаты, которые осуществляет ING, зависят от выплат ОМЗ. В случае наступления рискового события у банка есть выбор – выплатить держателям так называемый recovery amount (то есть то, что он смог получить от ОМЗ) или передать держателям нот права требования по кредиту.
В чем тайный смысл CLN? Выпуск CLN – это хороший способ привлечь дешевые деньги «западных» инвесторов без необходимости выпуска еврооблигаций и связанных с этим больших материальных затрат и информационных требований. CLN не обращаются на биржах и имеют низкую ликвидность. Инвесторы обычно покупают их, чтобы держать до погашения. Суммы, «поднимаемые» с помощью CLN (в среднем $100 млн), обычно на порядок меньше стандартных объемов выпусков еврооблигаций (в среднем $300 млн – $700 млн). Поскольку они являются более рискованным вложением для инвесторов, проценты по ним обычно выше, чем по еврооблигациям, но ниже, чем по «российским» банковским кредитам (хотя в последнее время разница начинает исчезать). При небольших объемах выпуска более низкая процентная ставка по еврооблигациям перекрывается более высокими расходами на выпуск еврооблигаций (аудит, инвестиционные банки, раскрытие информации и т. д.) При выпуске CLN требования к раскрытию информации минимальны. В России компании активно пользовались CLN особенно в начале XIX века, когда у многих компаний еще не было достаточной кредитной истории и возможностей для выпуска еврооблигаций.
Популярность CLN обычно возрастает в моменты спадов на рынке еврооблигаций, когда для компаний это подчас единственная возможность найти «дешевые западные» деньги. Так, например, она выросла в 2006–2007 годах во время спада на облигационном рынке.
Процесс выпуска кредитных нот похож на все предыдущие виды заемного финансирования (см. рисунок).
Еще раз отмечу, что в отличие от облигаций эмитентом CLN будет не компания, а банк. Иногда для этих целей создают SPV, которые являются эмитентами нот. Например, банк «Траст» организовывал выпуск CLN для своих клиентов через специально созданную компанию CRR B. V.

Отличительной чертой в рамках стоимости заимствований через CLN является более высокая комиссия за организацию выпуска. Если комиссия за организацию выпуска еврооблигаций часто колеблется от 20 до 50 б.п., то в случае кредитных комиссия в среднем составляет около 1 %, достигая и ставок в 1,5 %. Однако в абсолютном выражении комиссии по выпускам CLN меньше, чем по еврооблигациям, в силу менее существенных сумм займов. Более высокие комиссионные оправданы тем, что банк-организатор берет на себя гораздо большие трудозатраты по рекламе и размещению данного выпуска. Это связано с тем, что характер сделок более индивидуальный, с каждым инвестором идет отдельная работа по «продаже» конкретного заемщика, а не некоего кредитного риска с определенным рейтингом. Основные покупатели российских CLN – западные инвестиционные и пенсионные фонды. CLN торгуются анонимно через системы Euroclear / Clearstream, не предполагают листинг на бирже и наличие у компании кредитного рейтинга.
Секьюритизация активов
Секьюритизация – это превращение будущих денежных потоков, обеспеченных какими-то активами или правами требования, в ценные бумаги (для вас это означает деньги сейчас). Например, вы – девелопер, у вас есть офисное здание, в котором куча арендаторов, все с долгосрочными контрактами. Деньги от них вы понемногу получаете, но их недостаточно, чтобы затеять проект строительства следующего центра. В этом случае вы можете секьюритизировать поступления по аренде, то есть продать инвесторам права на будущие поступления арендных платежей. Таким образом, вы можете получить деньги, необходимые вам для дальнейших строительных проектов, уже сейчас. Такие ценные бумаги, обеспеченные будущими денежными потоками, называют ABS (Asset Backed Securities).
Обычно секьюритизируют:
• наборы ипотечных кредитов (так называемые MBS – Mortgage Based Securities);
• наборы потребительских кредитов, автокредитов;
• будущие поступления по лизинговым договорам;
• будущие поступления выручки по твердым контрактам (контрактам, в которых покупатель не может отказаться от своих обязательств без 100 % компенсации недополученной продавцом выручки).
Вот, например, данные по выпускам ABS в России на 2006 год (см. таблицу).

Обычно схема секьюритизации выглядит примерно следующим образом:

Оригинатор, то есть компания, которая хочет секьюритизировать свои активы (оригинаторов, кстати, в одной сделке по секьюритизации может быть несколько), передает активы в SPV (убирает их со своего баланса). SPV выступает эмитентом ABS. ABS размещают организаторы выпуска (инвестиционные банки). При этом оригинатор обычно продолжает обслуживать активы в качестве сервисного агента. Иными словами, когда банк секьюритизирует портфель ипотечных кредитов, его клиенты продолжают платить этому банку. Просто деньги, получаемые по этому кредиту, перечисляются платежному агенту, который из этих средств осуществляет регулярные выплаты держателям ABS. После продажи активов SPV оригинатор уже не несет дополнительных обязательств перед инвесторами ABS. Иными словами, в случае банкротства оригинатора держатели ABS могут обратить взыскание только на активы SPV.
Основная «фишка» секьюритизации, помимо ее роли в качестве инструмента «поднятия» финансирования, заключается в том, что, когда вы выделяете пул активов в SPV, кредитный рейтинг этих ABS будет зависеть от рискованности этих активов и может быть выше, чем ваш собственный кредитный рейтинг (соответственно, процент или дисконт по ABS будет ниже). Например, вы – банк, который секьюритизировал свои лучшие кредиты. У вас на балансе остались более рискованные кредиты. Кредитный рейтинг ABS, обеспеченных вашими «лучшими» кредитами, будет выше, чем кредитный рейтинг вашего банка, который остался с «худшими» по качеству кредитами. В этом случае вам финансирование с помощью ABS может обойтись дешевле займа или выпуска облигаций.
Иногда вы можете этого добиться за счет организации нескольких траншей ABS с различной степенью «старшинства». Например, транш А 35 % от общего объема активов SPV – выплаты по нему производятся в первую очередь. В этом случае этот транш будет наименее рискованным. Транш Б 65 % – выплаты по нему производятся после выплат по траншу А. Соответственно он будет более рискованным и будет иметь меньший кредитный рейтинг, что будет транслироваться в более высокий процент по займу транша Б.
Выбор между вариантами заемных средств
Обычно у финансового директора есть выбор между несколькими возможными источниками и способами финансирования. Как в этом случае нужно сделать выбор? Обычно в этом случае вы будете руководствоваться сначала стратегическими соображениями, то есть взглядом на структуру капитала, реакцию рынка на выпуск ценных бумаг, относительную «неудобность» ковенантов. Далее, если по-прежнему у вас останется выбор, вам придется сравнить предлагаемые варианты между собой. В этом случае разные опции привлечения заемного капитала вы будете оценивать по их относительной дороговизне. При этом вам придется сравнивать не только ставку по займу, но и все сопутствующие расходы, а также разницу в условиях, то есть в сроках займов.
Например, у вас есть два варианта финансирования с примерно одинаковыми ковенантами и суммой ($30 млн), но разными условиями:
• банковский кредит на 5 лет по ставке 11 % годовых. Тело кредита погашается двумя равными частями по истечении 4-го и 5-го года;
• CLN на 4 года по ставке в 1-й год 8 % годовых, во 2-й – 10,5, в 3-й – 11, в 4-й – 11,5 % годовых. Комиссия организатора составляет 2 %.
Как можно сравнить между собой эти две опции? В этом случае вам придется посчитать, какова будет эффективная процентная ставка по разным вариантам займа. Эффективная процентная ставка – не что иное, как IRR по денежным потокам кредита:

Как вы видите, в данном случае эффективная ставка по CLN ниже, то есть CLN вам привлекать выгоднее.
Глава 7
Венчурные фонды, IPO и прочие источники собственного капитала
В этой главе мы с вами поговорим о том, каким образом компания может привлекать собственный капитал, то есть деньги акционеров. Как и в предыдущей главе, мы рассмотрим способы финансирования в том порядке, в каком обычно сталкивается с ними компания в процессе своего развития:
• личные деньги основателей;
• бизнес-ангелы (Angel Investors или Business Angels);
• деньги венчурных фондов (Venture Capital);
• деньги частных инвестиционных фондов (Private Equity Capital);
• публичное размещение акций (Initial Public Offerings и Seasoned Equity Offerings).
Личные сбережения основателей
В момент своего появления компанию (молодая компания называется стартапом от англ. start-up company) финансирует предприниматель или команда предпринимателей. В этот момент у компании нет активов и кредитной истории. Заемный капитал в прямой форме ей недоступен. Обычно если такая компания и получает кредиты, то это кредиты, по которым поручителями являются основатели компании, обеспечивающие его залогом своего личного имущества. Поэтому до определенного момента деньги компания получает от своих основателей-инвесторов. Думаю, вы об этом догадывались, так что здесь никаких сюрпризов нет.
Каждый случай, когда предприниматель обращается к внешним источникам финансирования собственного капитала, называется раундом. Первые несколько раундов финансирования называются ранними раундами (early rounds of financing). Далее идут поздние раунды (late rounds of financing). Начальные этапы финансирования заканчиваются, как правило, проведением публичного размещения акций или продажей компании стратегическому инвестору.
Бизнес-ангелы
Если компания имеет перспективу, то в скором времени ей понадобятся новые деньги, которые уже превысят возможности ее основателей.
В первых раундах финансирования молодой компании на сцену обычно выступают бизнес-ангелы (angel investors). Бизнес-ангелы – это просто обеспеченные люди, которые часть своих сбережений хотят вложить в некое рискованное, но с их точки зрения перспективное предприятие. Многие из них – сами успешные предприниматели, владельцы бизнеса, которые либо до сих пор имеют такой бизнес, либо уже продали его и теперь своим участием поддерживают новичков. Исследования показывают, что типичный инвестор-ангел в США 47 лет от роду и имеет годовой доход в $90 000 в год.
Самим предпринимателям найти таких инвесторов непросто – обычно у начинающего предпринимателя таких связей нет. В связи с этим ангелы часто объединяются в клубы, информация о которых доступна. В этом случае предприниматель обычно приходит на заседание такого клуба с презентацией своей компании. Как правило, за один раз члены клуба заслушивают 5–7 подобных презентаций. Если компания понравилась какому-либо ангелу, он может договориться с предпринимателем об инвестировании в нее прямо на презентации. По статистике типичный ангел инвестирует в 3 компании из 10, которые он видит. При этом в среднем он инвестирует в компанию около $37 000, но суммы могут разниться от $3000 до $300 000.
Кроме денег, ангелы полезны компании во многих других аспектах ее развития. Как инвесторы, кровно заинтересованные в успехе компании, они используют для помощи компании свой личный предпринимательский опыт и связи. Например, они могут свести предпринимателя с необходимыми деловыми контактами, потенциальными клиентами, могут помочь получить какой-то контракт, просто посоветовать, что делать в определенной ситуации, и т. д. Ангелы никогда не покупают контрольную долю в компании, предпочитая оставаться миноритарными инвесторами.
Венчурные фонды
В следующих раундах финансирования после ангелов обычно в дело вступают венчурные капиталисты. Венчурные капиталисты управляют венчурными фондами. Как правило, структура создания венчурного фонда выглядит следующим образом (см. рисунок).
1. Компания, специализирующаяся на управлении венчурными фондами, создает новый фонд. Фонд организуется в виде партнерства с ограниченной ответственностью (Limited Liability Partnership). Фонд сам по себе – это всего лишь юридическое образование. Реальную работу будет делать управляющая компания. Далее в этой главе под словом «фонд» мы будем подразумевать управляющую компанию этого фонда.
2. Инвесторами (партнерами с ограниченной ответственностью) такого фонда обычно выступают частные лица, корпорации, банки и пенсионные фонды. Их взносы оформляются как доли партнеров с ограниченной ответственностью. Часто инвесторы вносят свою долю не «живыми» деньгами, а так называемыми коммитментами (commitments), то есть обещанием вложить определенную сумму в тот момент, когда эта сумма фонду понадобится. Здесь, правда, есть риск того, что в тот момент, когда сумма действительно понадобится, инвестор «передумает», но обычно за «передумает» предусмотрены определенные штрафы.
3. Венчурная компания обычно также вносит часть денег и становится управляющей компанией (управляющим партнером – general partner) фонда.

За свои услуги по управлению фондом венчурная компания получает вознаграждение примерно следующей структуры:
• ежегодную плату за управление – обычно 2 % от суммы инвестиций инвесторов в фонд;
• процент от суммы прибыли фонда по мере ее фиксации (обычно 20 % – так называемый carried interest, но, как правило, только в случае, если фонд заработал для инвесторов IRR не менее порогового значения, например 8 %);
• прибыль от своей доли взносов в фонде (пропорционально взносу венчурной компании).
Обычно фонды формируются на срок около 10 лет. То есть предполагается, что через 10 лет инвесторы получат назад все свои деньги и прибыль от инвестиций (см. жизненный цикл на рисунке). В этом случае:
• В течение первых 3−5 лет производятся инвестиции в портфельные компании. В среднем портфель венчурного фонда состоит из 9−12 компаний. Как правило, венчурные фонды покупают крупную долю в компании, но меньше контрольного пакета (иногда бывает и контрольный пакет). Объем инвестиций в одну компанию, как правило, исчисляется миллионами долларов.
• Далее в течение 3−7 лет фонд «нянчит» свои портфельные компании, развивает их. Обычно венчурные капиталисты плотно задействованы в операционной работе компании. Они, как и бизнес-ангелы, помогают молодой компании своими контактами и опытом, часто они помогают ей найти профессиональных менеджеров, которые понадобятся компании по мере ее роста.
• Цель фонда – в течение 3−5 лет выйти из капитала портфельной компании. Выход осуществляется либо через публичное размещение акций (IPO), о котором мы еще будем говорить в этой главе, либо через продажу своего пакета стратегическому инвестору. Деньги от выхода из инвестиций постепенно возвращаются инвесторам. В конечном итоге фонд выходит из всех своих инвестиций и закрывается. Обычно одна венчурная компания управляет несколькими фондами в разной стадии их «жизненного цикла».

Надо отметить, что, хотя на рисунке представлен жизненный цикл по стадиям, сами стадии по времени смешиваются между собой. Поиск объектов для инвестиций начинается еще в процессе формирования фонда. Когда партнеры управляющей компании собирают деньги для фонда, они, как правило, собирают их не просто так – в этот момент на примете уже есть цели для инвестирования.
Как мы уже говорили, у компании может быть несколько раундов финансирования. В результате после каждого раунда у нее могут появляться новые инвесторы (бизнес-ангелы, венчурные фонды). К моменту IPO или продажи компании «стратегу» в составе акционеров компании в разных долях обычно находятся основатели компании, ангелы, венчурные фонды и менеджеры.
Наиболее известные западные венчурные компании:
• Bain Capital Ventures;
• Fidelity Ventures;
• Quicksilver Ventures;
• Wellington Partners;
• Sequoia Capita.
В России венчурное инвестирование только начинает развиваться. Участников рынка здесь немного. Из самых известных можно назвать, наверное, Intel Capital. В 2009 году было также объявлено о создании венчурного фонда на основе средств госкорпорации «Роснано».
Фонды прямых инвестиций
Вообще понятие «фонды прямых инвестиций» (private equity) (иногда еще говорят «частные инвестиционные фонды») – это широкое понятие, которые включает в себя и венчурные фонды. Но на практике, когда мы говорим private equity, мы имеем в виду фонды, которые специализируются на инвестировании в уже сложившиеся компании. Такой фонд может войти в компанию в качестве портфельного инвестора. В этом случае компания обычно будет сложившимся бизнесом, который может существовать уже достаточно давно и которому просто требуется дополнительный собственный капитал без необходимости тратиться на IPO. Как альтернативный способ инвестирования, фонды прямых инвестиций могут осуществить байаут (выкуп акций с рынка – от англ. buyout).
Схема работы фонда прямых инвестиций и принципы инвестирования аналогичны венчурным фондам. Отличается лишь тип компаний, в которые инвестируют частные инвестиционные фонды, – это не стартапы, а уже сложившиеся компании. Кроме того, частные фонды прямых инвестиций часто приобретают контрольные пакеты своих портфельных компаний и меняют менеджеров. Это соответствует общей идеологии их работы: взять неэффективную компанию, «причесать» ее и продать уже дороже.
Наиболее известные международные компании, специализирующиеся на управлении частными инвестиционными фондами:
• Texas Pacific Group;
• The Carlyle Group;
• Kohlberg Kravis Roberts;
• Apollo Global Management;
• Bain Capital;
• CVC Capital Partners;
• The Blackstone Group;
• Apax Partners.
Классические фонды прямых инвестиций по структуре и составу инвесторов абсолютно аналогичны венчурным фондам. В России фонды прямых инвестиций развиты несравнимо лучше венчурных фондов. В нашей стране за последние пару десятков лет было много возможностей инвестировать в постепенно умирающие производственные активы, оптимизировать их операционную деятельность и потом вывести на IPO или продать стратегическому инвестору (например, крупной международной компании). Этим активно пользовались частные инвестиционные фонды, первые из которых появились в России под управлением крупных международных компаний, специализирующихся на управлении такими фондами. В 2008 году суммарные инвестиции фондов прямых инвестиций составили около $30 млрд (с учетом как «классических» фондов, управляющих деньгами западных инвесторов, так и «олигархических» фондов, инвестирующих средства крупных отечественных бизнесменов). Среди классических российских частных инвестиционных фондов (управляющих компаний фондов) можно назвать:
• Delta Private Equity;
• Svarog Capital Advisors;
• Baring Vostok Capital Partners;
• Russia Partners;
• UFG Asset Management;
• Marshall Capital Partners.
В качестве инвестора, подобного частным фондам, время от времени выступает и Европейский банк реконструкции и развития (EBRD), который в свое время к тому же поучаствовал в капитале ряда фондов прямых инвестиций, специализирующихся на инвестициях в российские компании.
Со временем с появлением достаточного начального капитала у наших «олигархов» они стали организовывать управление своими активами в виде компаний, которые позиционируют себя как частные инвестиционные фонды. В качестве примеров можно назвать «Базовый элемент» Олега Дерипаски, «Систему» Владимира Евтушенкова. Однако такие частные фонды сильно отличаются от «классических». В «классических» фондах инвесторы надеются на доход и не принимают активного участия в работе фонда. В фондах российских «олигархов» сами контролирующие акционеры принимают весьма активное участие в принятии ключевых решений фондов и их портфельных бизнесов. Фактически это не фонды, а штаб-квартиры диверсифицированных холдингов, управляющих компаниями в нескольких различных отраслях бизнеса.
Некоторые наши «олигархи» действительно организуют фонды, по своей работе похожие на классические. Такие фонды имеют профессиональных управляющих, в работу которых основной акционер вмешивается очень ограниченно. В качестве примера можно называть Svarog Capital Advisors. Вообще надо сказать, что в настоящее время бо́льшая часть денег фондов прямых инвестиций имеет российское происхождение. Причем если на Западе бо́льшая часть капитала фондов прямых инвестиций – это капитал крупных институциональных инвесторов (пенсионных или инвестиционных фондов), то в России это в основном частный капитал отечественных бизнесменов. Если взять весь «рынок» фондов прямых инвестиций, то на фонды с «западными» деньгами придется порядка 5−10 % всего рынка. Остальная часть – это «российские» фонды.
Получение денег от венчурных фондов и фондов прямых инвестиций
Предположим, что ваша новая компания нуждается в деньгах. Собственных денег больше нет, ангелы уже вложились, новые деньги нужны в приличном количестве. Остается идти к венчурным капиталистам или фондам прямых инвестиций. Продажа воздуха – доли в компании, которая не факт, что выживает, часто еще не выпустила на рынок свой продукт, а только имеет замечательную идею, – это очень непростой процесс. Никто его не любит. Все предприниматели его ненавидят. Но это надо сделать. Главное, помните, что заниматься поиском денег молодой компании надо задолго до того, как эти деньги понадобятся. Процесс может занять существенное время.
Что ищут венчурные капиталисты в новой компании? Примерно следующее:
• вашу личную мотивацию (сколько вы вложили собственных средств? Ваш бизнес для вас – единственная работа или совместительство? Вы взяли кредит под залог квартиры или продали машину, чтобы профинансировать бизнес?);
• профессиональную и мотивированную команду;
• уверенность в успехе, которую излучаете вы лично и ваша команда;
• продукт уже должен существовать или до окончания его разработки должно остаться не более года;
• бизнес-ангелов – если кто-то уже инвестировал, это дает дополнительную уверенность (особенно если ваш ангел – известный предприниматель);
• продуманный и рациональный бизнес-план;
• отсутствие необходимости в венчурном капитале. Вы привлекаете венчурных капиталистов, если они чувствуют, что особенно вам и не нужны.
Надо сказать, что одним из основных факторов, влияющих на инвестирование фондами, является индустрия, в которой работает компания. Фонды стараются работать в индустриях, которые по прогнозам должны существенно вырасти в течение ближайших пяти лет (см. рисунок).

Именно такой общий рост индустрии дает фонду более приемлемый риск – даже если компания не будет выдающейся, просто за счет роста рынка и роста компании вместе с рынком венчурный капиталист (VC) сможет получить необходимый ему возврат на инвестиции. Поэтому VC и частные инвестиционные фонды не обязательно инвестируют деньги только в информационные технологии, биотехнологии или прочие высокие технологии, как часто думают. Они инвестируют туда, где есть рост. Например, в России в 2003–2008 годах серьезный рост был в очень многих индустриях: розничной торговле, девелопменте, банковских услугах, медийном бизнесе. Поэтому очень большая часть денег инвестиционных фондов в России шла не в высокие технологии, а в эти вроде бы очень приземленные индустрии. Иными словами, какими бы замечательными, талантливыми и подходящими под вышеописанные критерии ни были предприниматель, его компания и команда, если они работают в секторе низкого роста, они не получат денег от VC.
В период роста рынка показатели компаний-«победителей» и компаний-«лузеров» выглядят очень похоже. Для VC важно выйти из инвестиции до того, как наступит фаза «зрелости» индустрии и замедления роста, чтобы получить свои деньги даже в случае ошибки (см. рисунок).
Таким образом, при правильном подборе индустрии вложения фондов не несут в себе такой уж большой риск. Главная цель VC – не найти новую суперидею, как многие думают, а найти хороших менеджеров в перспективной индустрии.

Как пройти весь процесс
Как будет выглядеть весь процесс получения денег от VC? Примерно так (см. рисунок).
Поскольку процесс получения денег от венчурных фондов и фондов прямых инвестиций очень схож, чтобы не повторяться по два раза, мы в этой части главы будем одновременно говорить обо всех типах частных инвестиционных фондов, включая и венчурные фонды, и фонды прямых инвестиций. Под понятием «венчурный капиталист» мы также одновременно будем иметь в виду и понятие «менеджер фонда прямых инвестиций» – логика и порядок работы с ними будут одинаковы.
Поиск фондов
Первое, что вам нужно найти, – это, собственно, сами фонды. В США в силу развитости предпринимательства это не так сложно. Действительно, когда я учился и жил в США, меня просто поражали количество новых компаний, которые там появляются каждый день, удобство инфраструктуры для ведения бизнеса, сам предпринимательский дух, которым просто пронизаны отдельные территории, такие как Кремниевая долина или Бостон. В США финансирование новых компаний с помощью частных инвестиционных фондов и бизнес-ангелов – это огромная индустрия. Существует множество фондов, информацию о них найти очень легко, порядок работы с ними понятен и стандартен. В общем, США – реально рай для предпринимателей.

В России пока развитость всех компонентов предпринимательства отстает на много порядков. Поэтому для вас главный инструмент поиска – Интернет. В российском Рунете можно найти информацию о частных инвестиционных фондах. Интересно, что иногда в России из-за нехватки нормальных предложений фонды сами начинают организовывать новые бизнесы в перспективных областях. Так, например, Delta Private Equity в России в свое время с нуля создал «Дельта-банк» и банк «Дельта-Кредит». В России сотрудникам частных инвестиционных фондов в период бурного роста российской экономики в 2000–2008 годах в большей степени приходилось самим «бегать» за потенциальными клиентами. Правда, с наступлением кризиса в 2008 году ситуация изменилась с точностью до наоборот – уже управляющие компании фондов завалены бизнес-планами.
Надо сказать, что индустрия фондов прямых инвестиций очень циклична. В периоды кризисов возможность «поднятия» новых фондов для управляющих компаний практически закрывается. Одновременно с этим растет количество компаний, которым нужны инвестиции. Такой вот парадокс – в периоды кризисов компаниям нужны деньги, которых у фондов нет. В периоды подъемов денег много, а вот качественных объектов инвестиций не хватает.
Интернет – это не единственный инструмент. Ваши шансы значительно возрастут, если вы не просто пошлете бизнес-план своей компании на почтовый адрес фонда, но найдете кого-то, кто сможет вас вывести на венчурного капиталиста. Это могут быть ваши друзья, вузовские преподаватели, другие предприниматели, знакомые, знакомые знакомых – в общем, все средства хороши.
Прежде чем посылать бизнес-план в венчурный фонд, его нужно составить. Есть масса дополнительной литературы по составлению бизнес-планов, поэтому подробности здесь разжевывать не буду. Идея проста: ваш бизнес-план должен быть оптимистичен, логичен и должен иметь ту «изюминку» в стратегии, продукте или бизнес-модели, которая выделит его из кучи других бизнес-планов. Он должен внушать уверенность в успехе. В год венчурные фонды получают тысячи бизнес-планов. Из этой кучи 90 % сразу идет в мусорную корзину. Из оставшихся 10 % еще 90 % снова идет в корзину после некоторого изучения. И только 2–3 компании в результате получат финансирование. Вы должны сделать все, чтобы ваш бизнес-план не попал в эти «корзинные» 99 %.
Оценка компании
Если ваш бизнес-план заинтересовал сотрудника фонда, он начнет его проверять. Он проведет анализ индустрии, первичную проверку ваших данных (например, позвонит основным клиентам, чтобы проверить, что вы действительно что-то им продали). Одновременно с этим он будет оценивать компанию, чтобы понять, сколько денег и за какую долю в компании может заплатить фонд.
При оценке компании, то есть при определении того, сколько денег за какую долю в капитале фонд может дать компании, венчурные капиталисты пользуются особенным методом. Мы еще будем подробнее говорить о различных методах оценки стоимости компаний в главе «Слияния и поглощения». Здесь пока скажу, что венчурные капиталисты используют метод «от обратного».
• Сначала считается стоимость компании в момент предполагаемого выхода фонда из этой инвестиции (обычно 3–7 лет). Здесь очень часто оценка делается по методу использования мультипликаторов. Мы еще будем подробнее говорить об этом методе в главе «Оценка компаний». Сейчас лишь отмечу, что этот метод также приводит к цикличности развития индустрии фондов прямых инвестиций. Во время экономического спада оценки с помощью мультипликаторов обычно сильно снижаются. В этот же момент у владельцев бизнеса в головах сидят оценки, которые давались компаниям в момент роста экономики. В этом случае владелец компании не может «переварить» гораздо более низкие цифры оценки, которые ему предлагает фонд. В результате в периоды кризисов в инвестициях фонда наступает затишье. Вот, например, фрагмент интервью Алексея Калинина, соуправляющего партнера Baring Vostok Capital Partners журналу «Финанс»:
[С наступлением кризиса в России] владельцы частных бизнесов еще не скорректировали свои ожидания. У них в голове остались какие-то старые мультипликаторы и оценки. Ведь люди всегда исходят от достигнутого. Как это? В прошлом году моя компания стоила 10 EBITDA, почему сегодня она должна стоить 5?! Люди считают, что те предложения, которые мы им сегодня делаем, несправедливы.
Помните, что оценка вашей компании фондом будет существенно зависеть от текущей ситуации в экономике.
• Далее полученная стоимость дисконтируется к текущему моменту по ставке желаемого возврата на капитал фонда. Обычно венчурные фонды специализируются на различных раундах финансирования компаний. Для фондов, специализирующихся на ранних раундах в связи с более высоким риском обычно ставка дисконтирования составляет 50–70 %. Для «поздних» специалистов – 30–40 %. Таким образом, фонд получает для себя цифру «текущей» стоимости компании. Далее, соответственно, фонд считает: либо сколько денег он готов дать компании за определенную долю, либо какую долю компании он хочет получить за запрашиваемую у него сумму. Например, у вас есть компания, в которой вы по своему бизнес-плану ожидаете через пять лет чистую прибыль в $1,33 млн (с учетом того, что вы инвестируете $1 млн финансирования, который вы просите у фонда и больше внешнего финансирования вам не понадобится). Обычно при оценке венчурный капиталист будет использовать мультипликаторы, например, стоимость компании составит 15-кратную чистую прибыль, то есть через пять лет ваша компания будет стоить 15 × $1,33 = $20 млн. Далее он дисконтирует стоимость назад на 5 лет, то есть к моменту инвестирования. Предположим, что его целевой возврат составляет 40 %. Тогда предполагаемая стоимость «сейчас» (текущая дисконтированная стоимость компании) составит 20 / (1 + 40 %)5 = $3,72 млн. Соответственно, если вы просите у фонда $1 млн инвестиций, то он потребует у вас за это минимум 1 / 3,72 = 27 % акционерного капитала (возможно, больше, чтобы дополнительно перестраховаться). Ставку дисконтирования по годам венчурные капиталисты могут менять в зависимости от того, на какой стадии развития будет находиться ваша компания в каждый период. Например:

К чему я это говорю? Составляя свой бизнес-план, ставьте себя на место венчурного капиталиста. Согласно вашим расчетам вы сможете выдать венчурному капиталисту требуемый ему возврат? Если нет, то не стоит и показывать ему бизнес-план. Помните, что деньги фондов – это очень дорогие деньги. Их стоимость для вас – 40–50 % годовых!
Такие высокие ставки дисконтирования объясняются высоким риском вложения в компании на начальной стадии их существования – высок процент неудач (в среднем по статистике итоговый IRR венчурных фондов составляет 17,5 %). Бо́льшая часть компаний фонда, несмотря на все усилия менеджеров фонда и компаний, едва сможет вернуть вложенный капитал. Некоторые станут 100 %-ными потерями. Реальными победителями станут только одна-две компании фонда, которые и обеспечат IRR в 30 % всему фонду. Именно на таких компаниях и строится репутация венчурных капиталистов.
В среднем разбивка успеха $1000 инвестиций фонда будет выглядеть примерно следующим образом:

Результатом работы венчурного капиталиста станет инвестиционный меморандум, который он презентует инвестиционному комитету фонда. Решения в венчурных фондах обычно принимаются инвестиционным комитетом, в который входят топ-менеджеры фонда. Иногда дополнительно решения об инвестировании утверждаются наблюдательным советом фонда, в который входят либо контролирующие инвесторы фонда (в России), либо представители «материнской» компании фонда (для российских фондов, которыми управляют крупные и известные западные управляющие компании).
Если получены необходимые положительные решения комитетов, то венчурный капиталист, работающий с вашей компанией, высылает вам инвестиционное предложение.
Инвестиционное предложение
Инвестиционное предложение (term sheet) – это те условия, на которых фонд готов инвестировать в вашу компанию. Обычно этот документ содержит положения, защищающие интересы фонда в случае неудачи компании и дающие ему массу преференций в случае, если компания «пойдет вверх». Давайте посмотрим на основные моменты, которые часто появляются в таких документах.
Тип инвестирования
Обычно венчурные капиталисты за свои деньги получают привилегированные акции с правом их конвертации в обыкновенные. Почему это делается? Дело в том, что при возможной ликвидации компании владельцы привилегированных акций будут иметь приоритет над владельцами обыкновенных. При этом по привилегированным акциям, согласно условиям инвестиционного предложения, должны начисляться дивиденды. Компания может их и не выплачивать, но тогда они «копятся». Если что-то не получится, то сначала фонд выведет из компании что сможет (обычно инвестированную сумму плюс накопленные дивиденды), а потом уже остаток (если вообще что-то останется) отдадут другим акционерам. Такое положение в инвестиционном предложении называется пунктом о ликвидации (liquidation provision).
Процент приобретаемых акций
Мы уже говорили о том, как фонды будут высчитывать минимальный процент доли в компании, который они готовы взять за свои деньги. Это, конечно, предмет для торговли между предпринимателем и фондом (как и другие положения инвестиционного предложения). Но здесь есть один любопытный момент. Обычно определенную долю в компании фонд требует зарезервировать для опционного пула, то есть опционов для менеджеров (см. пример на рисунке).

Опционы для всей команды молодой компании – это 100 %-ный необходимый мотивационный момент, на наличии которого настаивают практически все инвесторы. В России, где в основном инвестиции фондов идут в более зрелые компании, опционный пул обычно составляет 5−15 % общего количества акций. Для стартапа доля опционного пула может достигать 25 %.
Наличие опционного пула не влияет на долю VC (фонда), но влияет на долю основателей после вложения денег фондом. Сравните два варианта сделки:

Как видите, несмотря на более высокую оценку компании pre-money во втором случае, после входа VC из-за создания опционного пула у основателей останется меньшая доля компании.
Условия получения денег
Поскольку вложение денег в компанию, у которой часто нет выручки и даже продукта – это дело рискованное, венчурные капиталисты стараются распределить свои деньги во времени, чтобы снизить риски потерь в случае неудачи разработки или коммерциализации продукта. В этом случае в инвестиционном предложении вы часто увидите условия, при которых часть денег может быть получена не сразу. Обычно бывает два типа таких условий:
• изменение суммы инвестиций в случае невыполнения каких-то условий. Сейчас компания получает Х долларов, далее к определенной дате получает еще Y долларов при выполнении условий А, Б и В. В этом случае капитал от VC в компанию поступает траншами;
• изменение доли VC в случае невыполнения каких-то условий. Сейчас компания получает X долларов по цене акций VC в Y долларов за акцию, однако если к определенной дате не будут выполнены условия А, Б и В, то доля VC в компании увеличивается исходя из оценки акций в Z долларов за акцию. Это так называемое условие репрайсинга.
В качестве условий А, Б и В в данном примере могут фигурировать следующее:
• Компания заключила твердые контракты на поставку продукта на сумму не менее Х долларов.
• Компания завершила бета-тестирование продукта.
• Компания не отклонилась от указанных в бизнес-плане показателей выручки, затрат и численности персонала более чем на 20 %.
Автоматическая регистрация
Обычно в инвестиционных предложениях указывается, что в случае размещения акций компании на бирже VC автоматически конвертирует принадлежащие ему привилегированные акции в обыкновенные. Кроме того, VC обычно выдает себе так называемые piggyback rights, которые означают, что в случае регистрации проспекта эмиссии акций компании акции VC включаются в регистрацию пропорционально включенным в нее акциям основателей.
Операции с акциями
Обычно в инвестиционных предложениях фигурируют несколько условий, ограничивающих права акционеров и фондов на операции с акциями. Можно называть несколько наиболее часто встречающихся примеров:
• Право преимущественного выкупа существующими акционерами акций в случае, если один из акционеров решает продать свои акции (preemption right). Иными словами, прежде чем продать свои акции внешнему инвестору акционер должен предложить их по той же цене существующим акционерам.
• Право преимущественного выкупа акционерами дополнительной эмиссии акций в случае проведения такой эмиссии.
• Право принудительной продажи акций миноритарными акционерами в случае продажи контрольного пакета (так называемое drag-along right). Например, если VC приобретает контрольный пакет и затем продает компанию полностью другому инвестору, при использовании этого права VC может потребовать у прочих миноритарных акционеров продать новому инвестору оставшиеся акции по той же цене.
• Право участия акционеров в продаже акций стороннему инвестору (tag-along right). Если контролирующий акционер продает стороннему инвестору часть своего пакета, фонд в этом случае будет иметь право также продать этому инвестору часть своего пакета (обычно pro rata к общей доле владения акциями компании на момент сделки).
• Запрет на продажу акций сторонним инвесторам в течение определенного промежутка времени (такое обязательство на себя может взять как фонд, так и акционеры компании).
• Преимущественное право продажи акций фондом при проведении IPO. То есть при проведении IPO фонд оставляет за собой право первым продать свою долю (до акционеров) либо продать ее pro rata с акционерами.
Антиразмывание
VC обычно старается защитить себя от размывания своего пакета в случае, если в следующих раундах финансирования оценка компании будет снижена, то есть новые акции будут выпущены по цене ниже той, которую получил VC (так называемый down round). Обычно это делается с помощью изменения коэффициента обмена акций VC. В этом случае бывают два типа условий антиразмывания:
• полный репрайсинг (full ratchet);
• средневзвешенный репрайсинг (weighted-average).

Лучше всего посмотреть реализацию этого условия на примере.
• У компании 700 000 акций.
• Раунд А – компания получила $600 000 по $2 за акцию, то есть выпустила дополнительно 300 000 акций (всего стало 1 млн акций, из которых у VC 30 %).
• Раунд Б – компания получает от другого инвестора $300 000 по $1,50 за акцию (200 000 новых акций).
Как вы понимаете, полный репрайсинг – значительное более «жесткое» условие, чем средневзвешенный. При полном репрайсинге после второго раунда финансирования доля фонда даже увеличилась. Без репрайсинга доля фонда составила бы 300 / 1200 = 25 %.
Надо сказать, что хотя антиразмывание в США – обычная практика, в России условия антиразмывания в инвестиционных предложениях встречаются редко.
Возврат денег фонду
Поскольку у фонда есть определенный горизонт выхода из инвестиций, фонд обычно включает в инвестиционное предложение условия, которые будут давать основателям компании мотивацию вывести VC из капитала их компании. Обычно такое условие выглядит следующим образом.
После, скажем, 5 лет инвестиций каждый год компания обязуется возвратить фонду по одной трети купленных им акций (то есть по 1 / 3 суммы инвестиций), а также дивидендов, начисленных, но не выплаченных по этим акциям. В случае если компания этого не делает, цена конверсии акций понижается на 5 % в квартал. При этом каждый квартал проводится репрайсинг доли фонда.
Иными словами, при данных условиях, если компания в течение 5 лет не провела IPO или не сумела организовать продажу доли VC стратегическому инвестору, то постепенно доля основателей начинает снижаться (за счет репрайсинга акций VC).
Контроль управления
Хотя VC обычно приобретают привилегированные акции, в инвестиционное предложение они закладывают пункт о том, что в совете директоров компании они должны иметь представительство согласно своей доле акций, как если бы они были обыкновенными.
Кроме того, здесь же обычно оговаривается, какие решения должны приниматься голосованием квалифицированного большинства (больше 2 / 3 голосов или вообще единогласно) на совете директоров. Иногда предложение оговаривает право вето VC на определенные решения компании. В категорию таких решений обычно входят:
• продажа крупных активов;
• слияние;
• ликвидация;
• изменение устава;
• изменение числа членов совета директоров;
• выпуск новых акций.
Обычно в инвестиционном соглашении подробно проговаривается уровень решения всех основных категорий вопросов. Например:
• эмиссия акций, изменение устава – единогласное решение всех членов совета директоров;
• продажа крупных активов – 2 / 3 голосов членов совета директоров;
• прочие вопросы – простое большинство.
Эти пункты после подписания сделки включаются в устав компании.
Эксклюзивность
Это запрет компании на переговоры с другими фондами на определенный срок (в США обычно 30 дней, в России – 60–90 дней) после подписания компанией инвестиционного предложения (так называемое no-shop provision). Обратите внимание, что обычно по условиям инвестиционного предложения компания не может искать новых инвесторов, но при этом фонд не дает твердых гарантий инвестиций. То есть до момента подписания договора о покупке доли в компании VC может и отказаться от инвестирования.
Конфиденциальность
Стандартный пункт, говорящий о том, что компания не должна никому раскрывать условия инвестиционного предложения без письменного разрешения VC.
Сроки подписания
Как правило, срок, который дается компании на обдумывание венчурными капиталистами, крайне мал. Что-то вроде «подпишите сегодня до полуночи или все договоренности недействительны».
Работа с инвестиционным предложением
Как вы видите, VC – это дорогой и сложный источник финансирования. Но таков бизнес венчурных фондов. У частных инвестиционных фондов требования могут быть менее жесткими, так как они специализируются на менее рискованных бизнесах. Тем не менее венчурное финансирование – это, по сути, эквивалент кредита под 40–50 % годовых с кучей жестких ковенант.
Инвестиционное предложение – это предмет для переговоров. До момента его подписания вы вполне можете вести переговоры с несколькими фондами. Если вы понимаете, что к вам есть серьезный интерес со стороны нескольких фондов, вы можете немного надавить на них, дав им крайний срок (еще говорят – дедлайн, от англ. – deadline) для подачи инвестиционных предложений. Обычно когда у вас есть предложение от одного фонда, начинают звонить и другие – это не просто стадное чувство. На самом деле это нормальное использование диверсификации портфеля. Часто в одну компанию инвестируют несколько фондов. Распределив риск компании между собой, они могут еще больше снизить риск своего портфеля. Кроме того, это позволяет снизить нагрузку на партнеров фондов (партнер – это высший ранг менеджера фонда) – можно проводить с компанией меньше времени.
При сравнении между собой инвестиционных предложений нескольких VC вы составите сравнительную таблицу примерно следующего содержания:

Расставив баллы и приоритеты, далее вы должны будете сделать выбор.
После подписания вами инвестиционного предложения начинает этап комплексного аудита бизнеса (due diligence).
Due Diligence
Комплексный аудит (на практике говорят «дью дилидженс», или просто «ди-ди») позволяет VC выяснить, говорит ли предприниматель в своем бизнес-плане «правду, только правду, ничего кроме правды» или в шкафу его лично или его компании есть какие-то скелеты.
Due diligence обычно сосредотачивается на проверке:
• бизнес-модели (какой рынок существует для продукта компании);
• технической осуществимости проекта (возможности сделать реально работающий продукт);
• юридических вопросов (есть ли у компании необходимая интеллектуальная собственность, нет ли судебных исков);
• личностная проверка деловой репутации команды менеджеров компании (не разыскивает ли их милиция или налоговая полиция, не было ли случаев, когда они «кидали» инвесторов).
К проверке VC могут привлекать сторонних экспертов-консультантов, аудиторов. Проверка может занять несколько недель, и при выявлении каких-то сильно негативных данных VC может либо отказаться от инвестирования, либо изменить условия. «Солидные» фонды обычно не меняют условия инвестиционного предложения по результатам due diligence, если только проверка не выявила что-то экстраординарное.
По итогам due diligence VC составляет соглашение о покупке акций компании, которое и предоставляет компании.
Получение денег
Итак, обычно через 6–8 недель после получения инвестиционного предложения, в случае если все прошло нормально, вы получаете деньги и начинаете жить с новым инвестором.
Частное размещение акций
Помимо привлечения в качестве инвесторов фондов и бизнес-ангелов, компании могут привлекать частное финансирование от других компаний. В этом случае определенную часть акций выкупает некое юридическое лицо, которое не является управляющей компанией, венчурным фондом или фондом прямых инвестиций.
По сути, это юридическое лицо будет выступать в роли бизнес-ангела. В России привлечение капитала, таким образом, регулируется только положениями устава компании. В США существуют определенные лимиты и ограничения на частное размещение акций (пример вы видели в истории Centex).
Размещение акций на бирже
В определенный момент своего развития частная компания может решить предложить свои акции широкой публике, то есть провести Initial Public Offering, или, как чаще говорят, «ай-пи-о» (IPO). Почему компании принимают решения о выходе на IPO? Есть много возможных причин.
• Компания не может взять деньги в долг или найти дополнительных частных инвесторов. Например, это компания – разработчик программного обеспечения, у нее нет активов, которые можно предложить банкам в залог.
• Компании нужно «поправить» свою структуру капитала.
• Инвесторы компании, такие как венчурные фонды, форсируют IPO, чтобы выйти из своей инвестиции.
• Основатели компании хотят «откэшиться», то есть продать свои акции, получить деньги за труды и уйти на пенсию (или заняться новым бизнесом).
• Контролирующий акционер хочет знать, «сколько он стоит», чтобы, например, понять, где он стоит в списке Forbes, и т. д. и т. п.
Как и у всякого решения, у IPO есть свои положительные и отрицательные стороны, которые компании надо взвесить при принятии решения о выходе на IPO:

IPO не обязательно проводят молодые компании, такие как Netscape или Google. Достаточно часто проводятся IPO вполне зрелых бизнесов:
• если частной компании нужны деньги на поглощения (например, Goldman Sachs, UPS);
• если большая компания проводит так называемый spin-off, то есть когда одно из ее подразделений выделяется в самостоятельную публичную компанию (например, Agilent из Hewlett-Packard, Kraft Foods из Philip Morris).
Давайте посмотрим, как проходит процесс IPO и на что нужно в нем обратить внимание.
Как проводить IPO
Процесс выведения компании на биржу выглядит примерно следующим образом (см. рисунок).

Вот также иллюстративно график проведения IPO.

Процесс размещения занимает в среднем 3–4 месяца. Давайте посмотрим, что делает компания на каждом этапе подготовки и проведения IPO.
Выбор площадки (места листинга)
После того как вы решили делать IPO, первый вопрос, на который вам предстоит дать ответ, – на какой площадке вы будете выпускать свои акции. Это не обязательно должна быть одна площадка, но вам нужно четко определить, где именно будут торговаться ваши акции. Во-первых, от этого выбора будет зависеть степень необходимой подготовки вашей компании – у каждой биржевой площадки свои требования. Во-вторых, от этого будет зависеть ваш дальнейший выбор организатора. Разные банки имеют более или менее сильные позиции на разных торговых площадках.
Наиболее популярными у российских инвесторов площадками являются Лондонская фондовая биржа в Великобритании и ММВБ в России. Вот, например, где размещались российские компании в 2006–2008 годах (см. таблицу).


У каждой биржи есть свои достоинства и недостатки. Основные различия заключаются в:
• ликвидности биржи;
• требованиях биржи к раскрытию информации при регистрации проспекта эмиссии;
• стоимости и процедуре регистрации эмиссии;
• требованиях к отчетности инвесторов;
• требованиях к качеству корпоративного управления (наличие и требования к совету директоров, процедурам внутреннего контроля и т. д.).
Наиболее мягкие требования к отечественным эмитентам у российских бирж, наиболее жесткие – у американских (не только к российским – к международным вообще). Вот сравнительная характеристика некоторых торговых площадок (см. таблицу).
Основное преимущество зарубежных площадок – высокая емкость рынков капитала (легче привлечь большие суммы) и высокая ликвидность (очень много инвесторов, которые могут продать/купить ваши бумаги). Основная проблема российских площадок – их низкая ликвидность. На российском рынке пока легко купить/продать акции всего нескольких десятков компаний – в основном это крупнейшие российские «голубые фишки», вроде Сбербанка, «Лукойла» или «Газпрома». В результате, размещаясь на российских площадках, вы теряете (или, скажем так, существенно затрудняете себе) некоторые преимущества IPO, такие как, например, возможность использовать ваши акции в качестве средства оплаты при покупке для компаний. Поэтому большая часть публичных размещений российских эмитентов пока проходит за рубежом (см. рисунок).

Кроме самих биржевых площадок при биржах существуют и так называемые альтернативные площадки, которые в основном предназначены для торговли акциями небольших компаний. Требования к эмитентам на этих площадках ниже, чем для основных площадок, но и ликвидность торговли акциями на них ниже. В качестве примера можно привести лондонскую AIM (Alternative Investment Market). В США в качестве такой «упрощенной» биржи работает NASDAQ.
Подготовка компании к IPO
Выбор площадки будет определять уровень подготовки вашей компании к IPO. Что имеется в виду под словом «подготовка»? На самом деле разместиться на бирже сможет любая компания, если она формально может удовлетворить требования биржи. Весь вопрос в том, насколько успешным будет размещение. Безусловно, чем более компания «прозрачна», то есть чем больше ее структура управления соответствует мировым стандартам, чем более правдивую и полную информацию она предоставляет инвесторам, тем меньше асимметричность информации. В этом случае инвесторы будут ниже оценивать риски своих вложений в такую компанию и, соответственно, дадут более высокую цену за ее акции.
Подготовка обычно заключается в следующем:
• наладка нормальной системы формирования периодической финансовой отчетности (для серьезного размещения нужна отчетность как по российским стандартам, так и по МСФО);
• внедрение стандартных процедур финансового контроля, планирования и бюджетирования;
• проведение аудита финансовой отчетности;
• разработка и принятие проработанной стратегии компании;
• создание общепринятых механизмов корпоративного управления, таких как совет директоров, включающий независимых членов, комитеты совета директоров (например, комитет по аудиту, комитет по вознаграждениям и т. д.);
• создание прозрачной юридической структуры организации компании – поменьше перекрестного владения, «дочек» и прочих штук, запутывающих и отпугивающих инвесторов.
На самом деле, даже если ваша компания в конечном итоге решит не выходить на IPO, подготовка будет для нее полезным занятием. Часто для помощи в процессе причесывания компании к IPO она предварительно нанимает внешних консультантов.
Как мы уже говорили, в качестве одного из этапов подготовки к IPO бывает очень полезно выйти на публичные рынки в качестве заемщика, то есть выпустить облигации. Выпуск облигаций по своим требованиям и процессу напоминает IPO. При этом инвесторы начинают вас узнавать – к моменту IPO у вас уже сложится какая-то история общения с ними. В этом случае при IPO они также будут оценивать свои риски инвестирования в вас гораздо ниже, что отразится на количестве приобретаемых у вас акций и цене, которую за них готовы будут предложить потенциальные инвесторы.
Выбор срока размещения
Важный момент – это выбор срока, когда вы хотите разместить свои акции на бирже. С одной стороны, этот выбор может диктоваться потребностями в капитале. Но, с другой стороны, у фондовых рынков есть одна существенная особенность: рынки IPO очень цикличны. IPO идут «волнами», и неудачный выбор срока может привести к тому, что вы не получите за свои акции ту цену, на которую рассчитывали (см. объемы IPO в денежном выражении по годам на рисунке).

В условиях «плохого» рынка цена, которую готовы дать за акции компании инвесторы, часто не устраивает компанию. В этих случаях бывает, что компании отменяют или откладывают ранее запланированные размещения. Например, в мае 2010 года российский «Уралкалий» отменил свое IPO в Лондоне, так как его основного акционера (Дмитрия Рыболовлева) не устроила цена, которую предложили за акции инвесторы.
Выбор партнеров
Как и в случае с публичным долгом, самостоятельно провести IPO вы не сможете. Обычно вам понадобятся:
• организаторы выпуска (глобальные координаторы, лид-менеджеры, андеррайтеры), то есть инвестиционные банки, которые будут помогать вам организовывать IPO;
• юридические компании, которые будут помогать вам готовить документы, а также будут проводить юридический due diligence;
• аудиторы, которые будут проводить аудит вашей финансовой отчетности, а также будут делать due diligence, чтобы подтвердить те заявления, которые вы будете делать в проспекте эмиссии и других официальных документах;
• депозитарий, то есть компания, которая будет вести реестр акционеров и учет операций с вашими акциями;
• возможно, консультанты, которые будут вам помогать в каких-то аспектах проведения IPO (например, PR-агентство для формирования положительного имиджа компании в ходе подготовки IPO).
Основной выбор, который вам предстоит сделать сразу, это выбор инвестиционного банка, который будет выполнять роль главного банка в организации IPO. Его называют глобальным координатором и букраннером (global coordinator and bookrunner). Этот банк будет отвечать за заполнение книги заявок (book, отсюда – bookrunner). Выбор банка зависит от площадки, на которой вы хотите разместиться. Для Лондона или Нью-Йорка вы, скорее всего, выберете крупный международный инвестбанк из bulge bracket. Для размещения на РТС или ММВБ ваш выбор, скорее всего, упадет на российский банк. Для больших выпусков глобальных координаторов может быть двое – это позволяет создать между ними здоровую конкуренцию. Больше двух глобальных координаторов и букраннеров не бывает практически никогда.
Кроме глобальных координаторов, так же, как и в случае с синдицированными кредитами и облигациями, бывают банки с более «второстепенной» ролью – лид-менеджеры, ко-менеджеры. Все вместе они составляют синдикат. Мы разберем чуть дальше, чем различаются роли различных банков – участников синдиката в IPO.
Вознаграждение организаторов – это процент от размещения. Обычно этот уровень колеблется от 1 до 7 % в зависимости от размера вашего размещения и предыдущей публичной истории вашей компании. Часто организаторы за счет своей комиссии оплачивают собственные юридические и прочие накладные расходы. Так что по возможности постарайтесь не подписываться на оплату расходов организаторов.
Есть два типа обязательств, которые берет на себя глобальный координатор:
• Твердое размещение. В этом случае банк берет на себя обязательство полностью выкупить у компании эмиссию по согласованной в ходе подготовки IPO цене. Это наиболее распространенный тип обязательств организатора IPO.
• Наилучшие усилия (best effort). В этом случае организатор обязуется приложить все усилия, чтобы разместить ваши акции, но при этом ничего не гарантирует.
Надо сказать, что организаторы размещения, так же как и компания, очень заинтересованы в его успехе, так как это не только их непосредственный заработок, но и бренд. Неудачное размещение может убить будущий бизнес банка, приносящий существенные доходы, так что мотивация у организаторов, как правило, очень сильная.
Как выбирать глобального координатора? Обычно выбор строится на трех факторах:
• хорошая команда с опытом размещения на нужной вам площадке и в вашем секторе;
• авторитет и мнение о вашей компании аналитика банка, который будет освещать работу вашей компании;
• стоимость размещения.
Основа выбора – это хорошая команда. IPO для компании – ответственное мероприятие, завалить которое очень не хочется. Поэтому обычно в качестве организатора выбирают банк с именем и опытной командой. Как уже говорилось, из-за этого на выбор банка будет влиять выбор площадки размещения.
Второй важный фактор – мнение аналитика банка о вашей компании. До заключения с банком соглашения постарайтесь встретиться с аналитиком, который будет вас «покрывать» во время и после IPO, и узнайте его мнение о вашей компании. После заключения соглашения с организатором у вас такой возможности, скорее всего, не будет. Плохой отчет аналитика может испортить все IPO, поэтому отрицательное впечатление от встречи с аналитиком – это повод убрать его банк из списка организаторов.
Как ни странно, обычно стоимость размещения при выборе организатора играет последнюю роль. Во-первых, у банков одной группы она примерно одинакова. Во-вторых, как уже говорилось, для компании главное – успех IPO, так что в этом случае обычно компания готова заплатить чуть больше за то, чтобы все прошло «тип-топ».
Выбор юристов, как правило, вам предложит глобальный координатор. Аудиторов вы обычно сможете выбрать сами, но для крупных размещений в подавляющем большинстве случаев вы выберете кого-то из «большой четверки».
Депозитарий вам также предложит ваш букраннер. Интересно, что депозитарий – это единственная организация, которой будете платить не вы, а она вам. Депозитарий делает деньги за счет комиссий акционеров за ведение депозитарных операций. Для него ваше IPO – это новый денежный поток. Поэтому депозитарии обычно предлагают свои деньги вам за то, чтобы вы их выбрали. Выбор депозитария – это вопрос компромисса между условиями ведения реестра, которые предлагает депозитарий и теми деньгами, которые он предлагает компании за выбор.
После достижения соглашения с организатором и начала работы по IPO процесс разбивается на несколько параллельных потоков:
• определение структуры размещения;
• Due Diligence;
• подготовка и регистрация проспекта эмиссии;
• маркетинг выпуска.
Давайте рассмотрим каждый из них подробнее.
Определение структуры размещения
После выбора глобального координатора с его помощью вам надо будет выбрать структуру размещения. Структура размещения – это ответы на несколько вопросов:
• В каком виде вы будете размещать акции (в виде акций или депозитарных расписок)?
• Какой процент акций компании вы будете размещать?
• Какой процент из этих акций составит новая эмиссия (деньги, которые пойдут компании), а какой – продажа акций существующими акционерами?
Выбор формы размещения обычно зависит от площадки. В России акции торгуются в виде акций. На зарубежных площадках российские акции торгуются в виде депозитарных расписок. Депозитарные расписки – это сертификат, говорящий о том, что его владелец имеет право на количество акций, указанное в сертификате (обычно используется соотношение 1:1, то есть один сертификат на одну акцию, но бывают и другие варианты). Сами акции при этом якобы хранятся в банке-депозитарии. Чисто технически для инвесторов разницы нет – депозитарные расписки – всего лишь юридический механизм оформления владения акциями иностранных компаний. Бывает два основных вида расписок – ADR (American Depositary Receipts – американские депозитарные расписки, то есть расписки, которые могут обращаться только на рынках США) и GDR (Global Depository Receipts – глобальные депозитарные расписки, то есть расписки, которые могут обращаться во всем мире.
Количество акций, которые вы собираетесь выпустить в обращение – это важный момент, определяющий ликвидность ваших акций. Чем выше процент, то есть чем больше акций компании находятся в свободном обращении, тем легче инвесторам купить / продать акции, меньше спред между ценой покупки и продажи, выше ликвидность и, соответственно, точнее рыночная оценка компании. Для крупных компаний обычно организаторы предлагают выпустить на рынок не менее 20 % от общего количества акций компании (см. рисунки и таблицу), чтобы обеспечить хороший объем акций в обращении (free float). Хорошая предполагаемая ликвидность акций снижает риски инвесторов (им легче будет в случае необходимости продать акции), что ведет к более высокой оценке акции в ходе IPO.



Соотношение между первичными (то есть новыми) и вторичными акциями (то есть существующими акциями, которые намереваются продать существующие акционеры) также потенциально определяет отношение инвесторов к IPO. В этом случае скорее важно, хотят ли существующие акционеры и менеджеры полностью избавиться от своих акций (плохой признак) или оставляют себе значительное количество (хороший признак). Часто при IPO акционеры и менеджеры берут на себя так называемое «локап»-обязательство (от англ. lock-up, еще говорят – мораторий), то есть обязательство не продавать свои акции на рынке в течение определенного срока после IPO (см. таблицы).



Due Diligence
Основная цель due diligence в ходе подготовки к IPO – подтвердить правдивость информации, содержащейся во всех документах, которые рождаются в ходе подготовки, прежде всего проспекта эмиссии. Для ускорения процесса для компании очень полезно заранее подготовить документы, которые могут понадобиться на due diligence (учредительные документы, копии договоров, презентации по стратегии, финансовую отчетность и т. д. и т. п.). Обычно эти документы «складывают» в одно место, которое называется «комнатой данных» (data room). Наличие data room помогает ускорить процесс due diligence и все прочие подготовительные мероприятия – надо будет тратить меньше времени на поиск и формирование необходимых данных.
Как правило, due diligence разбивается на несколько компонентов:
• Бизнес due diligence. Его обычно проводит букраннер или отдельно нанятые консультанты. Здесь смотрится бизнес-модель компании, проверяются данные по росту рынка, обоснованность прогнозов и т. д.
• Юридический due diligence. Его проводят юридические консультанты команды IPO (юридическая фирма). Цель – подтвердить корректность структуры владения, отсутствие значимых судебных процессов, наличие или отсутствие залогов и других потенциальных юридических рисков, не упомянутых в документах для инвесторов.
• Финансовый due diligence. Его обычно проводят нанятые аудиторы. Помимо аудита финансовой отчетности за последние три года, сюда входит также исследование аудиторами различных финансовых аспектов работы бизнеса – наличие и условия задолженности, подтверждение наличия покупателей и условий контрактов с основными клиентами. Если компания до этого не вела финансовую отчетность, ей придется в срочном порядке ее делать и подвергать аудиту. Для европейских площадок обычно требуется аудированная финансовая отчетность по МСФО (или US GAAP для США). Для российских бирж достаточно финансовой отчетности по РСБУ. Кстати, финансовая отчетность для проведения IPO требуется достаточно свежая – обычно IPO необходимо провести не позднее чем через 5 месяцев после выпуска последнего аудированного комплекта финансовой отчетности. Это накладывает определенные ограничения на сроки окончания размещения акций.
По результатам due diligence его участники выдают свои заключения, которые обычно имеют вид так называемых «комфортных писем» (comfort letter). Комфортное письмо говорит примерно следующее: «Мы проверили такие-то данные в проспекте эмиссии и подтверждаем, что эти данные подтверждаются проверенными нами официальными документами компании».
Поскольку изменения в компании могут происходить на всем протяжении процесса подготовки IPO, процесс due diligence заканчивается только в момент выпуска официальных финальных версий документов, то есть проспекта эмиссии. До этого момента букраннеры и юристы будут постоянно требовать от аудиторов, участвующих в due diligence, подтверждения каких-то данных, подтверждения отсутствия изменений в этих данных за последние Х дней и т. д.
Подготовка и регистрация проспекта эмиссии
За подготовку и регистрацию проспекта эмиссии отвечает юридический консультант IPO. Проспект эмиссии – это официальный документ, который подается на регистрацию в специальные органы, контролирующие работу рынка ценных бумаг. В России это Федеральная служба по финансовым рынкам (ФСФР), в Великобритании – UK Listing Agency (Управление по листингу), в США – Securities and Exchange Commission (SEC – Комиссия по биржам и ценным бумагам).
Если вы собираетесь выпустить ваши акции в виде депозитарных расписок за рубежом, как правило, требуется, чтобы при этом у вас был национальный листинг, то есть до выпуска акций за границей вам придется провести листинг на отечественной бирже. После этого вам надо будет подать заявление на разрешение выпуска депозитарных расписок в ФСФР. Чтобы избежать лишних бюрократических процедур, некоторые российские компании, такие как, например, «Евразхолдинг» и X5 Retail Group, проводили IPO с использованием обходного маневра: они регистрировали за рубежом новую компанию, переводили на нее пакеты акций всех своих активов и затем проводили IPO уже иностранной компании. Формально при этом разрешения ФСФР не требовалось. Но чтобы не ссориться с российским регулятором, после этого компании обычно получали необходимые разрешения ФСФР «задним числом». Таким образом, соблюдалась процедура и ускорялся процесс IPO.
Требования к проспекту эмиссии у каждой площадки свои, но, как правило, проспект включает в себя следующую информацию.
• Данные о бизнесе и индустрии компании (что за индустрия, чем компания занимается, какую долю рынка имеет, какие активы входят в компанию и т. д.).
• Данные о юридической структуре компании, включая реальные имена ее текущих владельцев (физических лиц). Таким образом, надо понимать, что в проспекте эмиссии будут раскрываться реальные владельцы компании, а не некие офшорные компании, через которые обычно построены схемы владения российскими компаниями.
• Финансовая отчетность компании.
• Данные о выпуске – количество выпускаемых акций, количество первичных акций, форма выпуска, порядок проведения выпуска
• Цена – этот вопрос достаточно тонкий. Мы подробнее разберем ниже, как формируется цена размещения акций в процессе IPO. В большинстве случаев цена появляется практически в последнюю ночь перед началом торговли. До этого момента существует предварительный проспект, зарегистрированный компанией. Окончательный вариант проспекта регистрируется только после назначения цены выпуска.
Процесс оформления проспекта эмиссии обычно проходит в несколько циклов. Сначала в регулирующий орган подается предварительный вариант. Затем компания получает замечания от регулятора, эти замечания устраняются. Подается новый вариант. По нему опять могут быть замечания и вопросы и т. д. В течение 2–3 циклов все моменты с регулятором обычно утрясаются.
Презентация для инвестиционных банкиров
Самое важное направление в процессе IPO – это продажа ваших акций инвесторам, которую в процессе IPO называют маркетингом. Именно за это вы и платите львиную долю денег организаторам. Основные инструменты маркетинга – это презентации и аналитические отчеты, о которых мы дальше и поговорим.
Все презентации вам будет помогать делать букраннер. Первый маркетинговый документ, который рождается в процессе подготовки, – это внутренняя презентация инвестиционным банкирам. Цель презентации для инвестиционных банкиров – рассказать о вашей компании самим банкирам, прежде всего продавцам (сейлзам), которые впоследствии при маркетинге ваших акций будут обзванивать потенциальных инвесторов и «продавать» им вашу компанию. Основной упор в презентации для инвестиционных банкиров – это обоснование инвестиционного кейса компании. В презентации вы должны рассказать, почему акции вашей компании такие замечательные, и растолковать банкирам основные моменты, которые должны помочь им убедительнее прорекламировать ваши акции потенциальным инвесторам.
Презентацию вы (топ-менеджеры вашей компании) после ее готовности будете делать сейлзам банков-андеррайтеров, то есть участников синдиката размещения вашего IPO.
Презентация для аналитиков
Ключевой презентацией для компании в процессе маркетинга IPO является презентация аналитикам. Сейчас расскажу почему.
У каждого инвестиционного банка есть аналитическое подразделение. Аналитики выпускают отчеты, говорящие о перспективах акций компании. Мнение авторитетного аналитика очень ценится инвесторами. В процессе маркетинга IPO аналитики банков-организаторов будут выпускать отчеты. Эти отчеты передаются потенциальным инвесторам вместе с предварительным проспектом эмиссии. Оттого, насколько эти отчеты будут оптимистичными, во многом зависит желание инвесторов купить акции, а также цена, по которой инвесторы захотят приобрести акции вашей компании.
В связи с этим презентация компании для аналитиков – это один из ключевых моментов маркетинговой кампании IPO. Подготовка к такой презентации проходит очень серьезно. Это иногда выглядит немного забавно, так как банкиры на полном серьезе волнуются и тщательно готовятся к презентации для своего аналитика, который является сотрудником их банка. Дело в том, что по правилам работы инвестиционных банков (по крайней мере, ведущих) внутри банка существует «китайская стена» между подразделениями, которые занимаются инвестиционно-банковской деятельностью (организацией сделок), и аналитическими подразделениями. Инвестиционные банкиры не вправе оказывать какое бы то ни было давление на мнение аналитика. Сделано это было после ряда скандалов на Уолл-стрит, связанных с тем, что аналитики инвестиционных банков под давлением своих коллег из отделов по организации размещений акций выдавали восторженные прогнозы относительно акций некоторых компаний, IPO которых готовили их банки, чтобы «поспособствовать» популярности этих IPO. При этом аналитики сами понимали, что компании стоят значительно меньше (это вскрылось во время анализа внутренней переписки аналитиков в ходе расследования SEC). В общем, сейчас аналитики относительно свободны в своих суждениях, поэтому банкиры всерьез опасаются негативного впечатления презентации на аналитика.
После презентации в течение нескольких недель аналитики пишут отчеты. Затем начинается следующая стадия маркетинга – работа аналитиков с инвесторами. Организаторы посылают потенциальным инвесторам предварительный проспект эмиссии (его еще называют red herring – дословно «красная селедка»; такое название возникло из-за красного шрифта внизу каждой страницы проспекта, говорящего о том, что этот проспект – предварительный) вместе с аналитическим отчетом. Затем в течение какого-то времени инвесторы могут встречаться с аналитиком, чтобы спросить его мнение о компании, задать какие-то вопросы. Это первый этап маркетинга (то есть условной «продажи») акций компании инвесторам. Именно поэтому аналитический отчет так важен для процесса маркетинга – он создает у потенциальных инвесторов первое впечатление об IPO. Соответственно хороший отчет может подогреть интерес инвесторов к IPO, плохой – провалить IPO.
Следующим этапом маркетинга IPO становится роуд-шоу.
Роуд-шоу
Итак, после работы аналитиков мы считаем, что у инвесторов появляется интерес к компании. Его надо усилить мощным ударом. Поэтому следующим этапом маркетинга после работы аналитиков является роуд-шоу. Роуд-шоу – это «гвоздь программы» маркетинга IPO компании. Называется оно так (road show – в переводе «дорожное шоу») потому, что не инвесторы едут куда-то, а топ-менеджеры компании эмитента едут в «места обитания» потенциальных инвесторов, чтобы лично представить инвесторам компанию, ответить на вопросы и показать себя как людей, которым можно смело доверить деньги.
Подготовка гвоздя программы очень серьезна и чем-то напоминает подготовку концертной программы эстрадных артистов. Помимо подготовки и «вылизывания» презентации для роуд-шоу, которую совместно с вами (скорее за вас) будут делать букраннеры, составления списка возможных вопросов и ответов на них, проводится и серьезная подготовка менеджеров к собственно проведению презентации. Здесь часто используют консультантов и тренеров по ораторскому искусству и сценическим выступлениям, которые «вышколивают» менеджеров – тренировочные презентации снимают на камеру, затем тщательно разбирают жесты, интонацию, слова. Презентации репетируют несколько раз, устраивают тренировочные «прогоны» презентации и Q&A-сессии (сессии вопросов и ответов по презентации). Сама презентация обычно делается яркой и захватывающей, с лозунгами и видеовставками, чтобы создать у инвесторов настроение энергии и радостного возбуждения.
Само роуд-шоу – это изматывающий марафон презентаций, которые менеджеры компании в сопровождении банкиров устраивают в течение недели-двух в нескольких крупнейших финансовых центрах в разных концах света (см. пример на рисунке). Презентация обычно длится 20–25 минут, после чего следует Q&A-сессия. Вопросы инвесторов касаются всех областей работы бизнеса, таких как стратегия и ее реализация, финансовое положение, структура управления, основные драйверы прибыльности бизнеса, особенности бизнеса и т. д.

На некоторых презентациях присутствуют несколько сотен человек. Кроме презентаций, банкиры для своих особо важных потенциальных инвесторов устраивают встречи в формате «один на один». Технически в этом случае на одной стороне стола сидит один человек – представитель потенциального инвестора, на другой – толпа, включающая топ-менеджеров компании, юристов, инвестиционных банкиров букраннера, а также аналитика букраннера. В ходе презентации и Q&A-сессии инвесторы стараются «вытянуть» из менеджеров как можно больше информации относительно перспектив компании.
Цель работы аналитиков и роуд-шоу – получить от инвесторов заявки на покупку акций, включающие обычно цену и количество акций.
Формирование книги заявок и цены отсечения
Цена размещения акций – это, безусловно, важнейший вопрос, который волнует как компанию, так и организаторов ее IPO. Дискуссии вокруг этого вопроса начинаются еще на этапе подготовки компании к IPO и продолжаются бесконечно на всех этапах вплоть до начала торговли. Спекулировать на эту тему можно много, но окончательный ответ на этот вопрос могут дать только инвесторы, которые реально купят ваши акции. Главная цель всего процесса маркетинга – набрать необходимое количество заявок на покупку акций по цене, которая устроит компанию. Иными словами, цель – сформировать книгу заявок.
Есть два основных типа проведения IPO. Первый способ – размещение по фиксированной цене, когда уже в предварительном проспекте сообщается цена, по которой компания готова продать свои акции инвесторам. Второй способ – так называемый метод «построения книги» (bookbuilding).
Первый способ достаточно прост – компания проводит оценку (на основе DCF моделей, но чаще на основе мультипликаторов – подробнее будем говорить об этом в главе «Слияния и поглощения») и сообщает инвесторам цену в проспекте эмиссии. У этого способа есть существенный недостаток. Очевидно, что в этом случае букраннеры могут и не набрать желаемого количества заявок. Может быть и другой вариант – заявок будет слишком много, и тогда компания потеряет деньги, которые она могла бы дополнительно получить, повысив цену размещения при большом спросе на собственные акции.
По этим причинам большинство размещений используют процесс «построения книги». Суть процесса состоит примерно в следующем: в предварительном проспекте компания сообщает диапазон цены, по которой она готова продать свои акции (например, не ниже $2 за акцию). Далее в ходе маркетинга выпуска (работы аналитиков, сейлзов, роуд-шоу) организаторы собирают с инвесторов заявки, где те указывают, сколько акций и по какой цене они хотели бы приобрести. Таким способом организаторы и компания могут получить лучшее понимание того, каков спрос на акции при различных уровнях цены. Это помогает полностью разместить подписку на акции, так как при этом можно оперативно поменять цену и объем размещения в зависимости от складывающегося спроса.
Чтобы лучше понять процесс формирования книги, надо немного рассказать об иерархии банков и их обязанностей в синдикате. Внутри синдиката организаторов существует своя иерархия (см. рисунок). От положения банка в иерархии зависят его обязанности в процессе IPO и, соответственно, заработок.

Примечание: на иллюстрации приведена европейская классификация синдиката. В американской классификации названия на соответствующих уровнях будут:
• Букраннер/ведущий менеджер;
• Ко-менеджер;
• Андеррайтинговая группа;
• Группа продаж.
На вершине этой «пищевой цепочки» находится букраннер. Это главное действующее лицо в синдикате. Букраннер – это банк, который будет вам помогать в подготовке всех документов – остальные этого делать не будут. Он получает большую часть доходов от размещения. Главный козырь букраннера – контроль книги заявок. Все остальные участники синдиката свою комиссию будут получать от букраннера. Вообще вы как эмитент можете повлиять на состав синдиката. Обычно, кроме выбора букраннеров, вы можете повлиять на выбор ведущих менеджеров. Далее уже букраннеры и ведущие менеджеры набирают остальных участников синдиката (хотя ваши пожелания по включению в синдикат того или иного банка, с которым у вас имеются хорошие отношения, безусловно, будут учтены).
Букраннер обычно берет лично на себя обязательство по размещению большей части объема выпуска. Роль остальных участников синдиката обычно заключается в андеррайтинге (получении от клиентов заказов) определенной части объема выпуска акций. Вот, например, состав и обязательства участников синдиката при IPO Agfa-Gevaert (1999 год, объем выпуска – €1,54 млрд, цена размещения €22 за акцию):

Глобальный координатор всего процесса распределяет объемы подписки между другими участниками синдиката. Ведущие совместные менеджеры при этом обычно являются «главными» по определенной территории (например, Европа, США, Ближний Восток и т. д.), в зависимости от того, где их позиции более сильны. В структуре синдиката букраннер и ведущие менеджеры несут твердые обязательства по размещению. Остальные менеджеры в синдикате не берут на себя твердых обязательств и получают комиссию в зависимости от того реального объема, который они смогли разместить (но обычно не выше выделенной им квоты).
Давайте посмотрим на структуру распределения вознаграждения среди участников синдиката. Например, возьмем некое среднее IPO с оценкой компании в $1 млрд, free-float в 20 % (то есть общий объем IPO – $200 млн), комиссией в 4 % (то есть всего комиссия, которую получат организаторы IPO от компании, составит $8 млн) с одним глобальным координатором. Распределение комиссии будет происходить примерно следующим образом:

Таким образом, если глобальный координатор взял на себя обязательство по размещению 30 % выпуска, он получит:

То есть около половины всей комиссии от выпуска. Неудивительно, что банки страшно конкурируют за позицию букраннера в IPO.
Итак, основная часть синдиката (по количеству) получает доходы в виде торговой комиссии. В реальности участники синдиката (их сейлзы) в ходе работы аналитиков с инвесторами, а также в ходе роуд-шоу звонят и встречаются с инвесторами, стремясь получить от них заявки на покупку акций. Эти заявки участники синдиката передают букраннеру. Очевидно, что в такой ситуации одним и тем же инвесторам по поводу одного и того же IPO звонят разные банки (иногда раз по десять). В этом случае возникает опасность дублирования заявок, ведь не всегда букраннер знает, кто реально стоит за заявкой. Дублирование несет в себе опасность потери контроля над процессом размещения, ведь в этом случае букраннеру будет трудно оценить, каков реальный спрос на акции, а какие заявки дублируют друг друга – в последний день такие заявки могут неожиданно «схлопнуться». В связи с этим иногда работа синдиката организовывается таким образом, что инвесторы подают заявки напрямую букраннеру. В заявке в этом случае инвестора просят указать распределение комиссии между различными участниками синдиката, которые ему «продали» это IPO.
Таким образом, в процессе «построения книги» постепенно копится определенное количество заявок на покупку акций. Обычно это происходит в течение нескольких недель. В определенный момент книга «закрывается». В этот момент, если вы использовали процесс определения цены с помощью «построения книги», вам (точнее, вам совместно с букраннером) надо будет определить финальную цену, по которой вы будете продавать акции.
Если заявок меньше, чем акций, то вам придется либо отменить IPO, либо изменить объем размещения. Если их больше (что всегда хорошо), вам надо будет определить цену отсечения и далее распределить акции между инвесторами.
Теоретически цену отсечения вы можете определить, выстроив все заявки по убыванию цены и выбрав самую высокую цену, которая позволит вам разместить требуемое количество акций. Если цена вас устраивает, то все отлично. На практике цену отсечения устанавливают несколько ниже требуемого для «теоретического» отсечения уровня. Таким образом, книга остается несколько «переподписанной». Это делается для того, чтобы создать определенный ажиотаж вокруг IPO – инвесторы не получат столько акций, сколько хотели, и вынуждены будут докупать их на открытом рынке после IPO. Ажиотаж должен повысить ликвидность акций и обеспечить успех IPO в глазах инвесторов. После определения цены отсечения вы выпускаете финальную версию проспекта эмиссии, в которой указываете цену отсечения.
Поскольку в результате определения цены отсечения заявок у вас обычно будет больше, чем акций, вам (точнее букраннерам) придется каким-то образом распределить акции между инвесторами, которые подали заявки. Это называется аллокацией акций.
Аллокация
Первый принцип аллокации, который приходит на ум, это распределение акций между инвесторами pro rata в зависимости от объема заявки. Например, если книга по цене отсечения переподписана на 20 %, а вы (инвестор) заказали 100 акций, pro rata вы получите 80 акций (на 20 % меньше своей заявки). На практике у букраннера есть возможность распределить акции между инвесторами по своему усмотрению. Обычно при аллокации букраннеры:
• консультируются с эмитентом и другими участниками синдиката на предмет их предпочтений;
• распределяют акции между инвесторами в зависимости от типа инвестора. Обычно андеррайтеры знают, с какой целью инвестор покупает акции – чтобы держать их долго или чтобы быстро продать. Букраннеру выгодно набрать такой пул инвесторов, который обеспечил бы с одной стороны ликвидность акций, а с другой – наличие долгосрочных крупных инвесторов. Если «выдать» слишком много акций долгосрочным инвесторам, то нарушится ликвидность рынка акций компании – долгосрочные инвесторы не будут их продавать. Поэтому на практике оптимален некий микс краткосрочных и стратегических инвесторов;
• иногда используют свое право аллокации для действий сомнительной этичности. Например, аллокируют акции топ-менеджерам компаний, которые являются или будут являться их крупными клиентами (так называемый спиннинг – spinning).
Очевидно, что распределение торговой комиссии между участниками синдиката будет зависеть от реальной аллокации акций их клиентам.
Итак, после аллокации акций их счастливые обладатели перечисляют остаток денег (обычно вместе с заявкой они перечисляют аванс), и через несколько дней начинается торговля. При этом синдикат получает свою согласованную комиссию в виде разницы между ценой продажи акций и ценой акций, которую получает компания (так называемый gross spread).
Стабилизация в начальный период торговли
В первые дни торговли после IPO на рынке обычно царит ажиотаж. Инвесторы, которые хотели получить акции в ходе IPO, но не смогли, начинают покупать их на рынке. Краткосрочные инвесторы в случае сильного роста курса в первые дни стараются продать акции и зафиксировать свою прибыль. Задача букраннера в начальный период – организовать ликвидность торговли и обеспечить плавность движения курса.
Для этого букраннер может аллокировать часть акций себе для поддержания курса. Но чаще всего букраннеры получают от компании так называемый «опцион гриншу» (green shoe option). Опцион гриншу позволяет букраннеру дополнительно для поддержания ликвидности акций выкупить у компании по цене размещения дополнительные акции не выше оговоренного процента (обычно 10−15 % от объема выпуска). Опцион гриншу позволяет букраннеру избежать резких колебаний курса. Например, если спрос очень высок, после выпуска букраннер может за счет дополнительных акций удовлетворить этот спрос и избежать чрезмерного роста курса, который потом может привести к резкому падению акций эмитента.
В общем, в первые несколько дней или недель торговли букраннер поддерживает рынок акций компании, стараясь не допустить чрезмерных скачков (хотя это не всегда получается).
С той же целью часто для менеджеров компании на некоторое время после IPO устанавливается так называемый «тихий период», в течение которого компания обязуется не давать комментариев относительно своих финансовых перспектив, чтобы дополнительно не «разогревать» рынок своих акций.
По окончании периода стабилизации ваш букраннер (равно как и другие участники синдиката) обычно старается поддерживать с вами хорошие отношения, давая доступ к аналитическим отчетам по отрасли и по вашей компании, обеспечивая консультации по различным вопросам. Делается это, естественно, с целью продолжения в будущем деловых отношений, так как после IPO обычно следуют вторичные выпуски акций и размещения публичных займов. Для банков помощь вам – это вложения в свой будущий бизнес с вами.
Отношения с инвесторами
Жизнь в качестве публичной компании налагает на вас определенные обязательства. Прежде всего, это обязательства по регулярному предоставлению отчетности инвесторам. Сюда обычно включается финансовая отчетность, но некоторые биржи требуют предоставления информации и о других событиях (например, о продаже акций инсайдерами, то есть менеджерами и членами совета директоров компании).
Кроме того, задачей менеджеров теперь становится поддержание и повышение курса акций компании. Эта задача достигается не только за счет постоянной работы и улучшения финансовых результатов компании, но и за счет ликвидации асимметричности информации между менеджерами и инвесторами. Для этого публичные компании обычно устраивают регулярные встречи с аналитиками и конференц-звонки, на которых менеджеры комментируют важные события в жизни компании, такие как ее периодическая финансовая отчетность или крупные сделки.
В крупных компаниях в составе финансовой службы обычно создают подразделение по работе с инвесторами (департамент по связям с инвесторами – см. рисунок). Его задачей является предоставление инвесторам регулярной информации в требующейся по законодательству форме, составление пресс-релизов, мониторинг информации, передаваемой инвесторам на предмет соответствия законодательству и биржевым требованиям той страны, где обращаются акции или депозитарные расписки компании. Например, по законодательству США вы не можете сообщать одному из инвесторов информацию, недоступную остальным. В этом случае департамент по связям с инвесторами заботится о том, чтобы информация, распространяемая менеджерами компании, была доступна всем инвесторам. Этому же департаменту обычно поручают поддержку веб-сайта компании.

* * *
Чтобы узнать работу процесса проведения IPO на практике, давайте рассмотрим выход на рынок компании eBay – самого крупного в мире онлайн-аукциона.

В ходе прочтения кейса постарайтесь самостоятельно ответить на следующие вопросы.
? Каковы плюсы и минусы IPO для eBay?
? Какую позицию надо занимать eBay в переговорах о цене размещения с участниками синдиката?
? Как текущая ситуация на рынке может повлиять на IPO компании? А стоит ли размещать акции именно сейчас?
IPO интернет-аукциона eBay
Осенью 1998 года фондовый рынок США замер в тревожном ожидании. Дефолт в России, девальвация азиатских валют и падение азиатских фондовых рынков заставили говорить о надвигающейся общемировой рецессии. На фоне всех этих негативных событий CEO компании eBay Пьер Омидьяр должен был принять важное решение: проводить IPO компании или отложить его до лучших времен.
За два месяца до этого, когда биржевые индексы каждый день ставили новые рекорды, eBay начала процесс регистрации проспекта эмиссии акций для своего IPO. Однако с начала коррекции рынка в сентябре многие компании, особенно интернет-компании, такие как barnesandnoble.com, uBid и netValue Inc., объявили об отмене или отложили свои планируемые IPO (см. рисунок). Некоторые аналитики предрекали IPO eBay такую же судьбу.

История eBay
Потребность людей торговать различными вещами друг с другом традиционно удовлетворяли комиссионные магазины, ярмарки, блошиные рынки и газетные объявления. Обычно продавцы брали на себя все издержки по размещению рекламы и оплате торгового места. Эти издержки они затем перекладывали на покупателей через цену своих товаров.
Идея использования Интернета для торговли разными товарами пришла в голову Пьеру Омидьяру, когда его подруга, которая увлекалась собирательством диспенсеров конфет PEZ, пожаловалась на то, что в районе Сан-Франциско очень мало таких же коллекционеров, что затрудняло обмен. Через несколько месяцев Омидьяр основал сайт eBay.com, главной целью которого изначально было обеспечить коллекционеров диспенсеров PEZ местом для торговли и общения. С помощью сети Интернет Омидьяр построил аналог комиссионного магазина, которому не надо было хранить вещи. Продавцы и покупатели могли 24 часа в сутки использовать сайт, а затраты на поддержание сайта были просто нулевыми по сравнению с затратами комиссионного магазина. Низкие затраты позволяли установить низкую комиссию за продажу.
Для коллекционеров был очень важен процесс поиска вещи и ее осмотра. Чтобы привлечь их, Омидьяру пришлось воссоздать онлайн атмосферу реального поиска нужной вещи. Для этого он использовал несколько оригинальных идей. Во-первых, он использовал для торговли формат аукциона. Такой формат не только создавал у покупателей чувство необходимости сделать покупку сейчас (а то ее купит кто-то другой), но и позволил покупателям узнать, какова цена вещи в данный конкретный момент. Во-вторых, он дал продавцам возможность больше рассказать покупателям о вещи. Продавцы могли разместить на сайте фотографию предмета, загрузить музыку. В-третьих, Омидьяр создал на eBay сообщества по интересам, где коллекционеры могли собраться и поговорить на интересующие их темы. В-четвертых, eBay позволял участникам оценивать качество предметов и деловую репутацию продавцов и давать обратную связь по сделкам. В результате недобросовестные продавцы быстро отсекались от рынка.
Первый аукцион eBay провел в 1995 году. Через три года ежедневно через интернет-сайт eBay находили своих новых владельцев 70 000 предметов. В 1998 году eBay стал самым популярным онлайн-аукционом. С его помощью люди покупали и продавали антиквариат, книги, игрушки, автомобили, компьютеры, коллекционные монеты, ювелирные изделия, электронику и музыку. Компания не участвовала в торговле никоим образом, кроме организации места торговли. Она не получала предметы и оплату за них и, соответственно, не несла за это никакой ответственности. Бизнес-модель eBay основывалась на комиссии с каждой сделки. eBay брал от 25 центов до $2 за размещение объявления и далее от 1,25 до 5 % от финальной суммы сделки. Аукционы могли длиться от нескольких часов до нескольких недель. После завершения аукциона через сайт eBay победитель и продавец получали данные друг друга, после чего остальные вопросы они уже должны были решать между собой.
В 1998 году eBay был одной из самых прибыльных интернет-компаний. За 6 месяцев 1998 года его прибыль составила $2,7 млн при выручке в $14,9 млн. Рост прибыли по сравнению с первым полугодием 1997 года составил 200 %, а выручки – 800 %.
Конкуренция
За первые 6 месяцев 1998 года количество пользователей eBay возросло с 340 000 до 850 000. Количество одновременных аукционов за это же время выросло с 200 000 до 500 000. eBay считал постоянный рост и захват рынка ключевой составляющей успеха.
Но несмотря на лидерство eBay, на рынке стали появляться серьезные конкуренты. Уже сейчас на рынке интернет-аукционов были Yahoo!Auctions, Auction Universe (организована издателями Times-Mirror), uBid (подразделение Creative Computers) и Excite. Ожидался также вход на этот рынок таких серьезных игроков, как Microsoft и Amazon. В этих условиях поддержание и постоянное улучшение конкурентной позиции стали для eBay ключевой задачей. Ее решение требовало быстрого развития технологий, инфраструктуры и систем безопасности сайта. Все это требовало значительных финансовых ресурсов.
Первичное размещение акций eBay
Чтобы расплатиться с имеющимися кредитами и получить средства для инвестирования в новые технологии, eBay решила провести IPO. В качестве букраннера компания выбрала Goldman Sachs, в качестве юридического консультанта – Fenwick & West, в качестве аудитора – PricewaterhouseCoopers. 15 июля 1998 года компания подала в SEC заявление о регистрации проспекта эмиссии (форма S-1). В течение следующих нескольких недель SEC исследовала соответствие проспекта установленным требованиям и выдала свои замечания и вопросы в виде письма с комментариями (letter of comment). Компания выдала дополнительную информацию и внесла исправления в виде поправок к проспекту в соответствии с правилами SEC. В ходе регистрации и уточнения проспекта эмиссии Goldman Sachs и eBay заключили соглашение об андеррайтинге. Goldman взял на себя обязательства по гарантированному размещению.
Goldman Sachs сформировал синдикат андеррайтинга и выпустил предварительный проспект. Комиссия андеррайтеров за размещение составила 7 %, опцион гриншу – 15 %. Состав синдиката был следующим:

Кроме этого, ожидаемые расходы компании на юристов, аудиторов, печать проспектов и презентаций, регистрационный сбор и т. д. должны были составить еще около $1 млн.
Несмотря на спад рынка, андеррайтеры ожидали большой спрос на акции компании в ходе IPO.
Решение
eBay стремительно приближалась к точке принятия окончательного решения. Омидьяр осознавал, что процесс набирал ход, но волновался по поводу возможной неудачи размещения. Он думал о том, что, несмотря на то что организаторы гарантировали полное размещение эмиссии, неудачное размещение могло очень негативно сказаться на способности компании выпускать акции в будущем. Пока что IPO eBay было единственным IPO, намеченным на сентябрь 1998 года. Последнее IPO интернет-компании (Entrust Technologies на $125 млн) прошло около четырех недель назад. В сентябре акции этой компании торговались ниже цены размещения, и само размещение считалось неудачным. Вообще к сентябрю 1998 года 88 % всех интернет компаний торговались по цене ниже цены размещения их IPO. Перенос сроков IPO на 6 месяцев стоил бы eBay около $1 млн расходов, но в этом случае компания должна была отложить свои инвестиционные проекты, что в условиях быстрой динамики ее индустрии было крайне нежелательным.
В случае завершения IPO в планируемые сроки Омидьяр считал, что цена акций будет существенно снижена. В последнее время акции интернет-компаний сильно упали в цене. Изначально Goldman считал, что компания сможет разместить 3,5 млн акций по цене от $14 до $18 за акцию. В настоящее время члены синдиката давали осторожно-оптимистичные прогнозы.
Омидьяр хотел бы получить дополнительные данные, но до закрытия книги заявок оставалось меньше недели. Принимать окончательное решение надо было уже сейчас. Зеленый свет IPO означал необходимость установления цены отсечения. В ходе IPO должно было быть размещено меньше 10 % компании. Цена в $16 за акцию оценивала долю основателей почти в $600 млн и должно было сделать Омидьяра и других инвесторов богатыми людьми (см. таблицу).

Разбор полетов eBay
Итак, eBay нужно принять решение. Каковы будут плюсы и минусы IPO для компании? Давайте постараемся их перечислить.
Во-первых, это получение капитала. Впереди большие траты на поддержку технологического и маркетингового преимущества, возможен вход сильных конкурентов. Все это говорит о необходимости наличия денег для организации достойного ответа. Кроме того, какие еще варианты финансирования есть у компании? Да никаких других вариантов особо и нет. Кредит для eBay практически недоступен – что может компания предложить в залог? У нее ничего нет, кроме нескольких компьютеров и собственного программного обеспечения сайта. Это, кстати, проблема многих технологических компаний. Для них IPO во многих случаях – вынужденная мера по привлечению капитала просто потому, что нет других вариантов. Частные инвестиционные фонды – это, как вы знаете, дорогое финансирование. К тому же уровень денежных средств, которые нужны компании, значительно превышает обычный уровень финансирования, который предоставляют инвестиционные фонды. При цене в $18 за акцию за 3,6 млн акций компания получит 18 × 3,6 × (100 % – 7 %) = $60,3 млн. Это очень серьезная сумма сама по себе (особенно для компании с прибылью в $6 млн в год). Словом, IPO стратегически – оптимальный вариант.
Во-вторых, IPO – это возможность для акционеров получить оценку своей доли и обеспечить ее ликвидность. При цене в $16 за акцию доля Омидьяра стоит больше $240 млн! Это также возможность получить оценку своего труда не только для контролирующих акционеров, но и для прочих сотрудников, то есть тех, у кого есть опционы. Такая оценка – очень хороший мотивационный фактор.
В-третьих, удачное IPO – это возможность поглощения конкурентов за счет собственных ликвидных акций.
В-четвертых, удачное IPO для eBay – гарантия возможности привлечь капитал в будущем.
Итак, плюсов много. Каковы же минусы? Не считая временных затрат менеджеров и необходимости раскрытия инвесторам информации, главным минусом является цена, которую в данный момент может получить компания за свои акции. Вообще, как уже говорилось, рынки IPO очень цикличны. Эмитенты и банкиры стараются выбрать для IPO максимально удачный момент, то есть момент, когда рынки «разогреты» и инвесторы готовы покупать акции. Спад цикла – это, как мы видим из кейса, для многих компаний повод отложить IPO. Но так ли много потеряет eBay от недостаточной оценки своих акций? На самом деле не очень. Да, какую-то сумму в данный момент компания не получит, но она выпускает на рынок менее 10 % от общего количества акций, приобретая взамен возможность инвестировать и расти дальше. При росте в 800 % в год задержка на 6 месяцев очень чувствительна.
С другой стороны, а что теряют акционеры? Никто из них во время IPO свои акции не продает. Из-за локап-условия они вполне могут подождать некоторое время, пока дела на рынке акций выправятся. За свои акции они все равно в конечном итоге получат справедливую рыночную цену.
Взвесив все эти обстоятельства, можно сделать однозначный вывод: IPO делать надо. Главный момент в IPO для eBay – это успех размещения. Ради этого, в принципе, компания готова к практически любой цене своих акций. Поэтому цена акций не является для компании ключевым фактором, который она будет требовать в данный момент от Goldman Sachs.
Что же произошло в реальности? Как вы можете догадаться, IPO компания провела. Акции были размещены андеррайтерами по цене отсечения в $18 за акцию. В первый день торгов, 23 сентября 1998 года, курс акций eBay на закрытии торгов составил $47 за акцию – за первый день курс акций вырос почти в три раза! В связи с этим возникает вопрос: А что же делали андеррайтеры? Почему они настолько неверно оценили стоимость eBay? Здесь необходимо остановиться на рассказе о таком явлении, как недооцененность или андерпрайсинг акций на IPO. Рост курса акций компании в первый день торговли – это вполне обыденное явление (см. рисунок).

Статистика показывает, что андеррайтеры и эмитенты систематически недооценивают акции при размещении. Редко это происходит в такой же степени, как для eBay, но происходит с завидной регулярностью. Почему же компании «оставляют на столе» миллиарды долларов? Объяснение простое: и компании и организаторы IPO хотят, чтобы размещение было успешным. Успех – это деньги для компании (легче поднимать капитал в будущем), это бренд для организаторов. Это вообще приятно! В этом случае положительное впечатление, которое получат от IPO все его участники, перевешивает в сознании всех игроков упущенную компанией (заметьте, именно компанией, а не акционерами и не менеджерами) выгоду. Поэтому менеджеры и организаторы не хотят рисковать, жадничать и получить в результате провалившееся IPO. Ради этого они готовы терпеть некоторую недооценку акций при IPO. Кроме того, при первичном размещении акций у инвесторов не так много информации о компании – у нее еще нет публичной истории. Поэтому организаторы и дают инвесторам возможность перестраховаться – а вдруг IPO будет неудачным?
Более сильный эффект недооценки в случае с eBay можно объяснить спецификой момента. Есть текущая ситуация:
• Общая обстановка для IPO плохая.
• Клиенту (eBay) очень нужен успех IPO.
Что в этом случае должен делать Goldman Sachs, чтобы обеспечить успех на 100 %? Ответ прост: пониже оценить акции, дать возможность всем инвесторам хорошо заработать.
Какие выводы можно сделать из феномена андерпрайсинга IPO? Во-первых, помните, что IPO – это только начало вашей работы по привлечению собственного капитала с рынков. Не старайтесь во время IPO сразу разместить много акций – размещайтесь по минимуму. Вы должны понимать, что потери при IPO будут выше, чем возможные потери от недооценки следующих размещений. Второй вывод для акционеров: если вы и собираетесь продать часть своих акций во время IPO, делайте это по минимуму. Обычно вы с большей выгодой сможете продать свои акции потом на открытом рынке.
Сколько же «стоит» IPO?
Как мы только что увидели, стоимость IPO для компании складывается не только из расходов на выпуск и комиссии организаторам. Если брать только прямые расходы, то выходят не очень большие цифры (см. пример для крупной компании с оборотом свыше $3 млрд).

Но, как вы уже поняли, одной из самых серьезных затрат будут непрямые потери от недооценки акций при IPO. Вот данные по реальной стоимости IPO для компаний различного размера (см. таблицу).

Как вы видите, в среднем IPO обходится компаниям в 10–20 % от объема выпуска в зависимости от размера выпуска. Как мы уже говорили, IPO – это дорого!
Вторичные размещения
Как вы понимаете, IPO для компаний – это первый шаг. В дальнейшем после IPO многие компании продолжают выпускать акции. Это так называемые вторичные размещения (SEO – Secondary или Seasoned Equity Offerings). По общей схеме проведения они сходны с IPO. Естественно, такие размещения проще и дешевле – меньше комиссии организаторов, меньше андерпрайсинг. Все это результат того, что рынки вас уже знают, меньше асимметричность информации.
Глава 8
Оценка компаний
В предыдущих главах мы с вами фокусировались на рассмотрении жизни внутри компании: как она работает, как привлекает финансирование, как отдает деньги банкам и акционерам. Начиная с этой главы, мы усложним задачу и будем говорить о нескольких компаниях одновременно – как они сливаются вместе, как одна компания поглощает другую, как от одной компании может «отпочковаться» другая и т. д.
В этой главе мы с вами поговорим об оценке компаний. До этого мы с вами уже говорили об оценке, но при этом имели в виду в основном оценку некоего проекта, части бизнеса одной компании. Оценка компании целиком похожа на оценку проекта, но имеет свои особенности. В этой главе мы рассмотрим эти особенности, а также обсудим несколько различных способов оценки стоимости компании в целом и стоимости ее акций.
Особенности оценки компаний по сравнению с инвестиционными проектами
Принципиально методы оценки компании в целом и инвестиционного проекта очень схожи. Основной метод – это оценка через денежные потоки и их дисконтирование. Мы уже с вами рассматривали оценку инвестиционных проектов через оценку дисконтированных денежных потоков (DCF) с использованием WACC. Этот же метод применим и к оценке компании в целом. Однако в этом случае есть несколько особенностей.
• Оценивая денежные потоки компании с использованием DCF и WACC, мы получаем рыночную стоимость компании в целом, то есть стоимость всего «пирога». Вспомним, что кроме акционеров на часть «пирога» претендуют также кредиторы. Поэтому, чтобы получить оценку стоимости акций компании, нам надо не забыть из получившейся суммы вычесть рыночную стоимость долга (см. рисунок). Обычно рыночная стоимость долга равна его балансовой стоимости, но бывают исключения.

• У компании в целом, в отличие от проекта, есть своя отдельная финансовая отчетность. В этой отчетности одним из компонентов фигурирует строчка «денежные средства». Мы знаем, что деньги нужны компании для финансирования текущей деятельности (оплаты счетов) и работают в качестве компонента оборотного капитала. Но у некоторых компаний «запасы» денежных средств (включая ликвидные инвестиции) могут быть значительно выше их потребностей. Например, в России у «Сургутнефтегаза» на июль 2009 года в виде денежных средств и краткосрочных ликвидных вложений скопилось около $15 млрд. Очевидно, что деньги в таком количестве компонентом оборотного капитала не являются. В этом случае эти «остатки» полученных ранее денежных потоков (избыточный кэш – excessive cash) надо прибавить к DCF-оценке компании (см. рисунок).

• Если при оценке проектов для нас главным было просто наличие NPV > 0, то при оценке компаний нам важна также и цифра NPV, так как эта цифра обычно превращается в цену акций, которую мы заплатим за компанию (или будем просить за акции нашей компании).
• Использование метода WACC подразумевает наличие постоянной структуры капитала (соотношения D / E). Это вполне нормальное предположение для «стандартных» внутренних проектов компании, которые финансируются за счет общей «смеси» собственного и заемного капитала, но не всегда работает для оценки тех компаний, у которой со временем структура капитала может сильно меняться. Например, вы покупаете другую компанию в значительной степени за счет кредита (как делали многие отечественные компании в период развития экономики в 2003–2008 годах). Кредит вы «вешаете» на купленную компанию. В первые несколько лет вы будете использовать денежные потоки компании в основном для погашения кредита. В этом случае ваша структура капитала будет сильно меняться год от года (объем долга должен будет существенно сокращаться). В этом случае использование единого WACC даст вам неточный ответ – ведь неизвестно, какую структуру капитала вам нужно использовать для калькуляции WACC. Что делать в этом случае? В этом случае можно использовать альтернативные методы оценки, такие как APV и FCFE.
Далее мы с вами рассмотрим альтернативные методы оценки стоимости компании:
• оценка с помощью мультипликаторов (Multiples Valuation);
• скорректированная дисконтированная стоимость (APV – Adjusted Present Value);
• оценка с помощью денежных потоков акционерам (FCFE – Free Cash Flows to Equity).
Оценка с помощью мультипликаторов
Оценка с помощью мультипликаторов – это самый распространенный вид оценки. Распространение он получил из-за своей простоты и логичности. Логика этого метода очень проста: если две компании похожи друг на друга по своему бизнесу, то их рыночная стоимость также должна быть близка. Если две компании абсолютно одинаковы по бизнесу, размеру и всем прочим показателям, то их рыночная стоимость должна быть одинакова. Если они различаются только по размеру, то их рыночная стоимость должна быть пропорциональна их размеру. Например, если две компании одинаковы, но одна из них в два раза крупнее другой, то рыночная стоимость этой компании должна быть также в два раза больше.
Иными словами, мы говорим о том, что рыночная стоимость сходных компаний должна быть пропорциональна некоему показателю, например прибыли или продажам. Если у нас есть сравнимая компания, у которой известна ее рыночная стоимость, мы с ее помощью можем узнать стоимость аналогичной компании с неизвестной рыночной стоимостью.
Сделать оценку компании по мультипликаторам очень несложно.
• Выбираем мультипликатор, который будем использовать. Здесь можно использовать целый набор различных вариантов:
• чистая прибыль (earnings);
• EBITDA;
• балансовая стоимость активов (book value);
• денежный поток;
• выручка;
• количество клиентов;
• уровень производства продукта (в тоннах);
• уровень запасов (например, золота, нефти и т. д.) для добывающих компаний;
• и т. д. и т. п. – потенциальный выбор мультипликаторов практически неограничен.
• Выбираем компании с известной рыночной стоимостью, которые мы будем использовать для сравнения.
• Считаем соотношение рыночной стоимости этих компаний с выбранным показателем:
• стоимость / прибыль (Price / Earnings или P / E ratio);
• стоимость / балансовая стоимость активов (M / B или Market-to-book ratio);
• стоимость / денежный поток (Price / Cash Flow);
• стоимость / Выручка (Price / Sales) и т. д.
• Для базы можно брать рыночную стоимость акций и/или оценку аналогичных компаний в недавних сделках по поглощениям. Кроме того, не забудьте из рыночной стоимости компаний вычесть избыточный кэш.
• Умножаем получившийся мультипликатор на базовый показатель нашей целевой компании (то есть на прибыль / денежный поток / выручку и т. д. компании, рыночную стоимость акций которой мы хотим получить).
Например, у нас есть две очень сходных по бизнесу компаний. Стоимость одной из них известна, ее прибыль равна 80 млн руб., рыночная стоимость акций равна 800 млн руб., то есть P / E = 10. Прибыль компании с неизвестной рыночной стоимостью равна 50 млн руб. Используя P / E, мы можем оценить стоимость «неизвестной» компании в 50 × 10 = 500 млн руб.
Очевидно, что точность нашей оценки будет зависеть от правильного выбора компаний и мультипликаторов для сравнения. Проблему точности можно слегка минимизировать, используя для «целевой» компании среднее арифметическое между полученными значениями по сравнимым компаниям. На практике идеальных компаний для сравнения вы не найдете. В этом случае вам придется решать дилемму:
• чем больше компаний для сравнения, тем более репрезентативным будет усреднение;
• чем больше компаний для сравнения вы находите, тем менее точным будет соответствие компаний для сравнения вашей целевой компании.
Обычно на практике, в зависимости от индустрии, используют не более трех – пяти компаний для сравнения. Проблема подбора правильных компаний и правильного подбора мультипликаторов – это вопрос опыта и здравого смысла. Цель – найти наиболее похожие на целевую компании (с точки зрения бизнеса, операционной стратегии, положения на рынке, финансового состояния) и наиболее подходящие с точки зрения здравого смысла мультипликаторы.
Основной плюс метода оценки с помощью мультипликаторов заключается в том, что вы «на халяву» используете анализ других компаний, который за вас уже сделал рынок (инвесторы). Цена акций уже воплощает в себе множество различных моделей и мнений инвесторов относительно стоимости компании. Одним простым действием вы можете использовать результаты всего этого анализа без необходимости построения сложных моделей.
Второй огромный плюс этого метода в том, что с его помощью вы вряд ли сильно ошибетесь в своей оценке. Ваша оценка не будет значительно расходиться с оценкой компании рынком. Ваш результат будет близок к результату, который получат другие инвесторы. Именно поэтому этот метод очень часто используется для оценки цены, которую инвесторы предлагают за акции компании в IPO. Ведь вам очень не хочется, чтобы ваш начальник узнал, что ваша оценка акций была в три раза выше оценки конкурентов. Анализ по мультипликаторам обеспечит вам присутствие в «основной гуще» инвесторов.
По этой же причине анализ по мультипликаторам будет очень полезным дополнением к DCF-анализу компании, которую вы хотите поглотить. Если результаты DCF-анализа и анализа по мультипликаторам сильно различаются – это повод проверить свой DCF-анализ: что именно так замечательно или отвратительно в оцениваемой компании, чем можно объяснить такую разницу.
Но такая простота таит в себе и опасность. Анализ по мультипликаторам неизбежно «усредняет» все компании между собой и не учитывает ряд важных вещей:
• Леверидж. При использовании мультипликаторов вы никак не можете учесть разницу в структуре капитала компаний (если только не выберете компании для сравнения с левериджем, близким к целевой).
• Операционную эффективность. Мультипликаторы дают вам «среднюю температуру по больнице». Вам будет очень сложно отделить более эффективную компанию от менее эффективной. Вам будет сложно учесть возможные отличия вашей «целевой» компании от других в плане операционной эффективности. Опять же, проблема частично (но далеко не всегда) решается за счет правильного подбора компании для сравнения.
• Финансовую отчетность. Точность сравнения зависит и от сравнимости тех стандартов ведения финансовой отчетности, которые используют сравниваемые между собой компании. Например, финансовый результат компании, использующей LIFO, обычно будет хуже, чем у компании, использующей FIFO, даже при абсолютно одинаковых прочих данных компаний. В результате различия в методах ведения финансовой отчетности могут исказить ваш анализ.
Мультипликаторы обычно дают нам очень приблизительное представление о возможной реальной стоимости компании, поэтому обычно оценку по мультипликаторам используют в качестве первой прикидки и дополняют ее анализом с использованием метода DCF – классического с использованием WACC или одного из тех, которые мы сейчас рассмотрим.
Скорректированная дисконтированная стоимость (APV)
Скорректированная дисконтированная стоимость (Adjusted Present Value, или APV) – это одна из разновидностей метода оценки с помощью дисконтирования денежных потоков. Суть метода заключается в том, что компания оценивается «по частям»: отдельно оцениваются денежные потоки от операций, отдельно – влияние налогового щита займов и отдельно все прочие моменты. Чтобы разобрать принцип, давайте вспомним, чем определяется стоимость компании (глава 5, «Структура капитала»):
V (A) = V (all-equity) + V (t) – p × V (distress),
где:
V (A) – общая стоимость компании;
V (all-equity) – стоимость компании, если бы она финансировалась только за счет собственного капитала;
V (t) – стоимость налогового щита;
р – вероятность возникновения финансовых проблем;
V (distress) – стоимость, разрушаемая в случае возникновения этих проблем.
При использовании WACC все эти компоненты включаются в расчет WACC:
V (t) учитывается в расчете WACC как kd× (1 – t) – в WACC попадает стоимость долга с учетом налогового щита;
P×V (distress) учитывается за счет изменения стоимости собственного капитала при учете влияния использования заемного капитала на бету.
Метод APV делает то же самое, но немного с другой точки зрения. APV оценивает денежные потоки примерно так, как показано в формуле:
V (A) = V (all-equity) + V (t) + V (прочих факторов).
При использовании APV мы должны поступать следующим образом.
1. Считаем номинальные денежные потоки. Процесс расчета ничем не отличается от стандартного расчета денежных потоков для использования WACC.
2. Находим чистую бету проекта (βa).
3. Находим стоимость собственного капитала (ka) all-equity для дисконтирования с использованием модели САРМ по формуле: ka = rf + βa × rm.
4. Дисконтируем полученные денежные потоки компании по ставке ka. В результате мы получаем V (all-equity), то есть дисконтированную стоимость денежных потоков компании, как если бы она финансировалась только за счет собственного капитала.
5. Считаем дисконтированную стоимость налогового щита V (t). Для этого:
a) по каждому виду заемных средств, которыми финансируется, например, покупка компании, находим денежные потоки от налогового щита (то есть положительный денежный поток в виде процентных выплат, умноженных на налоговую ставку);
б) дисконтируем полученный денежный поток по стоимости кредита (эффективной процентной ставке);
в) складываем получившиеся суммы дисконтированных денежных потоков. В результате получается дисконтированная стоимость налогового щита.
6. Считаем эффект прочих факторов. Сюда, например, можно отнести дисконтированную ценность (как положительную, так и отрицательную) различных гарантий, субсидий, расходов и т. д. Отдельно надо сказать о калькуляции ожидаемых убытков от финансовых проблем p×V (distress). При использовании WACC эта отрицательная стоимость учитывается за счет использования в калькуляции стоимости собственного капитала беты с учетом левериджа. При использовании APV этот момент часто опускают, то есть не учитывают. Методологически это неправильно, особенно в случае высокого левериджа (большой доли задолженности) и, соответственно, высокого значения p×V (distress). Это отрицательный момент метода APV. Технически можно учесть издержки от финансовых проблем за счет некоторого повышения ставки дисконтирования ka. Альтернативно можно построить модель, где каждый год отдельно выделяется эффект левериджа конкретного года на ka и, соответственно, отдельно показывает негативный эффект дисконтирования разницы.
Давайте попробуем разобрать использование метода APV на примере.
Пример:
Мы собираемся купить завод по производству электродвигателей небольшой мощности для использования в различных видах вентиляторов, кондиционеров и прочей бытовой техники. Текущий владелец предлагает нам приобрести чистые активы завода за 3 млрд рублей. Мы рассчитываем, что в результате работы мы сможем:
• увеличить операционную рентабельность за счет сокращения издержек и аутсорсинга части функций;
• снизить оборотный капитал на 25 %;
• продать некоторые непрофильные активы завода;
• увеличить уровень роста объема продаж за счет улучшения мотивации дистрибьюторов;
Мы предполагаем профинансировать сделку на 80 % за счет заемного капитала (4-летнего банковского кредита под 8 % годовых и субординированного 5-летнего кредита под 9,5 % годовых).
Наши расчеты показали, что стоимость собственного капитала без учета левериджа (all-equity) составляет 13,5 %.
Вот прогнозные значения основных финансовых показателей завода с учетом всех улучшений (см. модель на www.gerasim.biz):

Стоит ли покупать завод?
Давайте посчитаем денежные потоки завода и продисконтируем их:

Примечание: терминальную стоимость рассчитываем как перпетуитет с ростом в 3 %.
Следующим шагом мы должны посчитать эффект налогового щита:


Таким образом, общее APV завода составит 3,185 + 0,305 = 3,49 млрд руб. Это та максимальная сумма, которую мы готовы заплатить за чистые активы завода. Поскольку владелец просит 3 млрд, завод мы должны покупать. В этом случае наш чистый выигрыш составит 3,49 млрд за вычетом долга в 2,430 млрд и наших собственных 570 млн, то есть 490 млн.
У APV есть свои особенности с точки зрения наглядности. Использование этого метода позволяет показать, из каких частей состоит наша итоговая оценка. В данном случае ценность завода для нас складывалась из следующих частей:
• денежный поток от завода без изменений (как у текущего владельца);
• рост рентабельности;
• рост продаж;
• снижение оборотного капитала;
• продажа непрофильных активов;
• финансовый эффект налогового щита.
Добавленная стоимость, которую мы в данном случае создаем, это только операционные улучшения. Используя APV, мы легко можем выделить влияние операционных улучшений на ценность завода и узнать, какую часть стоимости добавляем мы, то есть за счет чего стоимость завода для нас будет выше, чем для текущего владельца. При этом на PV этих улучшений не будет влиять финансовый эффект налогового щита (ставка дисконтирования, которую мы будем использовать в данном случае не будет отражать эффекта использования заемных средств). Кроме того, в этом случае мы можем к разным денежным потокам применять разную ставку дисконтирования. Например, если мы считаем, что продать непрофильные активы будет несложно, то риск этих денежных потоков будет ниже, чем риск денежных потоков от прибыли. В этом случае мы можем для оценки «вклада» продажи непрофильных активов в общую стоимость завода использовать более низкую ставку дисконтирования (ниже 13,5 %). При использовании WACC мы неизбежно усредняем ставку дисконтирования, что не всегда корректно.
Почему еще в данном случае нам будет сложно использовать WACC? Есть несколько факторов.
• Изменяющаяся структура капитала. Леверидж компании в течение всех пяти лет будет сильно меняться:

И это при условии, что мы упрощаем расчет и считаем структуру капитала по балансовой стоимости, где используется балансовое значение собственного капитала. Рыночное значение стоимости собственного капитала в первом году будет значительно выше (исходя из наших расчетов, оно составит 3,490 – 2,430 = 1,06 млрд руб., то есть на 80 % выше балансового). И оно будет меняться каждый год.
• Изменяющаяся стоимость заемного капитала. Поскольку наш заемный капитал при покупке завода состоит из нескольких компонентов, при использовании WACC нам придется считать средневзвешенное значение стоимости заемного капитала. Поскольку постепенно разные виды заемного капитала мы будем выплачивать, это средневзвешенное значение также будет меняться:

В этом случае нам сложно будет найти правильное значение для расчета WACC. Можно, конечно, каждый год считать новый WACC, но это будет сильно усложнять анализ для понимания. На практике так не делают.
С другой стороны, при использовании APV мы упускаем возможные потери от финансовых проблем. Именно они изменяют рискованность денежных потоков при увеличении использования заемного капитала. Расчет APV компании в его текущем виде не учитывает, что денежные потоки завода, особенно в первые годы после покупки, за счет большого левериджа более рискованны, чем в последующие годы. Вспомним, что за счет роста риска при увеличении левериджа WACC компании сильно не меняется при большом промежутке возможных значений структуры капитала. Увеличение использования налогового щита компенсируется большей требуемой доходностью собственного капитала.
В самом деле, давайте попробуем посчитать PV завода с использованием WACC. При расчете ставки дисконтирования нам придется использовать некоторые предположения (см. таблицу).

Теперь мы можем посчитать PV денежных потоков завода:

Мы видим, что стоимость завода, посчитанная с помощью WACC, на 15 % ниже стоимости, посчитанной с помощью APV. Объяснить это можно двумя факторами:
• неточный учет налогового щита в варианте с WACC – в первые годы леверидж выше использованного в модели WACC целевого левериджа, что дает дополнительный налоговый щит;
• в APV не учтено влияние PV (distress).
Какая из оценок точнее? Истина, как всегда, где-то посередине:

При тщательном расчете использование обоих вариантов дало бы нам примерно одинаковый результат.
В общем случае используйте APV, если:
• структура капитала в проекте сильно меняется с течением времени;
• вероятность финансовых проблем мала;
• стоимость налогового щита значительна.
Во всех остальных случаях используйте WACC. На практике APV используется нечасто – пока еще эта техника не получила большого распространения.
Что действительно часто используется на практике, это применение концепции APV для отдельной калькуляции каких-то частей общей стоимости компаний. Принцип «сложения частей» дает нам путь к оценке возможных дополнительных «фишек» проекта, таких как гарантии, субсидированные ставки и прочие нюансы. Все эти дополнительные «штуки» надо оценивать отдельно и приплюсовывать к основному анализу.
Метод денежных потоков акционерам (FCFE)
У методов WACC и APV есть одна проблема. Если у компании очень сильный леверидж (скажем, 90 % и выше), то ее общая стоимость примерно равна стоимости долга. При этом если вы допустите небольшую ошибку в расчете, то после вычета суммы долга из общей дисконтированной стоимости компании у вас вполне может получиться отрицательная стоимость акций. Не показывайте никому отрицательную стоимость акций!
Чтобы избежать этой проблемы, существует еще один вариант DCF-анализа, который называется оценкой денежных потоков акционерам (Free Cash Flows to Equity или FCFE). Давайте рассмотрим, как он работает.
Суть метода в следующем: в расчете денежных потоков вы уже учитываете все платежи кредиторам. В результате вы получаете только те денежные потоки, которые можно распределить акционерам. Эти денежные потоки вы дальше и дисконтируете по ставке, учитывающей риск акционеров.
Давайте рассмотрим пример, чтобы понять, как все это работает.
Пример:
Мы собираемся приобрести компанию, EBIT которой сейчас равен 130 млн руб. в год. EBIT будет расти на 5 % в год в бесконечность. Долгов у компании нет. Цена компании, которую хотят получить владельцы, – 1,3 млрд руб. Мы можем привлечь 1,1 млрд руб. в виде кредита. Нам надо будет вложить 200 млн наших денег. Стоит ли это делать?
Давайте попробуем посчитать денежные потоки компании в случае, если мы ее приобретем. Мы планируем выйти из проекта через пять лет. Из-за большого долга все свободные денежные потоки в течение 5 лет будут уходить на выплату долга. Вот расчет денежных потоков, доступных акционерам компании в течение пяти лет:

Далее нам предстоит оценить терминальную стоимость актива на конец пятого года. Сделать это можно с помощью мультипликаторов или с помощью перпетуитета. Например, мы решили использовать перпетуитет с ростом в 5 %. Но для получения стоимости дисконтированных денежных потоков нам надо будет оценить ставку дисконтирования. Предположим, что в данном случае безрисковая ставка будет равна 5 %, риск-премия рынка – 8 %, чистая бета, предположим, равна 0,8 (точнее, это можно оценить с использованием сравнительных компаний, но предположим, что мы это уже сделали). Используя принцип APV, мы можем сказать, что общая стоимость компании составит стоимость денежных потоков плюс налоговый щит. В этом случае ставка дисконтирования all-equity будет 5 % + 0,8 × 8 % = 11,4 %. Денежный поток в шестом году мы считаем стандартным способом:

В этом случае терминальная стоимость денежных потоков компании составит 120 / (11,4 % – 5 %) = 1870,6 млн. Далее нам надо будет сделать предположения относительно налогового щита. Предположим, что компания будет постепенно уменьшать свой леверидж, сохраняя неизменной сумму долга (D) в бесконечность. В этом случае налоговый щит с использованием можно посчитать с использованием формулы перпетуитета. Он составит t × kd × D / kd = 24 % × 988 = 237 млн. Суммарно общая стоимость компании составит в этом случае 1870,6 + 237 = 2107,6 млн.
Для получения стоимости акций нам надо вычесть стоимость долга на конец пятого года. Таким образом, стоимость акций компании на конец пятого года составит 2107,6 – 988 = 1120 млн руб.
Далее нам нужно будет каким-то образом продисконтировать эту сумму, чтобы в результате получить значение стоимости акций на текущий момент. Не забывайте, что 11,4 % – это стоимость собственного капитала при 100 %-ном собственном финансировании, что не отражает структуру капитала и рискованность акций компании. Для расчета ставки дисконтирования в пятом году нам надо будет найти структуру капитала. Это несложно. Общая стоимость – 2107,6 млн, долг 988 млн. Соответственно доля equity в капитале составляет 1120 / 2107,6 = 53 %. Бета equity (с учетом левериджа) в этом случае составит 0,8 / 53 % =1,51, то есть стоимость equity равна 5 % + 1,51 × 8 %= 17 %. Дисконтируем стоимость акций в пятом году по этой ставке до четвертого года: 1120 / (1 + 17 %) = 956,9 млн. Это стоимость акций в конце четвертого года. Поскольку в четвертом году у компании другая структура капитала для дисконтирования стоимости акций в четвертом году нам снова понадобится вычислить ставку дисконтирования. По нашим расчетам долг в конце четвертого года составит 1024 млн руб. Дисконтированная стоимость собственного капитала на конец четвертого года равна 956,9 млн. Опять же находим бету equity с использованием новой структуры капитала βe = 0,8 × (1024 + 956,9) / 1024 = 1,66. Соответственно стоимость собственного капитала в четвертом году будет составлять ke = 5 % + 1,66 × 8 % = 18,2 %. Дисконтируя стоимость акций к началу третьего года получаем 956,9 / (1 + 18,2 %) = 809,3 млн руб. Продолжая использовать эту же логику, получаем стоимость акций на момент инвестирования (см. таблицу – модель в файле на www.gerasim.biz).

Итак, мы вкладываем в акции компании 200 млн руб., при этом реальная стоимость этих акций при такой структуре сделки на момент покупки составит около 450 млн руб. Надо покупать…
Пара нюансов использования метода FCFE:
• Выпуск нового долга. Не забывайте, что в FCFE-методе выплата долга является отрицательным денежным потоком, но при этом получение нового кредита – положительным.
• Положительные денежные потоки акционерам. В нашем примере весь свободный денежный поток в первые пять лет шел на погашение долга. Иногда часть денежного потока остается для акционеров – выплачивается им в виде дивидендов. В этом случае при дисконтировании от пятого года назад вам надо будет учитывать, что к терминальной стоимости будет добавляться дивиденд соответствующего года.
Сравнительный анализ трех DCF-методов
Итак, к настоящему моменту мы рассмотрели три основных DCF-метода.
• «Классический» метод с использованием WACC.
• Метод оценки с помощью скорректированной дисконтированной стоимости (APV, или Adjusted Present Value).
• Метод оценки с помощью денежных потоков акционерам (FCFE или Free Cash Flows to Equity).
Давайте проведем небольшой сравнительный анализ этих методов, чтобы вы смогли лучше понять сходства и различия:

Чтобы ознакомиться с применением этих методов на практике, давайте рассмотрим ситуацию американского ретейлера Kmart.
Во время прочтения кейса постарайтесь самостоятельно ответить на следующие вопросы.
? Что Kmart может сделать с Builders Square? Что произойдет, если менеджмент компании не примет предложение Леонарда Грина?
? Что получит Kmart от предложения Грина?
? Предположим, что Kmart принимает предложение Грина. Как вы думаете, каковы будут операционные результаты BSQ / Hechinger? Какие проблемы будут решены? Какие проблемы останутся?
? Что произойдет, если BSQ / Hechinger будет успешной? А если она обанкротится?
? Оцените предложение Грина c точки зрения цифр. Используйте анализ с помощью мультипликаторов и DCF-анализ. Справедлива ли цена, которую Грин предлагает за BSQ? Какие основные знаки вопроса остаются в вашем анализе? Какие основные предположения вы использовали?
Kmart – продажа Builders Square

В июле 1997 года Kmart, одна из крупнейших американских сетей гипермаркетов, готовилась завершить сделку по продаже одного из своих подразделений – сети гипермаркетов товаров для строительства и ремонта Builders Square. Kmart искала покупателей на это подразделение уже почти год. Однако единственным «живым» вариантом на данный момент было предложение фонда прямых инвестиций Leonard Green & Partners (LGP). Фонд предложил Kmart за Builders Square $10 млн. Сумма казалась крайне скромной, учитывая, что объем продаж Builders Square в 1996 году составил $2,55 млрд. Стоило ли Kmart согласиться на предложение LGP или менеджерам надо было продолжать искать покупателя? А может быть, существовал какой-то альтернативный вариант действий?
История Kmart
Kmart был одним из крупнейших ретейлеров США. Компания была основана в 1912 году. В 1962 году компания открыла в Детройте первый гипермаркет, концепцией которого была торговля на большом объеме с низкой нормой прибыли. Низкая маржа воплощалась в низкие цены для покупателей. Большой размер гипермаркета воплощался в большой выбор различных товаров. Гипермаркет «делал» свою прибыль на большом объеме продаж. Для того времени это была революционная концепция, которая стала быстро завоевывать рынок.
Успех Kmart быстро привлек на рынок конкурентов, таких как Wal-Mart и Target. Постепенно Kmart стал утрачивать свои конкурентные преимущества. В качестве ответа менеджмент принял решение о введении в ассортимент более дорогих товаров с более высокой доходностью, а также о диверсификации работы компании в секторы специализированного ретейлинга. В ходе реализации этой стратегии Kmart приобрел такие ретейлинговые сети, как Borders Books (книжные супермаркеты), The Sports Authority (спортивные товары), PayLess Drug Stores (аптеки), а также HomeCenters of America, которая впоследствии была переименована в Builders Square.
Однако эти меры не помогли Kmart сдержать конкурентов. К 1991 году Kmart уже был третьим по размеру продаж после Wal-Mart и Sears, Roebuck & Co. У Wal-Mart было на 400 магазинов меньше, чем у Kmart, но при этом продажи Wal-Mart были на 50 % выше продаж конкурента. В 1993 году Kmart провел реструктуризацию, суть которой заключалась в закрытии части наименее прибыльных магазинов, а также сокращении персонала. Все эти меры обошлись Kmart в $1,35 млрд, но не помогли сократить отставание от Wal-Mart. Kmart стала убыточной.
Диверсификация в смежные секторы ретейлинга отвлекала много внимания менеджеров Kmart от ключевого бизнеса гипермаркетов, поэтому в 1994 году новый СЕО компании Джозеф Антонини принял решение о продаже неключевых бизнесов. В течение следующих двух лет Kmart избавился от всех смежных бизнесов за исключением Builders Square. Однако при этом компания не избавилась от убытков. В результате кредитный рейтинг Kmart был понижен до мусорного уровня BB, что привело к ужесточению кредитных ковенант, более высоким процентным ставкам по кредитам и запрету на выплату дивидендов. Поскольку ситуация не улучшалась, в марте 1995 года совет директоров уволил Антонини, и у компании появился новый СЕО Флойд Холл, который ранее работал СЕО Target – конкурента Kmart. При новом боссе финансовые результаты Kmart несколько улучшились, но основная проблема осталась: ключевой показатель работы компании – уровень продаж на квадратный фут площади магазина – значительно отставал от основных конкурентов.
Индустрия продаж товаров для строительства и ремонта
Индустрия продаж товаров для строительства и ремонта стала бурно развиваться в США во время экономического бума 50−60-х годов XX века, когда начало расти благосостояние американцев. Семьи могли позволить себе строить собственные дома, что дало толчок росту предложения в секторе стройматериалов и товаров для строительства и ремонта. До начала 1960-х годов основу предложения составляли небольшие магазины строительных товаров и базы пиломатериалов. Однако постепенно их стал вытеснять новый формат строительных супермаркетов, а затем и гипермаркетов. Новые центры предлагали огромный выбор при низких ценах. Например, в гипермаркетах лидера того времени, одного из пионеров формата строительных гипермаркетов, компании Hechinger, покупатель, которому был нужен молоток, мог сделать выбор из 62 разных видов молотков. Гипермаркеты быстро вытеснили с рынка небольшие магазины. Строительные гипермаркеты снабжали необходимыми материалами как розничных покупателей, так и строительные фирмы.
Конкуренция в индустрии постоянно двигала игроков в сторону открытия гипермаркетов все большего и большего размера. Например, в 1980-х годах гипермаркеты лидера этой индустрии, Hechinger, имели площадь в 60 000 кв. футов (около 5500 кв. м) и предлагали 40 000 различных SKU (SKU, или Stock Keeping Unit – это единица учета запасов в розничной торговле; например, все запасы «творожка Danone с малиной в упаковке 100 граммов» – это один SKU для магазина; все запасы такого же творожка в такой же упаковке, но с вишней – другой SKU). В 1980-х на рынке появился новый игрок Home Depot, который предлагал концепцию «большой коробки». Магазин такого формата имел площадь более 100 000 кв. футов и предлагал более 50 000 SKU. Кроме того, Home Depot делал ставку на профессиональный персонал. Многие из продавцов ранее были профессиональными плотниками, малярами и столярами, то есть могли дать покупателю профессиональный совет.
Home Depot агрессивно развивал свою сеть, стараясь вытеснить из своего региона всех конкурентов. Стратегически Home Depot старался развивать свои магазины кластерами. Входя в новый регион, Home Depot строил в нем сразу несколько своих магазинов, чтобы «перекрыть» своим присутствием весь регион и затруднить жизнь и вхождение в регион конкурентам. Такая стратегия позволяла вытеснить конкурентов, построить локальный бренд и одновременно снижала транспортные издержки. Постоянный рост размера и жесткая работа с поставщиками позволяли Home Depot получать для своей сети более выгодные по сравнению с конкурентами закупочные цены, а также получать эксклюзивные товары. Пользуясь ценовым преимуществом, Home Depot выдавливал конкурентов со своего рынка. Между 1991 и 1996 годами количество магазинов Home Depot увеличилось с 174 до 512. При этом компания не закрыла ни одного своего магазина. Для сравнения, игрок номер два на этом рынке, Lowe’s, увеличила количество своих магазинов с 309 в 1990 году до 402 в 1996 году.
Общее направление развития индустрии строительных гипермаркетов в 90-х годах можно было описать, как «сильные становятся сильнее, слабые становятся слабее» (см. таблицу).





История Builders Square

В 1984 году Kmart поглотила компанию Home Centers of America, которая владела и управляла девятью строительными гипермаркетами. К концу года Kmart открыла в дополнение к ним еще шесть гипермаркетов и переименовала сеть в Builders Square. Типичный гипермаркет Builders Square занимал площадь в 80 000 кв. футов и предлагал покупателям около 35 000 SKU. Как и другие строительные гипермаркеты, Builders Square предлагал покупателям пиломатериалы, краску, скобяные изделия, трубы, товары для прокладки электропроводки, инструменты и прочие изделия, необходимые для строительства и ремонта. Аналитики описывали Builders Square как скромную замену Home Depot, которую Kmart активно продвигал в тех регионах, где не был представлен Home Depot и Lowe’s. К 1989 году сеть Builders Square состояла из 191 магазина, которые генерировали около $1,8 млрд выручки и $35 млн прибыли.
Однако, по мере экспансии Home Depot и Lowe’s, Builders Square постепенно стала ощущать на себе конкурентное давление. В 1991 году Builders Square была вынуждена закрыть 10 магазинов в Джорджии, Флориде и Калифорнии, где сильно развился Home Depot. Ценовое давление конкурентов привело к тому, что, несмотря на рост продаж, прибыльность Builders Square стала падать (см. таблицу).

Примечание: в 1996 году чистые основные средства составляли $283 млн; в составе оборотного капитала запасы товаров составляли $610 млн, дебиторская задолженность $18,5 млн, кредиторская задолженность – $218 млн. Ставка налога на прибыль для компании составляла 40 %.
Kmart решила переориентировать Builders Square на магазины большего формата (более 100 000 кв. футов), которые условно назывались Builders Square II. К 1995 году компания конвертировала в новый формат 91 магазин, но продажи и прибыльность продолжали падать. Builders Square не хватало выбора, качества обслуживания покупателей, отсутствовала возможность получить экономию масштаба за счет стратегии кластеров. По итогам 1995 года Kmart провела переоценку активов Builders Square и зафиксировала в своей финансовой отчетности убытки от обесценения активов в $370 млн и $390 млн в 1995 и 1996 годах соответственно. В этот же период менеджмент Kmart стал подыскивать покупателя на терпящую бедствие сеть.
Kmart обратилась с предложением приобрести Builders Square к основным конкурентам, включая Home Depot и Lowe’s. Компания получила в ответ несколько серьезных предложений, однако эти предложения касались покупки отдельных магазинов, а не сети в целом. Менеджмент Kmart отверг эти предложения, настаивая на необходимости продать всю сеть целиком, однако потенциальные покупатели не были готовы пойти на сделку на таких условиях. Kmart обратилась к внешним покупателям, но не нашел желающих войти в индустрию, в которой уже присутствовала такая 200-килограммовая горилла, как Home Depot.
В этот момент на горизонте появились Леонард Грин и его инвестиционный фонд Leonard Green and Partners.
Предложение Leonard Green & Partners
LGP предложила объединить Builders Square в единую компанию с Hechinger, который находился примерно в том же положении, что и Builders Square (см. таблицу).

Эта операция позволяла создать третьего по размеру после Home Depot и Lowe’s ретейлера в индустрии продаж товаров для строительства и ремонта в США. Новая сеть объединила бы в себе 279 магазинов в 29 штатах. Выручка объединенной сети составила бы $4,5 млрд. У LGP был опыт реструктуризации проблемных компаний. Самого Леонарда Грина считали ведущим экспертом в области реструктуризации ретейлеров.
Технически LGP предлагала сформировать холдинговую компанию Centers Holdings Inc., в которую LGP обязалась инвестировать $25 млн денежными средствами в обмен на 100 %-ную долю в Centers Holdings. Kmart при этом получала $10 млн денежными средствами и варранты, которые в случае их использования позволяли Kmart получить 30 %-ную долю в объединенной компании. В обмен на $10 млн Kmart вносил в Center Holdings 162 магазина Builders Square. LGP при этом имела право «вернуть» Kmart 25 магазинов, при этом оставив себе денежные средства от ликвидации оборотного капитала этих магазинов.
Отдельно следует сказать об обязательствах Kmart в сделке. Практически все помещения магазинов Builders Square находились в лизинге. Обязательства по лизингу были долгосрочными и твердыми, то есть Builders Square не могла в одностороннем порядке разорвать договоры лизинга (см. выдержку из финансовой отчетности Builders Square в таблице). Все лизинговые платежи были прогарантированы Kmart.

Согласно предложению LGP все обязательства по лизингу передавались Center Holdings. Однако при этом гарантия Kmart по лизинговым платежам продолжала действовать. Иными словами, в случае банкротства и ликвидации Center Holdings все права требования лизингодатели могли обратить на Kmart.
Акционеры Hechinger в обмен на все активы и обязательства компании получали от Center Holdings $128 млн.
На иллюстрации приведены данные по финансовым потокам в предлагаемой сделке:

Возглавить объединенную компанию должен был Энтони Петрильо. В прошлом LGP и Kmart успешно сотрудничали с Петрильо. В 1994 году LGP купила у Kmart одно из ее подразделений – PayLess Drug. Соединив эту сеть аптек с другой сетью аптек Thrifty, LGP привлекла Петрильо в качестве CEO объединенной компании. Петрильо в течение двух лет смог значительно улучшить операционные результаты объединенной сети. В 1996 году LGP продала компанию, получив от этой операции прибыль в $491 млн.
LGP совместно с Петрильо представили Kmart и Hechinger детальный план по выводу объединенной компании из кризиса. Основными пунктами плана были:
• Снижение COGS на 1,5 % за счет укрупнения заказов и, соответственно, улучшения переговорной позиции с поставщиками, а также оптимизации логистики.
• Сокращения персонала.
• Продажи товарных запасов и торгового оборудования в ликвидируемых магазинах.
• Продажа участков земли, находившихся в собственности Hechinger.
• Продажа девяти магазинов Hechinger и двух магазинов Builders Square.
• Продажа здания штаб-квартиры Builders Square.
Продажа активов должна была дать компании около $195 млн в дополнение к $27,3 млн избыточного кэша у Builders Square и $55 млн у Hechinger. Деньги на рефинансирование долгов должны были поступить от возобновляемой кредитной линии, которую намеревалась получить LGP от синдиката банков под залог активов объединенной компании. Ставка по кредиту должна была составить LIBOR+2 % (на тот момент всего 7 % годовых). Для сравнения в таблице приведены данные по процентным ставкам для конкурентов Builders Square:

LGP и Петрильо понимали, что в своем текущем состоянии магазинам Builders Square и Hechinger будет трудно завоевать снова доверие покупателей. Это требовало повышения качества обслуживания клиентов, расширения ассортимента, улучшений в размещении товаров в магазине. LGP предполагала, что процесс вывода объединенной компании из кризиса займет не менее пяти лет (на иллюстрации приведен прогноз финансовых результатов и денежных потоков Center Holdings). Какое решение должна была принять Kmart? Стоило ли отдавать большую сеть всего за $10 млн?

Разбор полетов Kmart
Итак, у Builders Square неприятности. Надо что-то с этим делать. Какие варианты действий есть у Kmart? Основные имеющиеся опции:
• ликвидировать Builders Square;
• продать Builders Square;
• «починить» Builders Square (самостоятельно или с помощью LGP).
Давайте подробнее рассмотрим все эти варианты.
К черту это гиблое дело!
Первый возможный вариант – поднять лапки и сказать: «Home Depot, поздравляю, вы победили!» Что произойдет в этом случае? В этом случае BSQ распродает остатки товарных запасов, расплачивается со всеми, кому должна, и закрывает магазины. Давайте промоделируем последствия этого курса действий для Kmart. Вариант ликвидации предполагает:
• распродажу товаров (считаем, что распродадим по себестоимости без накрутки, то есть выручим 100 % балансовой цифры);
• продажу банкам дебиторской задолженности (дадим дисконт в 20 %);
• распродажу основных средств (зданий, торгового оборудования – предполагаем дисконт в 50 %);
• оплату долгов.
Такой анализ дает нам следующие результаты:

Итак, ликвидация Builders Square дает Kmart $576 млн. Однако мы забыли об одном важнейшем компоненте ситуации Builders Square – лизинговых обязательствах. Хотя большая часть этих обязательств и оформлена в виде операционного лизинга (см. мою первую книгу для более подробного описания учета лизинга), практически все эти договоры Builders Square не может разорвать в одностороннем порядке. После ликвидации Builders Square Kmart будет вынуждена продолжать платить лизингодателям платежи.
Как вообще образовались лизинговые обязательства? Это объясняется спецификой работы ретейла в США. В США обычно каждый занимается своим делом – продавцы продают, строители строят. Каждый зарабатывает свою часть дохода. Когда ретейлер начинает программу расширения, он привлекает к проекту девелопера. Девелопер своими силами организовывает строительство магазина «под ключ». Естественно, девелопер хочет, чтобы ему как-то был гарантирован возврат на его инвестиции. Он не имеет абсолютно никакого желания в один прекрасный день услышать что-нибудь вроде «извини, но мы закрываемся, делай со своим помещением что хочешь». Учитывая, что многие девелоперы строят в основном на заемные деньги (леверидж 70 % и более), это может означать банкротство девелопера. Поэтому он требует от ретейлера долгосрочных гарантий платежей. Долгосрочный арендный договор необходим девелоперу, чтобы получить под этот договор кредит на строительство. В этом случае обычно в долгосрочных договорах либо не предусмотрена возможность его разрыва ретейлером в одностороннем порядке, либо за это предусмотрены существенные штрафы. Аутсорсинг строительства выгоден и ретейлеру – менеджеры могут сосредоточиться на управлении торговым бизнесом, а не тратить свое время и финансовые ресурсы компании на стройку. Это в целом повышает эффективность работы как ретейлера, так и девелопера – каждый занимается своим делом.
Но такая схема таит в себе очевидные риски для ретейлера: если магазин надо закрыть, на тебе по-прежнему «висят» обязательства по арендным платежам. Давайте попробуем посчитать, какую отрицательную стоимость несут в себе эти обязательства. Информация по размеру лизинговых платежей есть в кейсе. Общий размер лизинговых платежей составляет более $2 млрд. Однако это номинальные платежи. Нас интересует их «стоимость» в сегодняшних деньгах, то есть дисконтированная стоимость. Давайте попробуем ее посчитать. Для этого мы будем использовать ставку дисконтирования в 7 % (что примерно соответствует кредитному рейтингу Kmart). Мы также будем считать, что в среднем лизинговые платежи будут длиться 20 лет (магазины относительно новые, а лизинговое соглашение в ретейле обычно заключается на 25 лет). Лизинговые платежи вычитаются из налогооблагаемой базы, поэтому надо не забыть учесть их положительный налоговый эффект для Kmart. Вот что получается (см. иллюстрацию – модель в электронном виде можно скачать на сайте www.gerasim.biz):

Итак, получив от ликвидации Builders Square $576 млн, Kmart потеряет на лизинговых обязательствах $756 млн. Используя принцип APV, мы можем сложить эти два компонента оценки Builders Square. В результате получаем $576 млн – $756 млн = —$180 млн.
Иными словами, общие убытки Kmart от ликвидации Builders Square составят около $180 млн. Здесь, правда, есть один нюанс. Мы забываем, что Kmart может вернуть себе часть денег от лизинга за счет:
• продажи конкурентам части магазинов вместе с лизинговыми обязательствами (такой вариант является очень «живым» для некоторых перспективных магазинов);
• по части помещений лизингодатели смогут самостоятельно найти новых арендаторов;
• часть помещений Kmart сможет сдать в субаренду другим пользователям (пусть даже и со скидкой).
Можно с достаточно большой степенью уверенности сказать, что 50 % лизинговых обязательств в той или иной форме Kmart сможет себе компенсировать. Таким образом, в случае ликвидации Builders Square Kmart получит порядка $576 – $756 / 2 = $198 млн.
Вместе с этим надо понимать, чем этот вариант грозит менеджерам Kmart:
• куча работы, связанной с распродажей товарных запасов и имущества;
• колоссальная головная боль с разбором лизинговых обязательств;
• масса отрицательных эмоций из-за необходимости уволить 23 000 человек;
• в целом серьезное отвлечение внимания менеджеров от ключевого направления работы Kmart, у которого также дела несладки;
• унизительность поражения – не смогли ничего сделать с Home Depot.
В общем, качественные характеристики говорят явно не в пользу этого варианта. Его внутренний рейтинг в головах менеджеров Kmart очень низок.
Продам компанию. Недорого
Второй очевидный вариант для Kmart – попытаться продать Builders Square. Как говорится, с глаз долой, из сердца вон. Давайте попробуем оценить Builders Square с помощью мультипликаторов.
При этом у нас возникнет две проблемы:
• какие компании выбрать для сравнения;
• какие мультипликаторы использовать.
Для сравнения возьмем четырех прямых конкурентов:
• Home Depot;
• Lowe’s;
• Hechinger;
• Payless Cashways.
Давайте посмотрим, какие у нас могут получиться варианты оценки:

Соответственно, применив все эти варианты, мы получим огромный разброс возможных оценок Builders Square:

Диапазон оценок колеблется от $64 млн до $8 млрд. В этом состоит опасность мультипликаторов. Разные мультипликаторы дают вам огромный разброс оценок. Поэтому бездумное использование усредненных показателей мультипликаторов по массе сравнимых компаний не принесет вам пользы. Очевидно, что если мы просто возьмем среднее арифметическое по всем возможным показателям, то получим полную белиберду. В данном случае нам придется обратить большее внимание на выбор мультипликаторов и выбор компаний для сравнения.
В нашей выборке присутствуют два вида компании:
• лидеры индустрии, такие как Home Depot и Lowe’s;
• компании с проблемами, такие как Hechinger и Payless Cashways.
К какому типу относится Builders Square? Давайте посмотрим на динамику основных показателей конкурентов:

Очевидно, что будет неправильно сравнивать Builders Square с лидерами. Рентабельность по EBIT, рентабельность по EBITDA, динамика роста выручки – практически все показатели Home Depot и Lowe’s слишком отличаются от Builders Square в положительную сторону. Инвесторы никогда не будут оценивать Builders Square по тем же показателям мультипликаторов, что и Home Depot. По своим показателям Builders Square сопоставим с Hechinger и Payless Cashways. Именно группу лузеров и надо использовать для получения более верных результатов при использовании мультипликаторов для анализа Builders Square.
Вторым шагом надо посмотреть на мультипликаторы, которые имеет смысл использовать. Сравнивать надо сравнимые вещи. В этом случае нам просто не удастся использовать показатель P/E, так как у лузеров нет прибыли. Количество магазинов и объем торговых площадей также будут плохими мультипликаторами. У компаний разный размер магазинов. У Payless Cashways магазины значительно меньше, чем у Hechinger и Builders Square (32 000 кв. футов). У Hechinger средний размер магазина ближе к Builders Square, но также довольно существенно отличается – 85 000 кв. футов против 113 000 кв. футов у Builders Square. По сути, единственным вменяемым мультипликатором для оценки остается выручка. Исходя из нее, оценка Builders Square составляет порядка $80 млн. Обратите внимание на такую низкую оценку. Что это означает? Это означает, что, по сути, инвесторы оценивают Hechinger и Payless Cashways по стоимости ликвидации, возможно даже ниже. Иными словами, рынок не видит у этих компаний перспектив для выживания в конкуренции с лидерами индустрии.
Итак, потенциально за Builders Square при его продаже Kmart может получить денег даже меньше, чем в случае ликвидации. Но даже при таких цифрах (ниже ликвидационной стоимости) желающих приобрести Builders Square Kmart в течение года не обнаружила.
Остается рассмотреть вариант самостоятельного спасения.
Надо, чтобы работало!
По сути, единственной реальной альтернативой ликвидации является «исправление» Builders Square. Но сделать это самостоятельно не получается. Уже пытались, и не один год. Менеджеры Kmart не верят в возможность возрождения Builders Square за счет собственных усилий. И тут на сцене появляется Леонард Грин – гуру вывода ретейлеров из кризиса. Если уж кто-то и может спасти Builders Square, так это Лео Грин. Он лучший.
Что предлагает Леонард Грин? Давайте посмотрим на структуру сделки.
• За $128 млн выкупается 100 % акций Hechinger. Почему именно столько? Точной информации у нас нет, но можно предполагать, что LGP дает за компанию ее ликвидационную стоимость (скорее даже меньше). Текущая рыночная капитализация Hechinger составляет $99 млн. Из мультипликаторов мы видим, что инвесторы оценивают компании-лузеры по оценке, которая вполне может быть ниже ликвидационной стоимости компании. Так что $128 млн (на 20 % выше текущей рыночной цены) вполне может быть реальной ликвидационной стоимостью Hechinger.
• LGP платит Kmart $10 млн.
• LGP дает Kmart варрант (право) на 30 % акций объединенной компании (Center Holdings).
• Взамен Kmart передает Center Holdings активы Builders Square, но продолжает гарантировать лизинговые обязательства, то есть полностью от них не избавляется.
Что в результате получает Kmart? Давайте попробуем оценить его долю в Center Holdings с помощью метода APV. Мы будем отдельно оценивать PV основных денежных потоков, PV налогового щита и PV лизинговых обязательств Builders Square (уже оценили). При оценке основных денежных потоков предположим, что:
• Амортизация равна капитальным вложениям.
• Терминальную стоимость оцениваем как перпетуитет с ростом в 3 %.
• Ставку дисконтирования (помните, что нам нужен не WACC, а ставка all-equity) вычисляем из бет сравнимых компаний:

• Считаем, что объединенная компания получит кредитный рейтинг на уровне ВВ.
Вот что получается в результате расчета (см. таблицу – модель в электронном виде на сайте www.gerasim.biz).


Итак, если все произойдет так, как предсказывает Leonard Green & Partners, то Kmart полностью избавится от лизинговых обязательств, и фактически сможет получить за Builders Square около $200 млн. Ключевое слово здесь, конечно, «если». Действительно, прогнозы LGP весьма агрессивны.
• Валовая доходность оценивается на уровне 29 %. Цифра, как у Home Depot. Для сравнения, у Lowe’s валовая маржа составляет всего 26 %. При этом у Lowe’s из-за размера будут более выгодные условия закупок, чем у Center Holdings.
• Доходность по EBITDA растет в 2,5 раза – иными словами, коммерческие и административные расходы планируется сократить наполовину. Это весьма оптимистичное предположение.
Что произойдет, если прогнозы не сбудутся? Ведь один больной плюс один больной не обязательно равно одному здоровому. А в принципе ничего страшного не случится. В этом случае придется вернуться к варианту ликвидации. Только заниматься ликвидацией в этом случае будут не менеджеры Kmart, а менеджеры LGP (точнее, Center Holdings).
Решение Kmart
Итак, давайте сравним предлагаемые варианты между собой:

Давайте поставим себя на место CEO Kmart. Что мы имеем на выходе? Покупателей нет, поэтому этот вариант отпадает. Ликвидировать очень не хочется – много мороки и отрицательных эмоций. Продать (точнее, передать) Builders Square Леонарду Грину – это наиболее устраивающий всех вариант. Как максимум в этом случае Kmart получит наибольшую материальную выгоду по сравнению с вариантом ликвидации. Как минимум получит ликвидацию, которую будет «делать» уже LGP, то есть менеджеры Kmart время на это тратить не будут. За это, кстати, Kmart, по сути, и дает LGP дисконт в 70 % пакета (предполагаем, что часть Center, которая относится к Hechinger, будет в этом случае ликвидирована «в ноль»). Выгода со всех сторон. Менеджерам можно сосредоточиться на исправлении ключевого бизнеса Kmart – гипермаркетов. Там ведь в качестве конкурента есть великий и ужасный Wal-Mart. Более высокая оценка сделки по сравнению с ликвидацией тоже очень кстати. Эту оценку может подтвердить независимый инвестиционный банк, после чего ее легко одобрит совет директоров. Таким образом, менеджеры с директорами могут избежать неприятных судебных исков некоторых акционеров, которые могут быть недовольны ценой сделки.
А в чем выгода LGP? LGP не останется внакладе при любом исходе. В оптимистичном варианте LGP получает 70 % стоимости объединенной компании, то есть $516 млн. В случае ликвидации при правильной реструктуризации лизинговых обязательств они получат как минимум 70 % × $198 = $138 млн. И все это на инвестиции меньше $25 млн (вспомните, что $30 млн пойдет на оплату «расходов по проведению сделки»; часть этих расходов – оплата LGP). Как говорится, учитесь делать деньги, дети.
Что же произошло в реальности? Как вы понимаете, Kmart согласился на предложение LGP. К сожалению, стратегия не сработала – новые менеджеры не смогли решить проблемы конкурентоспособности двух сетей. В конечном итоге Hechinger с Builders Square пришлось ликвидировать.
Глава 9
Слияния и поглощения
В этой главе мы с вами поговорим о такой популярной теме финансов, как слияния и поглощения (по-английски – Mergers & Acquisitions, или чаще говорят M&A). Вы узнаете, что это такое, почему одни компании поглощают другие, как это делается, а также почему и как компании защищаются от поглощений. Кроме того, мы рассмотрим российскую специфику слияний и поглощений.
Что такое M&A?
Давайте сразу договоримся, что мы будем иметь в виду, говоря о сделках M&A. Под M&A в рамках этой книги я буду понимать ситуацию, когда одна компания, занимающаяся определенным бизнесом, покупает контрольный пакет акций другой компании в сходной области бизнеса (редко в совершенно другой индустрии). Как альтернатива две компании сливаются в единую, образуя одну компанию, где вроде как планируется создать «союз двух равных» компаний. Технически термин M&A включает в себя также:
• рекапитализации и байауты;
• карвауты и спиноффы.
Но об этих специфических видах сделок мы будем говорить в отдельных главах этой книги.
Зачем покупать другие компании?
Зачем проводить сделки M&A? Зачем одним компаниям покупать другие? Давайте посмотрим на основные причины. Сразу скажу, что обычно причин у поглощения несколько – не обязательно ограничиваться только одной из нижеперечисленных.
Синергия
Волшебное слово «синергия» является чуть ли не синонимом понятия M&A. Простыми словами, синергия означает, что 2 + 2 > 4. То есть при наличии эффекта синергии общая стоимость объединенной компании будет больше, чем сумма текущей стоимости каждой из сливающихся компаний в отдельности.
За счет чего могут образовываться синергии? Причин может быть много. Например:
• Экономия масштаба. Вы что-то производите, у вас есть большой не полностью загруженный завод. У конкурента также есть не полностью загруженный завод. Вы покупаете конкурента, закрываете его завод и полностью загружаете свой. За счет большего объема производства издержки на одну единицу продукции у вас упадут. Ваши общие издержки будут меньше, чем сумма издержек двух заводов до слияния. Соответственно общая прибыль объединенной компании будет выше суммы прибылей двух недозагруженных компаний. Например, так сделал отечественный производитель косметики концерн «Калина» при покупке немецкой компании Dr. Scheller.
• Ликвидация излишних мощностей. В вашей индустрии может существовать избыток производственных мощностей. В индустриях с большими фиксированными издержками это может привести к ценовой войне. Например, построить новый завод очень дорого, но переменные издержки на производство продукции очень малы. Если завод уже построен, вам выгодно снижать цены практически до уровня переменных издержек, поскольку в этом случае вы будете покрывать часть постоянных издержек. Индустрии с такой структурой издержек очень подвержены ценовым войнам. Чтобы не допустить ценовой войны и снижения рентабельности, вы можете купить конкурента, закрыть лишние мощности и избежать ценовой войны. Так, например, часто поступают авиакомпании. Переменные издержки на полет одного пассажира в самолете очень низкие, поэтому если на одном маршруте конкурируют две авиакомпании, рейсы которых недозагружены, между ними обычно начинается ценовая война. В этом случае одна авиакомпания может купить своего конкурента, ликвидировать дублирующийся маршрут, оставить на маршруте только один загруженный самолет и таким образом серьезно увеличить прибыль.
• Экономия управленческих издержек. Объединившись с конкурентом, вы сможете вместо двух бухгалтерий иметь одну, вместо двух департаментов маркетинга иметь один и т. д. После слияния (или поглощения) дублирующиеся подразделения можно сократить.
• Экономия коммерческих расходов. Вы и ваша цель поглощения продаете свою продукцию одним и тем же клиентам. Сейчас одних и тех же клиентов «окучивают» две группы продавцов. Купив другую компанию, вы можете сократить продавцов, у которых дублируются клиенты.
• Снижение стоимости закупок. Мы уже сталкивались с подобной ситуацией в предыдущей главе, говоря об объединении Builders Square и Hechinger. Если вы объединяете две компании, которые покупают одно и то же, вы становитесь более значительным клиентом для дублирующихся поставщиков. Объединенной компании поставщики уделяют больше внимания и дают большие скидки, чем каждой компании по отдельности.
• Экономия R&D. Вы и ваш конкурент работаете над одним и тем же новым продуктом. Тратите деньги на R&D, фактически дублируя работу друг друга. Объединенная компания может ликвидировать дублирующиеся R&D проекты и таким образом сократить издержки, не потеряв технологическое преимущество. Так, например, часто поступают фармацевтические компании, ликвидируя при слияниях группы, работающие над сходными лекарствами.
• Возможность снижения издержек на персонал. Это интересный момент в том случае, если в компании-цели существует сильный профсоюз. Проблема многих традиционных отраслей экономики в США, таких как автомобилестроение или металлургия, состоит в том, что в хорошие годы профсоюзы «выбивают» из менеджеров большие льготы и зарплаты рабочим, но в «плохие» годы отказываются соглашаться на снижение зарплат и ликвидацию льгот. Все это приводит компании к убыткам. Для таких компаний смена собственника может быть единственным способом выживания, так как новый собственник обычно заключает с профсоюзом новый договор с более выгодными для компании условиями.
• И т. д. – наличие операционных синергий – основная декларируемая причина слияний и поглощений.
Финансовые синергии
В реальном мире существует такой эффект, как финансовая синергия. Он означает, что более крупным компаниям занять деньги легче и дешевле, чем более мелким. Таким образом, объединив две компании с рейтингом, например, ВВВ, вы можете получить объединенную компанию с более высоким кредитным рейтингом, то есть BBB + BBB = A.
Налоговые синергии
Если вы объедините прибыльную компанию с убыточной, возможно, вам удастся консолидировать уплату налогов. В этом случае за счет убыточной части компании прибыльная часть сможет платить меньше налогов. Наиболее ярко этот эффект проявляется в случае, если у убыточной компании есть большие накопленные налоговые убытки, которые вы можете зачитывать при расчете налогов текущего периода. В этом случае покупка такой компании может быть оправдана только из-за возможности вычета при консолидации налоговой отчетности из налогооблагаемой прибыли накопленных налоговых убытков.
Диверсификация финансовых результатов
Некоторые компании покупают бизнесы из абсолютно не связанной с ними индустрии с тем, чтобы использовать теорию портфеля – снизить волатильность своих прибылей за счет диверсификации. Например, металлургическая компания поглощает золотодобывающую. В периоды экономических спадов обычно падают цены на сталь, но растут цены на золото, и наоборот. Таким образом, суммарная прибыль компании будет колебаться значительно меньше, чем прибыль этих двух компаний по отдельности. В некоторых случаях такая диверсификация может иметь смысл. Однако в общем и целом считается, что инвесторы не требуют от компании делать то, что они могут сделать сами. Например, инвестор, который хочет диверсифицировать свой портфель, может и сам купить в нужном количестве акции стальной и золотодобывающей компании. Ему не нужно, чтобы за него это делала металлургическая компания.
Неправильная оценка акций рынком
Этот интересный момент может работать в обоих направлениях. Если ваши акции недооценены, то инвестор, который первым это сообразит, может купить вашу компанию, подождать, когда их стоимость вырастет до справедливой цены, а затем продать.
С другой стороны, если ваши акции переоценены, то они будут отличной валютой при приобретении других компаний. Принцип M&A прост – покупай дешево, продавай дорого.
Ожидания рынка
Очень часто в акции молодых компаний заложены огромные ожидания по росту выручки и прибыли. Развивающиеся компании часто не в состоянии воплотить в жизнь эти ожидания путем органического самостоятельного роста. Чтобы оправдать ожидания инвесторов по уровню роста (и, соответственно, поддержать высокий курс своих акций), таким компаниям просто необходимо поглощать конкурентов, таким образом увеличивая свой размер. Это было очень характерно для российских компаний, развивавшихся в таких областях, как розничная торговля и сотовая связь. Стремясь расти как можно быстрее, они, исчерпав возможности органического роста, стали активно скупать менее крупных конкурентов в регионах, подчас не считаясь со стоимостью таких приобретений.
Неэффективность менеджеров
Банальная неэффективность менеджеров может привести к тому, что стоимость акций компании падает. В этом случае инвестор, который считает, что он в состоянии управлять компанией более эффективно, может выкупить ее акции, уволить неэффективных менеджеров и за счет лучшего управления повысить стоимость купленных акций.
Личные амбиции
Это обратная сторона менеджерской неэффективности. Некоторые менеджеры в какой-то момент вместо оптимизации акционерной стоимости начинают «строить империи». Они начинают активно покупать другие компании, и, наращивая размер своего «феодального» владения, как правило, значительно переплачивают за приобретаемые активы. Естественно, такая деятельность не имеет никакого отношения к максимизации стоимости акций, но на практике случается и весьма часто.
M&A как элемент стратегии компании
Многие поглощения осуществляются по стратегическим причинам. Вообще M&A должны рассматриваться при разработке стратегии любой компании. Вот несколько примеров такого использования.
Покупка технологий
Например, у вас есть технологическое отставание от конкурентов. Вы можете разработать новый продукт, но это требует времени. В этом случае вы можете купить компанию, обладающую современным продуктом, чтобы не тратить время на разработку собственного «с нуля». Это очень актуальный момент для многих отечественных компаний, которые в «тучные» годы развития российской экономики обзавелись деньгами, но технологии которых датируются еще временами СССР. Чтобы получить более современный продукт, они покупают иностранные компании. Например, доступ к технологиям и готовым современным продуктам был одной из основных причин покупки «Группой ГАЗ» британской автомобильной компании LDV.
Географическая экспансия
Когда компания старается расширить свое присутствие в мире (или в своей родной стране), ей нужно завоевывать сердца потребителей. Для этого ей нужны торговые представительства, сервисные сети в каждом регионе, где она собирается продавать свою продукцию. В этом случае, если вы хотите войти в новый регион, у вас есть выбор: создавать всю необходимую торговую и сервисную инфраструктуру «с нуля» (что обычно долго) или купить готовую компанию, работающую в этой же области. Например, за счет покупки американских активов многие наши металлургические компании выходили на рынок продажи металла в США.
Ликвидация возможности выдавливания компании из бизнеса
Например, у вас есть поставщик монополист. Если он перекроет вам канал поставки сырья, вы остановитесь и прекратите свое существование как бизнес. В этом случае, возможно, единственным способом для вас выжить будет покупка этого поставщика. В качестве примера можно привести нашумевшую историю остановки завода в Пикалево, где монополист – поставщик сырья (которым владела одна структура) прекратил поставки другому заводу (которым владела другая структура), что привело к остановке завода и экстремальным действиям рабочих.
Вертикальная интеграция
Вертикальная интеграция – это объединение в одну компанию нескольких последовательных звеньев производственной цепочки. Вертикальная интеграция в некоторых случаях позволяет объединенной компании получить большую прибыль по сравнению с работой компаний по отдельности. Приведу жизненный пример. Когда я работал в вертикально интегрированном металлургическом холдинге, в какой-то момент цены на конечную продукцию холдинга (стальные полуфабрикаты) упали, скажем, до уровня в $300 за тонну. На тот момент по рыночным ценам переменные издержки производства тонны стали составляли $320 за тонну. Основные компоненты производства стали – железная руда, железный лом и кокс. Если бы металлургический комбинат работал как отдельная компания, он должен был бы остановить производство, так как цена упала ниже переменных издержек производства продукции. Однако в состав холдинга входили производители кокса и железной руды. При существовавших на тот момент рыночных ценах рентабельность производства кокса была нулевой, но на железной руде валовая маржа была $70 в пересчете на тонну стали. Таким образом, несмотря на отрицательную рентабельность стального передела, в целом по холдингу доход от производства тонны стали составлял $50 на тонну. Если бы все производители существовали отдельно друг от друга, после остановки производства стали остановился бы и производитель железной руды. Учитывая общую маржу по холдингу, производство было продолжено. Вертикальная интеграция позволила оптимизировать маржу в рамках нескольких взаимосвязанных предприятий одной технологической цепочки.
Изменение стратегического фокуса компании
По определенным стратегическим причинам компанию может перестать интересовать какая-то область ее деятельности. Вспомним пример Kmart, который захотел сосредоточиться на ключевой для себя области гипермаркетов и отказаться от специализированного ретейлинга. В некоторых случаях компания, наоборот, хочет войти в новую индустрию. Наиболее логичный способ реализации стратегии в этом случае – купить компанию или, соответственно, продать ненужное подразделение.
Создание более устойчивого к финансовым трудностям гиганта
Чем крупнее компания, тем более социально значимой она является. Социально значимые компании более устойчивы к возможным финансовым проблемам – в трудный момент на помощь придет государство, не желающее сталкиваться с социальным взрывом. Ярким примером является АвтоВАЗ, который государство в силу его размера поддерживает уже долгие годы. В этом случае компании может выгодно слиться с конкурентом, чтобы создать одну большую социально значимую компанию. По-английски такие компании называют too big to fail (слишком большая, чтобы потерпеть поражение).
Механика M&A – как купить компанию
Если вы решили включить M&A в стратегический арсенал своей компании, то вам на этом пути придется пройти несколько стадий. Схематично процесс представлен на рисунке.

Давайте поподробнее поговорим о каждой стадии процесса M&A. В тексте под словом «агрессор» мы будем иметь в виду компанию, которая является инициатором поглощения. Под словом «цель» подразумевается компания, которую хочет купить агрессор.
Поиск цели
Во-первых, прежде чем покупать компанию, ее, безусловно, надо найти. Здесь на практике я видел два пути, по которым идут компании:
• реактивный;
• проактивный.
Самый простой путь – реактивный. Здесь все просто – вы начинаете смотреть на цель, когда к вам поступает предложение о ее продаже или когда вы получаете информацию о будущей продаже. Вы реагируете на появляющиеся возможности.
Второй путь более продвинутый. В этом случае вы сами активно ищете целевую компанию по тем характеристикам, которые вам в ней нужны. В этом случае совершенно не обязательно, что эта компания продается – это уже вопрос переговоров. Обычно в этом случае процесс поиска цели выглядит примерно следующим образом (см. рисунок).

Процесс поиска в этом случае начинается от стратегии. M&A – это всего лишь один из методов реализации стратегии. Например, если у вас в стратегии заложен рост, которого вы не сможете достичь органически (то есть за счет постепенного внутреннего роста компании), вы можете сделать резкий скачок в размере за счет присоединения к себе конкурента. В этом случае M&A для вас – инструмент выполнения стратегии. Надо кого-то купить, весь вопрос лишь в том, кого именно.
В этом случае после принятия стратегии, как я уже говорил в главе «Структура капитала», полезно стратегию превратить в набор проектов, одним из которых в нашем примере должен стать проект «покупка конкурента». Предположим, что такой проект вы организовали, проанализировали возможные альтернативы (например, органический рост, создание совместного предприятия и т. д.) и пришли к выводу, что стратегически единственной опцией для вас остается поглощение.
Следующим шагом вы начинаете сканировать существующих конкурентов. Здесь необходимо проявлять изобретательность в поиске информации. Часто вашими потенциальными целями могут быть частные компании, которые не публикуют отчетность и вообще не дают информацию в открытые источники. По таким компаниям источниками информации могут быть:
• Интернет;
• статьи в средствах массовой информации;
• отраслевые справочники и базы данных;
• сотрудники вашей компании (маркетологи, продавцы);
• ваши торговые партнеры;
• консультанты (можно даже специально нанять их для поиска подходящих целей);
• инвестиционные банкиры (поскольку часто для сопровождения сделки вы будете нанимать инвестиционный банк, банкиры, чувствуя свою прибыль, вполне могут посоветовать вам пару подходящих целей) и т. д.
В процессе поиска у вас появляется набор потенциальных целей. Следующим этапом будет отсев. К моменту принятия стратегии и анализа возможных вариантов ее исполнения у вас уже должно быть представление о требованиях, которые вы будете предъявлять к цели. Это может быть размер, присутствие на определенных рынках, определенная продуктовая линия и т. д. и т. п. Соответственно вам будет полезно сделать табличку со сравнительными критериями, чтобы начать «работать» с наиболее подходящими вариантами. Работу вы начнете с предварительной оценки целей.
Предварительная оценка цели
Прежде чем начинать какие-то активные действия по отношению к цели, вам нужно постараться понять, а сколько это будет стоить. Ваша оценка при этом будет состоять из двух частей:
• сколько стоит компания сама по себе;
• сколько стоит компания для вас, то есть какую дополнительную стоимость вы можете создать за счет определенных синергий.
Основной фактор успешных поглощений: для вас компания должна быть более ценной, чем для своих текущих акционеров. В противном случае вы заплатите за нее справедливую стоимость и ничего не создадите для своих акционеров. Например, ваша компания А сейчас имеет рыночную стоимость 500 млн руб. Вы собираетесь купить компанию Б за 100 млн руб. По вашим расчетам компания Б сама по себе имеет справедливую стоимость 100 млн руб. Дополнительных синергий между компаниями А и Б нет. Если текущая стоимость ваших денежных потоков 500 млн руб., то, добавив к себе компанию Б, вы увеличите свою стоимость на плюс 100 млн руб. Но если при этом вы заплатили за нее 100 млн руб. (то есть получили денежный поток в минус 100 млн руб.), то вы не создали никакой добавленной стоимости для акционеров. После поглощения ваша объединенная компания А + Б по-прежнему будет стоить 500 млн руб.
Метод оценки, как правило, будет зависеть от объема имеющейся о цели информации. Если ваша цель – публичная компания, то у вас будет как минимум ее финансовая отчетность, по которой вы сможете сделать какие-то выводы. Вы можете постараться сделать оценку с использованием DCF. Если компания частная, то вам повезет, если у вас есть хоть какие-то данные. В этом случае вам нужна очень приблизительная цифра, и вас должны будут выручить мультипликаторы.
Работа с целью будет зависеть от типа компании, которую вы выбрали в качестве цели. Я бы выделил три основных типа целей:
• частные компании (контрольный пакет акций находится у одного или нескольких контролирующих акционеров; акции, как правило, не котируются на биржах);
• публичные компании (компании, контрольный пакет которых распылен и находится в руках мелких инвесторов, а акции котируются на бирже);
• компании, которые продаются «с аукциона» (в основном государственные компании, которые приватизируются, или подразделения больших компаний, от которых те открыто избавляются в ходе реструктуризаций и реорганизаций).
Давайте рассмотрим процесс работы с каждым из видов целей отдельно.
Частные компании
В России в силу неразвитости фондового рынка при работе по внутрироссийским проектам M&A вы чаще всего будете встречаться с частными компаниями. При работе с частными компаниями первый вопрос, который вам надо будет рассмотреть: а готовы ли акционеры продать компанию? Если нет, то вопрос о поглощении может не стоять в принципе. Силой заставить их продать свою контролирующую долю вы не сможете (в России случаются исключения, но о них мы поговорим чуть ниже в этой главе). Поэтому первым этапом работы с целью в данном случае будет контакт и переговоры с основными акционерами на предмет их интереса к расставанию с компанией.
В этом случае акционеров будут интересовать предлагаемые цифры. Поскольку информации о целевой компании у вас в этот момент крайне мало, обычно говорить вы будете о стоимости акций по основным мультипликаторам (прибыль, EBITDA) минус стоимость долга. Например, что-нибудь вроде «мы можем говорить о цене в 10 EBITDA за вычетом долга». Это отправная точка для переговоров. Если владельцы согласны обсуждать продажу компании в принципе, в ходе первого раунда переговоров вы обсуждаете тот диапазон показателей мультипликаторов, который вы будете использовать для оценки. Если согласие достигнуто, дальше вы с ними договариваетесь о проведении due diligence.
Due diligence должен дать вам реальную картину работы компании и помочь сделать «полноценную» модель оценки денежных потоков оцениваемой компании и ваших синергий с оцениваемой компанией. Давайте поговорим о нем несколько более подробно, чем в главе «Венчурные фонды, IPO и прочие источники собственного капитала», так как именно этим вам придется заниматься, если вы будете плотно вовлечены в процесс поглощения компании. Обычно due diligence будет делиться на несколько блоков:
• Коммерческий due diligence. Это блок анализа бизнеса в целом, включая его стратегию развития, основные продукты, рынки, на которых работает компания. В этом блоке вас будет интересовать, например:
• рост отрасли и компании за последние 10 лет;
• существенные тенденции отрасли (рождаются ли новые технологии, которые грозят вытеснить ваши продукты);
• стратегия оцениваемой компании и ее основные конкурентные преимущества;
• доля компании на рынке;
• основные конкуренты;
• географическое распределение производства и продаж;
• сезонность спроса и производства, а также общая цикличность бизнеса и т. д.
• Операционный due diligence. В этом блоке вы будете рассматривать основные особенности бизнес-процессов и активов компании, например:
• система поставок сырья: кто основные поставщики, сколько монополистов, каковы взаимоотношения цели с ними, есть ли поставщики, аффилированные с менеджментом или текущими владельцами (вы не хотите после покупки компании получить неприятный сюрприз в виде резкого повышения цены от поставщика-монополиста, владельцем которого являются текущие акционеры);
• кто основные клиенты, насколько компания зависит от ключевых клиентов, какова вероятность того, что при смене собственников, клиенты уйдут (вы не хотите, чтобы после покупки основные клиенты ушли к другим);
• каковы коммерческие расходы, их структура (сколько денег уходит на рекламу и продвижение товара, почему нужно именно столько);
• каковы используемые технологии, оборудование (есть ли все необходимое, что аутсорсят на сторону, каков износ производственных мощностей);
• какова структура вознаграждения сотрудников (рабочих, менеджеров, торговых представителей и т. д. – здесь вас будет интересовать совместимость системы с вознаграждением вашей компании, наличие «золотых парашютов» у менеджеров и т. д.);
• есть ли профсоюз и каковы условия коллективного договора (очень важный момент в странах и отраслях с сильными профсоюзами, например, в автомобильной или металлургической промышленности США) и т. д.
• Юридический due diligence. Здесь вас будут интересовать возможные юридические проблемы компании, например:
• структура собственности, то есть как юридически организована компания, кто является юридическим владельцем основных материальных и нематериальных активов (вы ведь не хотите неожиданно узнать после покупки, что, например, брендом владеет абсолютно независимая компания, аффилированная с текущими акционерами, которая неожиданно выставит вам крупный счет за использование бренда, или что, например, ключевой суперспециальный станок, без которого предприятие не может работать, принадлежит какой-то сторонней компании);
• наличие и срок действия необходимых лицензий;
• имеющиеся или возможные судебные иски (чтобы не получилось, что из-за использования какого-нибудь асбеста вам придется заплатить работникам миллиард долларов);
• состав и содержание учредительных документов (чтобы, например, не получить впоследствии иски миноритарных акционеров, если по уставу поглощение должно одобряться 100 % голосующих акций);
• условия договоров на аренду офисных и производственных помещений, лизинг оборудования;
• условия договоров с основными поставщиками и клиентами (есть ли там какие-то тонкие моменты, например крупные штрафы за нарушение каких-то условий);
• наличие твердых обязательств по договорам, от которых компания не может отказаться (например, договор на поставку оборудования, где предусмотрен 100 %-ный штраф за неоплату) и т. д.
• Финансовый due diligence. Здесь вас интересует финансовое и налоговое состояние компании, например:
• наличие аудиторского заключения по отчетности от компании, которой вы доверяете (если такового нет, вам, возможно, придется кого-то нанять для проведения аудита);
• результаты налоговых проверок и наличие налоговых претензий к компании;
• состояние и структура дебиторской и кредиторской задолженности (сколько всего, сколько просроченной, кто основные должники и кредиторы и т. д.);
• наличие кредитов и условия кредитных договоров, облигаций и т. д. (суммы, сроки возврата, ковенанты);
• выданные компанией гарантии по кредитам сторонним компаниям и физлицам (нередко бывает, что частные компании выдают гарантии по кредитам своих основных акционеров) и т. д.
Как вы видите, due diligence – это серьезная работа. Как правило, к этому процессу вы будете привлекать внешних аудиторов, инвестиционных банкиров, юристов и консультантов. Для проведения due diligence вы будете формировать команду из специалистов различных подразделений вашей компании плюс внешние «помощники». Due diligence обычно длится несколько недель.
Очевидно, что due diligence требует значительных затрат времени и сил со стороны целевой компании. Кроме того, целевая компания предоставляет вам практически всю информацию о себе, которую вы можете использовать против нее в конкурентной борьбе. Поэтому просто так никто вам проводить due diligence давать не будет. В этом случае перед проведением due diligence вы обычно заключаете соглашение, в котором либо гарантируете определенную цену или мультипликатор за компанию, либо гарантируете существенные «отступные», то есть некую сумму денег, которую вы заплатите, если откажетесь от сделки. Надо понимать, что основная работа по оценке делается до due diligence. Реально цену сделки вы определяете на этапе предварительных переговоров. В этом случае в ходе предварительных переговоров вы обычно получаете от компании определенную дозированную часть информации, необходимую вам для проведения лучшей оценки, например, финансовую отчетность. В ходе и после due diligence вы можете только слегка скорректировать цену. Отказ от сделки после due diligence обычно означает, что вы нашли какие-то очень существенные «скелеты в шкафу».
Публичные компании
Если акции компании торгуются на бирже, это дает вам как плюсы, так и минусы. С одной стороны, публичные компании должны раскрывать инвесторам массу информации. Таким образом, у вас будет существенно больше информации о цели для проведения ее оценки. Кроме того, у самой компании уже есть оценка, которую дает рынок, – курс акций. С другой стороны, получить дополнительную информацию о компании (то есть провести реальный due diligence) может быть очень и очень сложно. Здесь все будет зависеть от того, является ли поглощение дружественным или враждебным.
Что такое дружественное поглощение? Этот термин означает, что менеджеры и совет директоров публичной компании согласны на поглощение. В этом случае они обычно предоставляют вам доступ к дополнительной требуемой вами информации. В каком случае более высоки шансы на дружественное поглощение? Очевидно, что шансы выше всего, если вы не собираетесь что-то серьезно менять в целевой компании, прежде всего самих менеджеров (как вариант, в результате поглощения менеджеры получат за свой уход очень серьезные бонусы). В этом случае обычно условия по оставлению старых менеджеров на ключевых постах или условия ухода менеджерской команды прописываются в специальном соглашении между вами и целью. Надо сказать, что более 90 % всех слияний и поглощений в мире рассматриваются как дружественные.
Если же вы собираетесь проводить серьезные изменения, и существующая команда менеджеров явно не будет вашими друзьями, вам, скорее всего, придется остановиться на варианте враждебного поглощения. В этом случае ожидать от менеджеров предоставления дополнительной информации сверх требуемой для раскрытия от публичной компании вам, очевидно, не приходится.
Второй момент, который надо понимать при попытке поглощения публичной компании: вам придется заплатить премию к текущей цене акций. Понятно, что купить контрольный пакет по текущей цене вам вряд ли удастся – зачем акционерам продавать его вам? Если вы предлагаете купить их акции, то они понимают, что, скорее всего, их акции стоят дороже, поэтому чтобы «побудить» их продать вам акции, вам придется предложить акционерам более высокую цену. Как правило, премия при поглощениях составляет не менее 20–30 % к средней рыночной цене за последние несколько месяцев до поглощения.
Третий момент, который надо учитывать, это форма поглощения. Обычно существуют три основные формы получения контроля над компанией:
• через слияние двух компаний в одну (merger). В этом случае цель прекращает свое существование в качестве юридического лица и превращается в единую компанию;
• через покупку акций целевой компании (acquisition). В этом случае целевая компания не прекращает свое существование, но ее контролирующим акционером становится агрессор;
• через покупку активов и обязательств цели (asset deal). Это некое «квазипоглощение». В этом случае вы не покупаете акции. Вы просто покупаете ряд активов и обязательств у целевой компании.
Давайте рассмотрим, как будет выглядеть процесс поглощения при использовании этих трех вариантов.
Слияние
Слияние во многом похоже на сделку по покупке частной компании. Слияние в 100 % случаев – сделка дружественная, то есть менеджмент и совет директоров цели соглашаются на предложение агрессора.
Для реализации слияния вы делаете предложение о слиянии целевой компании. Если это предложение заинтересовало менеджмент цели, то обычно между целью и агрессором заключается ряд соглашений:
• соглашение о конфиденциальности (confidentiality agreement). Поскольку мы говорим о том, что цель – публичная компания, все переговоры о возможном слиянии должны идти в условиях абсолютной конфиденциальности. Просочившиеся в массы слухи о возможном поглощении могут привести к росту курса акций цели в ожидании слияния. Это может развалить сделку;
• соглашение о непринятии шагов по покупке акций (standstill agreement). Это соглашение говорит о том, что на период переговоров о слиянии агрессор не будет предпринимать попыток скупки акций цели или выставлять тендерное предложение на покупку акций цели;
• соглашение о непереманивании менеджеров. Это соглашение говорит о том, что в период переговоров агрессор не будет переманивать в свою компанию или на свою сторону менеджеров цели.
В обмен на эти соглашения цель обычно соглашается дать агрессору доступ к своим финансовым данным, то есть фактически провести due diligence. После завершения due diligence и переговорного процесса компании вырабатывают условия слияния. Эти условия, то есть предложение по слиянию, должны быть одобрены общим собранием акционеров.
В условиях часто оговариваются «отступные». Например, если по каким-то причинам цель решила отклонить предложение агрессора, то она выплачивает агрессору определенную сумму (так называемый termination fee). То же самое касается и агрессора – если после одобрения сделки он от нее откажется, то он будет обязан выплатить компании определенную сумму. Подобная история, например, произошла с НЛМК: российская компания в феврале 2009 года отказалась от покупки американской John Maneely Company и за отказ от сделки была вынуждена заплатить компенсацию в $234 млн.
Обычно если слияние не вызывает возражений со стороны директоров и несет в себе премию для акционеров, то акционеры голосуют «за».
Недостаток процесса слияния состоит в том, что оно занимает очень много времени – от 4 до 6 месяцев и дольше. В этом плане поглощение с помощью тендерного предложения происходит гораздо быстрее.
Поглощения с помощью выкупа акций
Поглощения с помощью выкупа акций происходят гораздо быстрее слияний – их можно осуществить всего за месяц. Для этого не нужны долгие переговоры с менеджерами цели, согласование каких-то условий. Это капитализм в действии – есть товар (акции), есть цена, есть покупатель – кто хочет, может продавать. Но обычно скорость приводит к несогласию менеджеров с вашим предложением, то есть к превращению проекта покупки компании во враждебное поглощение.
Часто разумно такое поглощение проводить в несколько этапов:
• предварительная скупка (toehold);
• тендерное предложение (tender offer);
• обязательная оферта.
Давайте рассмотрим отдельно каждый из них.
Предварительная скупка акций
На этапе предварительной скупки (toehold) вы или скорее инвестиционный банк, который вы наняли, будете понемногу скупать акции компании на открытом рынке. Предварительную скупку делать необязательно. Но коль скоро вы решили немного сэкономить и купить часть акций цели без премии, делать это надо постепенно, чтобы не создать большого изменения объемов торговли акциями компании. Если неожиданно по акциям какой-то компании сильно изменились объемы, то участникам рынка становится понятно, что компанию собираются поглотить. В этом случае часто спекулянты могут начать резко покупать акции этой компании, чтобы продать их вам потом дороже. В результате ваши затраты на поглощение возрастут. Поэтому на первом этапе акции стараются скупать понемногу, чтобы замаскировать свои истинные намерения. За счет предварительной скупки на открытом рынке вы не сможете собрать большой пакет. Дело в том, что во всех странах существуют требования по раскрытию информации о приобретении крупного пакета акций публичной компании. Обычно, если вы приобретаете более 5 % акций компании, вы должны в течение нескольких дней сообщить об этом органам, которые регулируют работу фондового рынка. В этом случае появление нового крупного инвестора не пройдет незамеченным, все поймут ваши планы, курс акций резко вырастет, что сделает дальнейшую «тайную» скупку бессмысленной. Далее вы можете перейти к основному этапу – тендерному предложению.
Тендерное предложение
Когда вы уже раскрыли себя, пора выходить на сцену и стараться купить контрольный пакет компании. Для этого вы объявляете тендерное предложение (по-английски – tender offer или bid) на покупку определенного количества акций. Покупка обычно производится за:
• денежные средства (all-cash tender offers);
• в обмен на акции «агрессора» (all-stock tender offers);
• в обмен на некую смесь акций и денег (mixed offers).
Форма «оплаты» компании – это инструмент управления вашими рисками. Поскольку информации о компании при тендерном предложении у вас меньше, чем после тщательного due diligence, возникает риск, что вы серьезно переплатите за компанию. В этом случае самым рискованным способом покупки являются «денежные» сделки – после покупки акций вы уже не сможете ничего требовать с продавших вам акции акционеров. Оплата части компании своими акциями (или производными формами акций, такими как варранты или опционы) помогает вам разделить с акционерами «цели» риск того, что цель переоценена. Это помогает снизить риск при поглощениях.
В основном при враждебных тендерных предложениях приоритет отдается «денежным» предложениям, при дружественных слияниях оплата уже в большей степени осуществляется акциями (см. рисунки). «Денежные» предложения особенно характерны для российских компаний, которые в период бума M&A в России в 2006–2008 годах в подавляющем большинстве случаев покупали компании «за кэш». Контролирующие акционеры боялись размывания своего пакета. Это, правда, привело к образованию у российских компаний весьма существенных долгов, которые аукнулись с наступлением кризиса осенью 2008 года.

При объявлении тендерного предложения каждый акционер решает за себя – принимать ваше тендерное предложение или нет (обычно предложение имеет определенный срок действия). Условия тендерных предложений достаточно свободные. Вот некоторые примеры.
• Вы можете сказать, что не желаете покупать меньше, чем вам необходимо для получения контрольного пакета акций. Иными словами, если по вашему предложению вам поступило заявок на продажу меньшего количества акций, чем вам нужно для получения контрольного пакета, то вы можете отказаться от приобретения этих акций.
• Вы можете изменить цену покупки в зависимости от того, дает вам оферта контрольный пакет или нет. Это так называемый двухступенчатый бид. В этом случае вы говорите о том, что те акции (в порядке поступления заявок на продажу), которые дают вам контрольный пакет, вы покупаете по одной цене, остальные – по другой, более низкой. Дело в том, что в поглощениях часто встречается такой эффект, как проблема маленького акционера (по-английски – free-rider problem). Акционер, обладающий небольшим количеством акций, думает: зачем мне продавать свои акции по биду? Моя пара акций все равно не сделает погоды. Кроме того, если их покупают по какой-то цене, возможно, они реально стоят дороже. Если так думает большое число небольших акционеров, то поглощение может и не состояться. В этом случае двухступенчатый бид дает вам возможность «простимулировать» мелких акционеров и поторопить их с решением.
• Вы можете менять цену покупки в зависимости от даты, до которой акционер принимает ваше предложение.
• Вы можете «зашить» в тендерное предложение ступенчатые платежи, в зависимости от определенных условий (например, в зависимости от финансовых показателей компании в следующие несколько лет).
В целом тендерное предложение – это просто некое предложение о продаже акций на определенных условиях, которое каждый акционер может принять или отклонить. В некоторых странах установлены требования к тендерным предложениям. В России это пока не развито, но, например, в США к тендерным предложениям предъявляются следующие требования.
• Предложение должно быть действительно не менее 20 рабочих дней (чтобы избежать мгновенно истекающих предложений, которые не дают акционерам времени опомниться и проанализировать ситуацию).
• Если в этот период возникает конкурирующее предложение, то действие первого предложения автоматически продляется еще на 10 рабочих дней.
• В течение минимум 15 рабочих дней после появления предложения акционеры, которые приняли предложение, могут от него отказаться (обычно они отказываются, если появилось более выгодное конкурирующее предложение).
• В случае если количество акций, которое готовы продать акционеры, превышает условия тендера, акции выкупаются у акционеров pro rata.
• В случае приобретения свыше 5 % акций компании инвестор должен не только сообщить об этом, но и описать свои намерения относительно компании, такие как намерение приобрести контрольный пакет.
Обычно тендерные предложения также рассматриваются менеджерами и советом директоров компании, которые дают акционерам свои рекомендации (по поводу того, принимать или не принимать предложение). Обычно директора перестраховываются и стараются получить от независимых консультантов (чаще всего инвестиционных банков) заключения о справедливости предложенных сумм (так называемый fairness opinion), на основе которого и дают рекомендацию. Наличие такого заключения помогает избавить директоров от возможных исков со стороны некоторых акционеров, считающих, что предложенная за акции цена слишком мала. Или, наоборот, если директора рекомендовали акционерам не принимать предложение, они обычно прикрываются заключением, говорящим о том, что предложенная цена недостаточно велика.
Перед выставлением бида подобное же заключение по тем же самым причинам обычно получает и совет директоров (и менеджмент) агрессора. Вообще сделки M&A, связанные с публичными компаниями, в подавляющем большинстве случаев проходят при участии консультантов (обычно юристов и инвестиционных банкиров) как с той, так и с другой стороны.
В любом случае появление тендерного предложения приводит к существенному росту курса акций поглощаемой компании (см. рисунок).

Даже если ваше предложение будет одобрено советом директоров и менеджментом, игра еще не окончена. В нее могут вступить и сторонние игроки, например, другая компания может перебить ваш бид. В этом случае возникает война бидов (см. рисунок).

Победитель в этом случае заранее неизвестен. Ожесточенные схватки могут продолжаться некоторое время, но обычно не больше трех месяцев. В этот период стороны обычно делают несколько конкурирующих предложений, часто «перебивающих ставки» друг друга.
Обычно для скупки контрольного пакета, при отсутствии конкурирующих бидов, достаточно премии к рыночной цене акций в 20−30 %. В случае возникновения войны бидов финальная премия за акции по отношению к их цене до появления первого бида может быть очень значительной. В среднем финальная премия при конкуренции бидов составляет около 50 %.
Обязательная оферта
Законы некоторых стран обязывают инвестора, который приобрел свыше некоторого процента акций компании, сделать оставшимся акционерам обязательное предложение на выкуп у них акций, причем при некоторых условиях эта оферта может стать обязательной для принятия миноритарными акционерами (так называемый сквизаут – squeeze-out). Это делается для того, чтобы акционеру, владеющему практически всеми акциями, не «мешали» миноритарные акционеры. Цена при этом устанавливается согласно определенным правилам.
Например, в России инвестор, который приобрел более 30 % акций ОАО, должен в течение 35 дней выставить прочим акционерам оферту на приобретение оставшихся акций по цене не ниже среднерыночной за последние 6 месяцев (если акции ОАО торгуются на бирже). Если акции ОАО не торгуются, то цену оферты должен определить независимый оценщик. Правда эта оферта добровольная – миноритарные акционеры могут ее и не принять. А вот в случае, если акционер владеет свыше 95 % голосующих акций ОАО, он может объявить обязательную к принятию миноритариями оферту по тем же ценовым условиям.
Здесь, правда, надо сделать небольшое отступление. В России, как обычно, строгость законов компенсируется необязательностью их исполнения. После покупки более 30 % ТГК-2 в 2008 году компания «Корес» нашла интересный способ сэкономить около 15 млрд руб., не исполняя обязательной оферты по высокой докризисной цене. Компания назвала себя иностранным инвестором, найдя на Кипре «сестринскую» Divent Enterprises Ltd, а ТГК-2 – стратегическим предприятием из-за неиспользуемой лицензии на работу с радиоактивными веществами. После этого «Корес» через суд признал сделки по покупке акций по оферте ничтожными, раз их не одобряла правительственная комиссия. Аналогичным образом кипрская Onexim Holdings поступила с миноритариями ТГК-4, чтобы не тратить на выкуп 21 млрд руб. Энергокомпания попала в список стратегических из-за небольшого газопровода в Рязанской области. А «Газпром», получивший контроль над ТГК-1, оферту просто игнорировал. Исков от миноритариев не последовало, а чиновники ФСФР проблему не комментировали.
Законы об обязательных офертах имеются и во многих других странах, например, во Франции, Великобритании и Германии. В США законы о ценных бумагах неоднородны – условия различаются по разным штатам.
Не всегда, правда, российские акционеры хотят выполнять требования закона. Например, в ходе реорганизации РАО «ЕЭС России» группа «Онэксим», принадлежавшая Михаилу Прохорову, в середине 2008 года приобрела контрольный пакет акций ТГК-4. Согласно закону об открытых акционерных обществах «Онэксим» выставил оферту миноритарным акционерам, однако после начала кризиса использовал различные судебные механизмы, чтобы эту оферту не исполнить. Впрочем, о российской специфике M&A мы еще будем говорить чуть дальше в этой главе.
Компании, продаваемые по принципу аукциона
Иногда владелец компании прямо заявляет о том, что хочет продать всю или часть компании стратегическому инвестору. Это может быть результатом:
• личных мотивов контролирующего акционера. Просто надоело, захотелось упаковать деньги, уехать к морю и там выращивать помидоры;
• реорганизации компании. Например, у компании много долгов, чтобы с ними рассчитаться, надо продать часть имеющихся в составе компании бизнесов. Или, например, компания хочет избавиться от убыточного подразделения;
• приватизация. Это одна из наиболее известных причин продажи компании по принципу аукциона в России.
Понятно, что в этих условиях продавец хочет выручить за свою компанию как можно больше денег. В этом случае он может устроить аукцион по продаже компании. Условия аукциона могут различаться, но чаще всего это закрытые биды, то есть каждый участник должен представить свое предложение в запечатанном конверте к определенному сроку. В соответствующий момент все предложения распечатываются и сравниваются. Победитель получает компанию за те деньги, которые он за нее предложил.
Как проходит весь процесс? Сначала текущий владелец дает знать потенциальным участникам конкурса: когда, где и на каких условиях будет проходить конкурс. Желающие принять участие проводят предварительный анализ цели, исходя из общедоступной информации, а также исходя из той информации, которую дал продавец в рамках приглашения к участию. Если у агрессора сохраняется желание пробрести цель и агрессор соответствует критериям конкурса (например, по размеру активов, гарантиям и т. д.), он может подать заявку на участие в конкурсе. Обычно вместе с заявкой участник должен перечислить на специальный счет гарантийный взнос, который возвращается в случае, если претендент не выиграл конкурс.
Затем всем зарегистрированным участникам обычно предоставляется доступ к данным продаваемой компании, то есть возможность провести due diligence. Обычно в этом случае цель заранее организует у себя комнату данных и назначает ответственных для общения с потенциальными инвесторами. Доступ к данным устанавливается на определенный срок.
По завершении изучения данных (проведения due diligence) претенденты должны представить свои «ставки» организаторам аукциона. Далее определяется победитель, которого и поздравляют. Обычно гарантийный депозит зачитывается в счет уплачиваемой за акции суммы. Саму сумму победитель должен внести в течение определенного срока. Если не внесет – депозит останется у организатора конкурса (аналог termination fee).
Закрытие сделки
Закрытие сделки зависит от выбранной вами формы приобретения. Если это слияние, то закрытие означает подписание массы юридических документов о реорганизации, передаче активов, инвентаризации и т. д. и т. п. То же самое происходит и в случае, если вы приобретаете не всю компанию, а только часть ее активов и обязательств. Этот процесс может занять несколько месяцев.
В случае покупки акций все значительно проще – вы всего лишь платите деньги и получаете акции.
Интеграция целевой компании
Как всегда, самый сложный момент в M&A – это реализация запланированных синергий. Мало просто купить компанию, надо получить все те дополнительные деньги, которые вы планировали получить сверх стоимости приобретенной компании «самой по себе». Но это тема не совсем финансовая, так что адресую вас к книгам по стратегии, организационным преобразованиям и операционному менеджменту.
Вместо этого давайте рассмотрим, как работает весь процесс M&A на практике, на примере американской Cooper Industries.
Во время прочтения кейса постарайтесь самостоятельно ответить на следующие вопросы.
? Почему Cooper Industries хочет купить Nicholson File? В чем смысл поглощения для Cooper? А для других претендентов?
? Какова максимальная цена, которую Cooper будет готова заплатить за акции Nicholson при условии стоимости капитала в 12 %, без изменений в оборотном капитале в каждом из следующих вариантов:
? Без изменений маржи и с ростом в 2 %?
? Без изменений маржи и с ростом в 6 %?
? Если изменения в марже приведут к тому, что в 1972 году и далее COGS составит 67 % выручки (рост выручки 2 %)?
? Если кроме улучшения COGS дополнительно коммерческие и административные расходы составят 19 % выручки в 1972 году и далее (рост выручки 2 %)?
? Какова максимальная цена, которую Cooper может заплатить за Nicholson в каждом из сценариев, если запасы товаров и материалов в 1972 году снизятся на 25 % со своего текущего уровня?
? Каковы интересы каждой из групп акционеров Nicholson? При условии возможностей различных вариантов предложений различным группам акционеров, какую цену за акции и форму расчета должна предложить Cooper различным группам акционеров?
? Что вы порекомендуете менеджерам Cooper Industries?
Война за Nicholson File
В мае 1972 года менеджеры Cooper Industries рассматривали возможность участия в борьбе за Nicholson File Company. Эта компания уже несколько лет интересовала Cooper. Пару раз менеджеры Сooper даже проводили с владельцами Nicholson переговоры относительно возможностей слияния, но переговоры заканчивались ничем. Однако в 1972 году ситуация, развивающаяся вокруг Nicholson File, создала для Cooper уникальную возможность все-таки заполучить Nicholson в свое владение.
История Cooper Industries

Cooper Industries появилась на свет в 1919 году в качестве производителя промышленного оборудования. К середине 1950-х годов она стала ведущим производителем компрессоров, которые использовались в нефтегазовой промышленности для извлечения на поверхность нефти, а также для прокачки нефти и газа по трубопроводам. Одной из проблем для компании была значительная волатильность ее выручки и прибылей, объяснявшаяся цикличностью нефтегазовой индустрии (см. финансовую отчетность в таблице).


Чтобы сгладить колебания финансовых результатов, компания решила диверсифицировать свой бизнес. В 1966 году Cooper провела ревизию своей стратегии поглощений. Менеджеры выработали следующие основные критерии для приобретаемых компаний:
• индустрия должна была быть достаточно стабильной. Продукт, который производит цель, не должен быть дорогим, чтобы сгладить эффект снижения спроса при наступлении общеэкономических спадов;
• цель должна была занимать ведущие позиции в своей индустрии.
Первой сделкой в рамках исполнения новой стратегии стало приобретение Lufkin Rule Company, ведущего американского производителя измерительных линеек и рулеток. Lufkin обладала качественной продуктовой линейкой, заводами в США, Канаде и Мексике, а также сетью дистрибуции в 35 000 торговых точек (магазинов товаров для строительства и ремонта). Cooper сохранила во главе компании существующих менеджеров, которые стали формировать для Cooper компанию – производителя ручных инструментов с полным продуктовым рядом. Мысль была в том, чтобы объединить вместе нескольких различных производителей из этой категории продуктов, чтобы снизить затраты за счет использования единой сбытовой сети и единого маркетинга. Роль Cooper в этом случае сводилась к финансированию выполнения этой стратегии.
В рамках реализации стратегии в 1969 году к Lufkin добавилась компания Crescent Niagara Corporation – известный производитель плоскогубцев, клещей и отверток. В 1970 году была приобретена Weller Electric Corporation, ведущий мировой производитель инструментов для пайки и сварки.
Nicholson File также находилась в орбите интересов Cooper. Однако предварительные переговоры с членами семьи Николсон, которые контролировали компанию, показали, что у них нет желания объединить свои усилия с кем-то еще.
История Nicholson File Company
Nicholson File Company была основана в 1864 году Полом Николсоном. За свою более чем вековую историю компания стала одним из лидеров индустрии ручных инструментов и безусловным лидером в двух основных секторах этой индустрии, в которых она работала. Первой основной продуктовой линией были напильники и рашпили, где Nicholson обладала более чем 50 %-ной долей этого рынка в $50 млн. Второй линией продуктов были ручные пилы, где при общем объеме рынка в $200 млн у Nicholson была доля 9 %. Все продукты Nicholson пользовались отличной репутацией из-за своего высокого качества и удобства использования.
К началу 1970-х годов компания стала потенциальной мишенью для поглощения. В последние годы рост выручки и прибыли сильно замедлился. При общем росте индустрии в 6 % рост продаж Nicholson составил всего 2 % в год (см. таблицу). Рентабельность компании составляла всего 30 % от уровня рентабельности конкурентов. Вместе с тем у Nicholson были отличные продукты и хорошая система дистрибуции. Все факторы говорили о том, что у Nicholson есть все необходимое, чтобы показывать результаты как минимум на уровне своих конкурентов.
К 1971 году курс акций Nicholson находился близко к самому низкому уровню за последние 10 лет. Коэффициент P / E компании (порядка 10) значительно отставал от показателей конкурентов (от 14 до 17). Инвесторы, очевидно, оценивали акции по их текущей дивидендной доходности без особой надежды на дальнейший рост компании.


Вместе с тем Nicholson придерживалась консервативной финансовой политики, что давало возможность потенциальным агрессорам получить значительную сумму на покупку компании под залог самой Nicholson. Но самое главное, несмотря на то что семья Николсон контролировала ключевые управленческие посты, общее число акций, которые контролировали Николсоны, было сравнительно небольшим – всего около 20 % от общего числа акций в обращении.
Тучи сгущаются, гроза начинается
Привлекательность Nicholson как объекта для поглощения не осталась незамеченной. Третьего мая 1972 года Томас Эванс, президент H. K. Porter Company – конгломерата с бизнесами в нескольких отраслях, включая электрооборудование, инструменты и цветные металлы, – уведомил менеджеров Nicholson о своем намерении немедленно объявить тендерное предложение на приобретение 437 000 из 584 000 акций Nicholson по $42 за акцию (к этому моменту H. K. Porter Company уже приобрела на открытом рынке 44 000 акций компании). Предложение для акционеров действовало до 4 апреля, срок действия мог быть продлен по желанию H. K. Porter Company. H. K. Porter Company оставляла за собой право отказаться от покупки акций, если по предложению она получала заявки на меньшее число акций, чем ей было необходимо для покупки контрольного пакета.
Менеджмент Nicholson был крайне обеспокоен этой новостью. Объем продаж Nicholson был в 6 раз ниже H.K. Porter, так что после поглощения компания однозначно стала бы лишь одним из операционных подразделений H.K. Porter. Требование повышения прибыльности должно было привести к агрессивным сокращениям издержек и увольнениям. Потеря контроля семьей Николсон была весьма вероятной. Цена предложения в $42 давала акционерам премию в $12 за акцию, что гарантировало серьезный интерес акционеров к предложению Эванса.
Сразу после получения информации о тендерном предложении менеджеры Cooper связались с менеджерами Nicholson. Было очевидно, что Nicholson надо было действовать быстро – первые 10 дней действия тендерного предложения были критическими – надо было убедить акционеров в необходимости сохранить акции и не продавать их H.K. Porter. Для этого менеджерам Nicholson надо было сделать акционерам более привлекательное предложение. Cooper была готова сделать это предложение, но она хотела получить поддержку менеджеров Nicholson.
Время шло, но вестей от менеджеров Nicholson не поступало. Через три дня менеджеры Cooper решили, что риски неудачи слишком велики и сняли свое предложение. В последнее время цена акций Cooper пошла вниз, и существовал риск того, что рассерженный Эванс мог в ответ объявить тендерное предложение уже на покупку Cooper.
К концу марта напряженность ситуации стала возрастать. Менеджеры Nicholson предприняли ряд шагов, чтобы заблокировать рейд Эванса. CEO Nicholson лично встретился с крупнейшими акционерами и выступил с открытым заявлением, призывавшим акционеров не соглашаться на предложение HK Porter. Однако сведения, поступавшие от HK Porter, говорили о том, что компания получила заявки на продажу значительного числа акций. Вопрос Nicholson сводился уже к тому, кому лучше продаться, а не продаваться ли вообще.
Интересы менеджеров Nicholson состояли главным образом в сохранении текущего менеджмента и операционной независимости Nicholson в составе более крупной компании. Nicholson провела переговоры с несколькими потенциальными кандидатами, но конкретных предложений, кроме предложений от Cooper у Nicholson не было. Наконец 3 апреля компания объявила о достижении соглашения о слиянии с компанией VLN Corporation, которая гарантировала менеджерам операционную независимость. VLN была диверсифицированной корпорацией, имеющей бизнесы в издательском деле и оборудовании для автомобильной промышленности. Согласно достигнутым договоренностям предлагалось осуществить слияние путем обмена каждой акции Nicholson на одну привилегированную конвертируемую акцию VLN. По привилегированным акциям должен был выплачиваться ежегодный дивиденд в $1,60 на акцию. В течение первых трех лет одну привилегированную акцию можно было обменять на пять обыкновенных акций VLN, в течение четвертого и пятого года – на четыре акции. Через пять лет VLN имела право погасить акции по цене $50 за акцию. Ликвидационные права привилегированных акций были также установлены в $50 за акцию (см. информацию по VLN в таблице).

В своем письме к акционерам СЕО Nicholson Пол Николсон отметил, что:
• обмен избавит акционеров от необходимости уплаты налогов (в случае продажи акций, акционеры были бы вынуждены заплатить подоходный налог);
• дивиденд в $1,60 на акцию соответствует текущей дивидендной доходности акций Nicholson;
• стоимость привилегированной акции с учетом конвертации по текущему курсу акций VLN составляет $53,10.
Он выразил уверенность в том, что большинство акционеров проголосует за слияние (по законам штата Род-Айленд, в котором была зарегистрирована Nicholson File Company, для принятия предложения о слиянии необходимо было простое большинство голосов акционеров; при этом прочие акционеры должны были подчиниться решению простого большинства). Голосование по вопросу слияния было намечено на осень.
Эванс мгновенно отреагировал на это предложение, отметив, что еще совсем недавно акции VLN стоили $4,5 за акцию, что оценивало общую стоимость пакета чуть больше $20 за акцию. Кроме того, все акционеры, которые конвертировали свои акции в обыкновенные акции VLN, вынуждены были бы резко потерять дивидендную доходность, так как VLN не платила дивидендов по обыкновенным акциям с 1970 года.
В результате у акционеров Nicholson на руках оказалось два очень разных предложения.
Возможность для Cooper?
Cooper Industries не осталась безучастным наблюдателем развивающихся событий. В течение марта компания тихо приобрела на открытом рынке 29 000 акций Nicholson, главным образом, чтобы не допустить их попадания в руки H.K. Porter. Сейчас настало время решить, можно ли было запустить на рынок еще одно конкурирующее предложение.
Дело в том, что, согласно анализу Cooper, у Nicholson в сочетании с существующим инструментальным бизнесом Cooper был большой потенциал. Менеджеры Cooper считали, что усилия менеджеров Nicholson по продаже всех возможных типов своих продуктов на всех возможных рынках снизили эффективность производства. Cooper предполагала, что оптимизация продуктового ряда приведет к сокращению себестоимости производства с 69 до 67 % от выручки. Эти же факторы привели к чрезмерному росту запасов материалов и готовой продукции. По оценкам Cooper, их можно было сократить на 25 %.
Второй возможностью для оптимизации были административные и коммерческие расходы. У Nicholson было очень значительно пересечение по клиентам с существующими продуктовыми линиями Cooper. Ликвидация дублирования усилий продавцов, а также дублирующихся маркетинговых расходов могла позволить сократить коммерческие и административные расходы Nicholson с 22 до 19 % от выручки.
Битва между Porter и VLN дала Cooper неожиданную возможность заполучить Nicholson. К 4 апреля Porter сумел выкупить только 133 000 акций (177 000 вместе с теми 44 000, которыми H.K. Porter владела до объявления тендера). Для успешного поглощения было необходимо 249 000 акций:

Теперь у Тома Эванса на горизонте замаячила вполне безрадостная перспектива получить вместо Nicholson File привилегированные акции VLN. Эванс понимал, что потенциала для роста у акций VLN не существовало – был скорее потенциал падения. Дивидендная доходность в 7 % также была ниже среднерыночной доходности по привилегированным облигациям. Кроме того, акции VLN торговались в очень небольших объемах на альтернативной площадке American Stock Exchange. Низкая ликвидность не позволяла продать за короткое время большой пакет акций.
С этой точки зрения потенциально гораздо лучшей для Эванса альтернативой было слияние Nicholson с Cooper. При наличии привлекательного курса обмена Эванс за свои акции Nicholson мог получить привилегированные или обыкновенные акции Cooper. Акции Cooper торговались на Нью-Йоркской фондовой бирже и обладали значительно лучшей ликвидностью. Эванс ожидал, что после окончания экономической рецессии начала 1970-х курс акций Cooper серьезно вырастет. В конце апреля Эванс встретился с менеджментом Cooper и предварительно согласился поддержать слияние Nicholson с Cooper при условии, что за свои акции он получит не менее $50 за акцию в той или иной форме и при условии организации сделки в форме обмена акций, чтобы избежать необходимости уплаты налогов.
Менеджеры Cooper должны были решить, наступило ли время для решительного шага. Вместе с акциями H.K. Porter им не хватало 86 000 акций для получения большинства голосов по вопросу слияния Cooper с Nicholson. При этом значительная часть акций была сосредоточена среди различных инвесторов, включая и арбитражеров (арбитражеры – такой вид биржевых игроков, покупающих акции компаний, которые могут быть поглощены в надежде заработать на резком росте курса акций после тендерного предложения или в процессе их скупки на рынке агрессором), которые скупили акции в ожидании эскалации бидов за Nicholson.
При положительном решении о слиянии Cooper необходимо было также определить форму покупки акций Nicholson. Покупка не должна была негативно сказаться на EPS объединенной компании, чтобы не подорвать курс акций Cooper (см. прогноз финансовых показателей Cooper без учета Nicholson на иллюстрации). Третьего мая 1972 года курс акций Cooper на закрытие рынка составил $24 за акцию, Nicholson – $44.

Разбор полетов Cooper Industries
Что мы можем сказать о Nicholson File? Это неплохая компания: хороший, качественный продукт, хороший бренд, хорошая сеть дистрибуции. Сколько стоят акции Nicholson? Давайте посчитаем (см. таблицу – модель на www.gerasim.biz).


Примечания к модели:
• при построении модели учитываем, что вместе с продажами будет расти и размер чистых активов (чистый оборотный капитал плюс прочие активы);
• при расчете чистых активов не забываем прибавить 9,2 – разница между FIFO и LIFO – мы должны учитывать запасы товаров по текущей, а не исторической стоимости.
Как вы видите, курс в $30 за акцию перед началом войны вполне справедлив. Столько примерно и должны стоить акции Nicholson.
В чем проблемы Nicholson, которые привели компанию к ситуации, когда она стала удобной мишенью для поглощения? Во-первых, это плохой темп роста. А сколько бы стоили акции Nicholson, если бы рост компании составлял не 2 %, а 6 % как в среднем по индустрии? Давайте посчитаем по той же модели (см. таблицу).

Ой! Что случилось? Курс акций должен упасть до $10 за акцию! Обычно же рост – это хорошо. Не в этом случае, господа! Для Nicholson File в ее текущем состоянии рост съедает акционерную стоимость. Причина в росте чистых активов – неэффективное управление оборотным капиталом приводит к тому, что прирост денежного потока от бизнеса съедается ростом активов. Съедается он за счет:
• низкой рентабельности бизнеса;
• неэффективного размера оборотного капитала.
Чем больше растет низкоэффективный бизнес, тем больше он сам себе создает проблем. Таким образом, низкий рост в текущей ситуации Nicholson – это благо или, скорее, жизненная необходимость.
Что можно сделать с низкой эффективностью? Правильно, повысить ее. Для этого придется заменить менеджмент. Этим-то и заинтересовалась H.K. Porter Company и ее СЕО Томас Эванс. Что может сделать Эванс с Nicholson? Почти то же самое, что собирается сделать Cooper:
• повысить рост;
• повысить рентабельность по валовой прибыли до 67 %;
• снизить размер оборотного капитала на 25 % (точнее на (18 + 9,2) × 25 % = $6,8 млн) за счет ликвидации лишних товарных запасов.
Давайте посмотрим, какова будет стоимость акций Nicholson, если H.K. Porter реализует эти меры (см. таблицу).

Как вы видите, в этом случае стоимость акций Nicholson возрастет до $52 за акцию. Эванс предлагает $42 – вполне нормальная инвестиция. Оптимизация операций Nicholson даст акционерам рост курса с $30 до $52 за акцию! И это при отсутствии дополнительных синергий! При таких внутренних резервах вполне очевидно, почему Nicholson стала мишенью для поглощения. Обратите внимание, как рынок акций работает в качестве «санитара леса»: неэффективные компании исчезают – поглощаются более эффективными.
При оценке ситуации борьбы за компанию, в которой принимают участие несколько претендентов, чтобы оценить свои шансы на победу, важно проанализировать, что каждый из претендентов собирается сделать с компанией. Это поможет вам правильно определить:
• сколько максимально вы и каждый из конкурентов может заплатить за компанию. Соответственно, понимая оценку компании другими претендентами, вы можете правильно разработать свою стратегию биддинга;
• сколько максимально вы сможете стребовать с претендента, который имеет максимальную оценку компании, за принадлежащие вам акции компании.
В данном случае мы видим, что оценка Эванса находится в районе $52 за акцию.
А сколько стоит Nicholson для Cooper? Это зависит от того, что Cooper собирается делать с Nicholson. Делать она собирается то же самое – повышать эффективность. Но у Cooper в запасе есть козырь – синергия с другими компаниями группы. Кроме снижения оборотного капитала и увеличения продаж Cooper также может получить синергию по коммерческим расходам за счет ликвидации дублирующихся затрат на продавцов и маркетинг. Насколько ценна эта синергия? Давайте попробуем посчитать:

Как вы видите, дополнительные синергии позволяют Cooper заплатить за Nicholson на $33 за акцию дороже, чем платит H.K. Porter. Как правило, в войнах за компании побеждает тот, у кого выше оценка компании. В данном случае наиболее вероятным победителем представляется Cooper – для него Nicholson стоит существенно дороже, чем для других претендентов (см. полную оценку в таблице).

Прежде чем приступать к описанию финального раунда борьбы, давайте посмотрим, как развивались события вокруг Nicholson. Итак, в 1967 году H.K. Porter Company покупает 44 000 акций. Это дает ей 7,5 % голосующих акций. Компания становится инсайдером. По законам США, если компания-инсайдер собирается избавляться от своего пакета, она должна зарегистрировать заявку в SEC и подождать 6 месяцев. До этого момента она не сможет продать свои акции, то есть не сможет получить краткосрочную прибыль. Эванс видит неэффективность менеджеров, видит возможности для роста акций и объявляет тендерное предложение. Тендер действителен в течение одного месяца. Такой срок SEC установила специально – это позволяет другим возможным претендентам оценить компанию и, возможно, выставить акционерам более выгодное предложение. Таким образом, обеспечивается возможность для акционеров «цели» получить наиболее выгодную для себя сделку.
Одновременно с этим объявление тендерного предложения вбрасывает цель «в игру» (финансовый жаргон – the company is in play). В этот момент (чаще незадолго до этого момента, когда по рынку еще только ходят слухи) обычно в игру вступают спекулянты, которые ожидают появления на рынке конкурирующих предложений. Спекулянтов, специализирующихся на краткосрочных спекуляциях акциями компаний, которые находятся «в игре», называют арбитражерами (arbitrageurs). По оценкам в кейсе от 50 000 до 100 000 акций Nicholson попали в руки арбитражеров. В данном случае H.K. Porter предложила за акции премию в 40 % к рыночной цене акции ($12 при цене на момент объявления в $30). Это существенная премия, но арбитражеры верят, что будет новый претендент. Об этом говорит текущая рыночная цена – $44 за акцию – на $2 выше предложения Эванса.
Что в это время делает Nicholson? Менеджеры компании лихорадочно пытаются найти выход. При 40 %-ной премии весьма высока вероятность того, что инвесторы продадут достаточное количество акций. Один из вариантов защиты – это так называемая защита «белого рыцаря». Подробнее мы будем говорить о методах защиты от поглощений далее в этой главе. Сейчас ограничимся тем, что «белый рыцарь» – это другая компания, которой хочет продаться цель, чтобы не попасть в «лапы» агрессора. В данном случае белый рыцарь – это VLN. Формально предложение VLN лучше – оценка выше, акционерам не надо платить налоги. Кроме того, VLN пользуется поддержкой менеджеров.
Что в это время делает Cooper? Cooper внимательно наблюдает за ситуацией. Компания купила на рынке 29 000 акций – toehold. Почему именно столько? 29 000 – это 4,95 % от общего числа акций. После достижения 5 % у компании по правилам SEC есть 10 рабочих дней, чтобы открыто сообщить об этом и раскрыть свои дальнейшие планы относительно акций. Пока Cooper не хочет вступать в драку и покупает акций меньше, чем необходимо для обязательного сообщения о факте владения акциями SEC.
Проходит время тендерного предложения. Эванс получает всего 133 000 акций. Рынок по-прежнему верит в то, что будет контрпредложение. Но перед Эвансом маячит реальная перспектива получить неликвидные акции VLN. Проанализируем ситуацию H.K. Porter Company.
• Контроль получить не удается.
• Можно остаться на руках с кучей неликвида, который к тому же сложно будет продать, – H.K. Porter по-прежнему инсайдер и должна ждать 6 месяцев, перед тем как продать акции. К тому же «сдать» рынку такой объем малоликвидных акций VLN проблематично.
Что может сделать Эванс? Несколько возможных вариантов:
• продолжать скупку в надежде получить контрольный пакет;
• согласиться на предложение VLN;
• найти союзника.
Вот тут на сцену и вышла Cooper. Момент истины наступил. Во-первых, оценка Nicholson со стороны Cooper выше. Во-вторых, у Эванса нет серьезных альтернатив союзу с Cooper. К тому же у него просто кончились моральные силы в борьбе. Тут надо задать себе первый вопрос: сколько Cooper может предложить Эвансу за его акции? Мы уже видели, что стоимость Nicholson для Эванса – в районе $52 за акцию. Вот вокруг этой цифры и надо торговаться Cooper. Эванс уже купил акции по $42, он сделает свои деньги при такой цене и будет вполне доволен. С другой стороны союз с Эвансом выгоден и Cooper – с менеджерами Nicholson уже пытались договориться о слиянии, но не получилось. В реальности стороны в конечном итоге сошлись на $48 за акцию. В принципе 13 % ($6 на акцию) – тоже неплохая премия для Эванса за два месяца работы.
Далее, что делать с остальными 86 000 акций, которые надо купить? Здесь Cooper провела «зачистку рынка». Сейчас объясню что это такое. Компания понимает, что на рынке много акций, которыми владеют спекулянты. CFO в этом случае звонит своим инвестиционным банкирам и просит «зачистить рынок» (sweep the market). Мы знаем, что реальная цена акций Nicholson для Cooper зашкаливает за $80, так что в цене можно особо не стесняться. К тому же у Cooper есть две недели на то, чтобы сделать это незаметно: пока еще она не превысила порог владения в 5 % – не надо сообщать SEC. Сообщить придется через 10 дней после начала дополнительной скупки.
В конечном итоге инвестиционный банк выкупил для Cooper на открытом рынке 101 000 акций в среднем по $48 за акцию. В середине июня Cooper уведомила менеджеров Nicholson, что у компании теперь новый владелец. Далее последовала немая сцена в стиле гоголевского «Ревизора».
В итоге история поглощения Nicholson File стала историей успеха – все синергии были реализованы, планы сокращения издержек были даже перевыполнены:

Все это, естественно, отразилось и в цене акций Cooper Industries:

Кто выигрывает от M&A?
Кто выигрывает в результате поглощений и биддинговых войн? Статистика показывает, что слияния и поглощения создают добавленную стоимость: NPV объединенной компании получается больше, чем NPV отдельных компаний (по статистике в среднем на 7 %). Однако вся «соль» заключается в статистических данных о том, кто получает львиную долю создаваемой дополнительной стоимости. Как показывает статистика это акционеры компании-цели. Как мы видим, в «цивилизованных» поглощениях, акционеры компании-цели получают существенную премию к рыночной цене акций до поглощения. Большая часть NPV от синергий уходит им.
Что же касается курса акций агрессора, то, несмотря на активную роль агрессора в транзакции, курс его акций при объявлении о поглощении обычно повышается, но значительно ниже, чем у цели (в среднем на 4 %, если рынок верит в выгодность сделки). Дело в том, что самым сложным моментом является воплощение планируемых синергий в жизнь. По статистике большая часть поглощений в конечном итоге не являются успешными, то есть агрессор не может полностью реализовать запланированные синергии. В этом случае инвесторы как бы берут паузу для лучшей оценки акций агрессора после поглощения. Если агрессор сможет реализовать синергии и покажет запланированные финансовые результаты, курс акций вырастет.
Структурирование предложений о поглощении
Важный момент проведения M&A-сделки – это правильное структурирование своего предложения для цели. Правильно структурированное предложение позволяет ликвидировать разницу между оценкой цели со стороны агрессора и акционеров цели. Форма платежа, в которой выставляется предложение, позволяет правильно распределить риски. Давайте разберем небольшой пример, чтобы понять, как можно структурировать предложение о покупке, и посмотреть, как инвесторы оценивают различные виды предложений о покупке.
Предположим, у нас есть две компании:

Предположим, что синергии от слияния составляют 20 млн руб.
Рассмотрим различные варианты предложений о покупке цели.
• Агрессор предлагает купить 100 % акций цели по 30 руб. за акцию. Что произойдет в этом случае? В этом случае общая премия сверх текущей рыночной стоимости, которую заплатит агрессор, составит (30–25) × 6 = 30 млн руб. При условии, что синергии от слияния составляют всего 20 млн руб., то есть агрессор переплачивает 10 млн руб. сверх имеющихся синергий, курс акций агрессора должен стать (400 – 10) / 10 = 39 руб. за акцию, то есть упасть на 1 руб. (2,5 %).
• Агрессор предлагает за одну акцию цели 10 руб. денежными средствами и 0,5 своих акций. Формально это предложение имеет ту же ценность – 30 руб. за акцию цели. Однако давайте посмотрим на него внимательнее. В результате сделки стоимость объединенной компании составит:

При поглощении будет выпущено 0,5 × 6 млн = 3 млн новых акций цели. Соответственно общее количество акций цели после завершения поглощения составит 10 + 3= 13 млн акций. Курс акций цели станет 510 / 13 = 39,23 руб. за акцию. В этом случае он упадет, но не на 1 руб., как в предыдущем случае, а на 77 коп. За счет структурирования предложения как смеси денежных средств и акций агрессор смог перенести часть рисков того, что он переплачивает за цель, на акционеров цели. Кстати, используя эту же логику расчета, вы можете увидеть, как оценивают синергии поглощения инвесторы. Если после завершения поглощения курс акций агрессора падает, значит инвесторы считают, что синергии от поглощения недостаточно большие, чтобы оправдать уплаченную премию. Если растет – наоборот. Проделав сходный расчет, вы можете легко оценить значение синергий количественно.
Обычно при переговорах между агрессором и целью существуют разногласия относительно оценки стоимости цели. Это нормально – цель хочет продаться как можно дороже. Для того чтобы правильно структурировать предложение, вам надо понять, в чем кроется основа разногласий между агрессором и целью. Для этого часто в переговорах о поглощении, особенно при поглощении частной компании, представители агрессора садятся вместе с представителями цели и вместе начинают обсуждать финансовую модель. При этом обсуждении всплывают все имеющиеся разногласия. Например, основной проблемой может стать ставка дисконтирования или стоимость ключевого ресурса. В этом случае можно структурировать условия сделки таким образом, чтобы ликвидировать эту разницу во мнениях. Например, в 1991 году нефтяная компания Apache проводила переговоры о покупке у другой нефтяной компании – Amoco – одного из ее подразделений. В ходе переговоров стало ясно, что камнем преткновения в оценке является прогнозная цена на нефть в течение нескольких следующих лет. У Amoco был на этот счет более оптимистичный взгляд, чем у Apache. Сделка могла развалиться, но стороны договорились, что сделку проведут по условиям Apache, однако, при этом Apache обязалась компенсировать Amoco разницу в оценке в случае, если фактическая цена на нефть в течение следующих двух лет превысит заложенные в оценку Apache прогнозы. Такая структура дополнительного соглашения позволила ликвидировать разницу в прогнозах относительно ключевых показателей работы компании и позволила провести сделку.
Защита от поглощения
В кейсе Nicholson File мы уже начали говорить о вариантах защиты от поглощения. Давайте обсудим этот вопрос более подробно.
Первый фундаментальный вопрос – а нужно ли вообще защищаться от поглощения? В самом деле, как мы видим, в результате «цивилизованных» поглощений акционеры как агрессора, так и цели получают премию. Сделки M&A помогают «раскрыть» стоимость недооцененных компаний, помогают компаниям избавиться от неэффективных менеджеров. Может быть, вообще не стоит защищаться от поглощений? И это действительно актуальный вопрос. В самом деле, если менеджеры не в состоянии поднять курс акций компании, если внешние инвесторы приходят и за пару месяцев создают для акционеров цели больше денег, чем менеджеры заработали для них за многие годы, стоит ли защищать компании от поглощений? Почему, когда кто-то неожиданно предлагает акционерам за их акции на 40 % больше денег, менеджеры цели неожиданно просыпаются и начинают усиленно вещать, что, оказывается, 40 % роста курса акций – это мало? Что они годами делали до этого? Почему сами не смогли достичь такого уровня курса акций? Это все очень жесткие вопросы, которые акционеры периодически ставят перед менеджерами в основном в судебных исках (особенно в США).
Тем не менее на практике очень многие компании используют различные методы защиты от поглощений. Основное объяснение этому феномену, которое обычно дают менеджеры компании-цели, таково: приемы защиты помогают «вытянуть» из агрессора дополнительную премию для акционеров цели (в основном эти приемы нацелены на то, чтобы сделать недружественное поглощение более затратным для агрессора). Иногда, конечно, менеджеры маскируют желанием максимизировать стоимость акций простой инстинкт самосохранения: желание сохранить свою независимость и рабочие места. Как говорится, ради такой «благородной» цели никаких денег акционеров не жалко.
Первым и наиболее эффективным приемом защиты от поглощения является, безусловно, эффективное управление компанией. В первую очередь объектами недружественных поглощений становятся неэффективные компании. Что нужно сделать эффективному менеджеру, чтобы не провоцировать потенциальных претендентов на тендерное предложение? Примерно следующее.
• Просто быть эффективным. По таким показателям, как рентабельность, рост и т. д., компании надо быть как минимум не хуже конкурентов. Ведите постоянный мониторинг своего положения относительно конкурентов.
• Не быть слишком консервативным в структуре капитала. Часто объектом недружественных поглощений становятся компании с малым левериджем. В этом случае агрессор берет под сделку значительный заем, обеспеченный принципиально активами самой цели. Компанию фактически покупают за ее же деньги.
• Вовремя возвращать деньги акционерам в виде дивидендов или байбэков. Лишний кэш на балансе – это лишние деньги для агрессора, за счет которых он может поглотить компанию.
• Вести открытые отношения с инвесторами. Чем более компания открыта для инвесторов, тем меньше риски для инвесторов, тем выше курс акций, тем ниже риск того, что акции компании будут недооценены рынком.
• Быстро избавляться от убыточных подразделений. Субсидируемые подразделения – распространенный бич больших компаний. У таких компаний есть прибыльные основные подразделения, на которых и концентрируется внимание менеджеров. Относительно небольшие убыточные подразделения иногда оказываются вне зоны внимания топ-менеджеров и живут сами по себе – их тихо субсидируют. Агрессор приходит, покупает компанию, реструктурирует, продает или закрывает убыточные подразделения – курс акций растет иногда на десятки процентов. Не ждите, пока за вас от убыточного подразделения избавится кто-то другой. Делайте все сами и вовремя.
Безусловно, эффективность – элемент защиты номер один. Но на практике встречаются и другие приемы, такие как:
• отравленные пилюли;
• различные классы акций;
• отпугиватели акул;
• выжженная земля;
• защитные поглощения;
• защита пэкмэна;
• белый рыцарь;
• макаронная оборона;
• выкуп акций и гринмейл;
• судебные иски.
Давайте их рассмотрим по порядку.
Отравленные пилюли
Отравленная пилюля (по-английски – poison pill) – это общее название группы методов защиты от поглощений, которые сводятся примерно к следующему: существующим акционерам (кроме агрессора) выдаются специальные права, реализовать которые можно в случае, если происходит специальное событие (например, агрессор приобретает более чем 15 % акций компании). Специальные права дают существующим акционерам возможность бесплатно или по цене, значительно ниже рыночной получить определенное количество акций компании. Поскольку выдача таких прав считается, по сути, дивидендом сделать это можно решением Совета директоров. Таким образом, в случае начала поглощения пакет акций, который приобретет агрессор, будет размыт массой новых акций.
Этот метод защиты изобрел в 1982 году Мартин Липтон, партнер адвокатской конторы Wachtell, Lipton, Rosen, and Katz. В 1982 году известный корпоративный рейдер Бун Пикенс (мы еще встретимся с ним в этой книге) затеял поглощение General American Oil. В ответ на тендерное предложение Пикенса совет директоров General American Oil принял отравленную пилюлю для акционеров, которые владели акциями дольше Пикенса (выдал им по пять новых акций на каждую имеющуюся), размыл долю Пикенса и таким образом смог защититься от поглощения.
Различные классы акций
При использовании этого метода защиты вы создаете несколько различных классов акций, которые имеют разное количество голосов. Например, класс А – одна акция = один голос, класс Б – одна акция = 10 голосов. Таким образом, ключевые акционеры могут контролировать компанию, обладая сравнительно небольшим количеством акций нужного класса.
Такой механизм защиты довольно часто используют «семейные» компании, то есть компании, которые когда-то были частными, вышли на биржу, но семья основателей продолжает их контролировать. Не всегда, правда, это хорошо для акционеров в целом, что подтверждает, например, история с банкротством Adelphia Communications. Adelphia была крупной телекоммуникационной компанией, которую через использование специального класса акций с повышенными правами голоса контролировала семья основателя – Джона Ригаса. Несмотря на то что Adelphia была публичной компанией, используя контроль голосов, члены семьи Ригас фактически превратили ее в свой личный кошелек, финансируя личные проекты за счет денег компании. Закончилось все банкротством Adelphia и тюремными сроками для некоторых Ригасов.
Отпугиватели акул
Отпугиватели акул (shark repellents) – это общее название различных видов поправок в уставе, наличие которых может отпугнуть потенциальных агрессоров. Сюда, например, относятся требования по одобрению слияний более чем 2/3 голосов акционеров или требования по одобрению слияний только акционерами, которые владеют, например, больше чем 10 % акций. В качестве дополнения к двум предыдущим поправкам в устав можно внести положение о том, что эти поправки может ввести в действие своим решением cовет директоров. Как еще один вариант, требование по одобрению снимается, если агрессор предложил всем акционерам за акции одинаковую цену (так называемая fair price amendment). Такая поправка защищает акционеров от ступенчатых предложений с разной ценой приобретения в зависимости от условий предложения (например, разная цена в зависимости от сроков принятия тендерного предложения акционером).
Второй разновидностью отпугивателя акул являются ступенчатые советы директоров. Ступенчатые советы директоров (staggered boards или classified board) – это советы директоров, в которых периодически избираются не сразу все члены совета, а только их часть (условия работы совета директоров будут записаны в вашем уставе). При этом членов совета директоров можно сменить только по их личному желанию или в связи с невозможностью исполнения ими своих обязанностей (вы добавляете такое условие в свой устав). В этом случае, например, ваш совет директоров состоит из 9 членов. Срок работы каждого члена совета – 3 года. Вы разделяете совет директоров на три группы. Каждый год переизбирается только одна из групп. Таким образом, для полной смены состава совета директоров требуется три года. В этом случае даже если агрессор получит большинство акций компании, он не сможет сразу переизбрать совет директоров, то есть фактически не сможет управлять компанией в течение нескольких лет.
Выжженная земля
Защита с помощью тактики «выжженной земли» (scorched earth defense) объединяет в себе действия, направленные на то, чтобы сделать цель максимально непривлекательной для агрессора. Например, в ответ на тендерное предложение агрессора цель продает стороннему инвестору свой самый привлекательный актив. Еще один вариант – цель в ответ на действия агрессора резко увеличивает свой леверидж и выплачивает деньги акционерам, например, в виде рекапитализации и выкупа акций.
Защитные поглощения
В этом случае цель, чтобы предотвратить поглощение, начинает быстро сама поглощать другие компании, чтобы стать слишком дорогой для агрессора. Например, в 2008 году пивной гигант InBev выставил тендерное предложение на поглощение своего крупнейшего конкурента Anheuser-Busch. В ответ Anheuser-Busch быстро купил двух более мелких конкурентов – мексиканскую Grupo Modelo и индийскую Crown International, таким образом быстро набрав слишком крупный размер, для того чтобы InBev смогла завершить поглощение.
Защита пэкмэна
Этот метод защиты (по-английски – Pac-Man defense) получил свое название от классической компьютерной игры «Pac-Man», где главный герой должен убегать от привидений в лабиринте, но если по пути он «поедал» специальную фишку, он неожиданно обретал «силу» и сам мог гоняться за привидениями. Суть метода состоит в том, что в ответ на тендерное предложение агрессора цель сама делает тендерное предложение на поглощение агрессора, превращаясь таким образом из цели в агрессора.
Защита пэкмэна была изобретена в 1982 году, когда Bendix Corporation попыталась поглотить Martin Marietta. В ответ Martin Marietta начала скупку акций Bendix. В результате уже Bendix была вынуждена защищаться и была поглощена Allied Corporation.
Белый рыцарь
Белый рыцарь (white knight defense) – это метод защиты, при котором, чтобы избежать попадания в «лапы» агрессора («черного рыцаря»), цель продается другой компании, к которой у менеджмента более положительное отношение («белому рыцарю»). Такую технику мы видели в ситуации Nicholson File, когда менеджеры Nicholson попытались использовать VLN Corporation в качестве белого рыцаря.
Макаронная оборона
Макаронная оборона (macaroni defense) – это выпуск компанией долговых обязательств, в ковенантах которых содержится условие досрочного возврата кредита или погашения облигаций в случае смены контролирующего акционера компании. Иногда в этом случае закладывается более высокая цена выкупа облигаций, чем в «обычных» условиях. Название «макаронная» эта схема защиты от поглощений получила из-за ассоциаций с макаронами, которые сильно разбухают в воде во время готовки. Так же «разбухают» и долговые обязательства компании при ее поглощении агрессором в случае использования макаронной обороны.
Выкуп акций и гринмейл
Этот метод защиты заключается в том, что компания выкупает свои акции у акционеров по цене, превышающей тендерное предложение агрессора. Более сомнительный вариант применения этого метода получил название гринмейл (greenmail – производное от английского blackmail – шантаж). В этом случае по решению менеджеров и совета директоров компания выкупает акции по высокой цене, но не у всех акционеров, а только у агрессора, таким образом откупаясь от него. Обычно одновременно с этим с агрессором заключается соглашение о том, что он в течение определенного срока обязуется не скупать акции компании (так называемое standstill agreement).
Судебные иски
Этот метод защиты очевиден из названия – чтобы предотвратить поглощение, цель подает на агрессора в суд с требованием признать тендерное предложение недействительным или запретить агрессору скупку акций. Можно также подать на агрессора в суд по любой другой причине, чтобы испортить ему жизнь и заставить отказаться от поглощения. Этот метод защиты особенно популярен в России.
На Западе защита с помощью судебных исков в основном строится вокруг того, что поглощение может тем или иным способом нарушить антимонопольное законодательство.
* * *
Давайте посмотрим, как используются различные приемы обороны от поглощения в реальной жизни на примере компании Richardson-Vicks.
Во время прочтения кейса постарайтесь самостоятельно ответить на следующие вопросы.
? Какие события и факторы привели к атаке на Richardson-Vicks?
? Каковы синергии от слияния Richardson-Vicks с Unilever? А с Procter & Gamble? Что каждый из претендентов собирается сделать с компанией?
? Какова оценка Richardson-Vicks со стороны Unilever? (При оценке можете использовать WACC в 12 % и ставку налога на прибыль – 30 %.)
? Какие возможности и препятствия для поглощения создали особенности устава и структура акционеров Rischardson-Vicks?
? Стоит ли Unilever начинать войну за Richardson-Vicks? Если да, то как необходимо действовать?
Unilever – война за Pantene и Clearasil

В конце июня 1985 года Кеннет Дурам, Франс ван дер Ховен и Майкл Ангус собрались на заседание Специального комитета Unilever (до 1996 года роль СЕО в англо-голландской Unliever играл специальный комитет, состоящий из трех человек; подобную же схему управления использовал и англо-голландский нефтяной гигант Royal Dutch / Shell). Основной вопрос повестки дня касался намерения Unilever объявить тендерное предложение на покупку акций американской компании Richardson-Vicks. Вот уже около девяти месяцев Unilever присматривалась к Richardson-Vicks, но сейчас ситуация начинала требовать решительных действий. Несколько последних месяцев по рынку ходили слухи о том, что Richardson-Vicks может стать объектом недружественного поглощения. Слухи также говорили о том, что Richardson-Vicks практически достигла соглашения о слиянии с одной крупной американской компанией. Надо было действовать быстро.
История Richardson-Vicks
В 1890 году Лансфорд Ричардсон решил, что перспективы его аптеки в городке Сельма в Северной Каролине были слишком туманны, и перевез бизнес и семью в более крупный город Гринсборо в том же штате, где, по его мнению, перспективы бизнеса были более радужными. В Гринсборо Ричардсон и его партнер Джон Фарисс открыли аптеку, где Ричардсон стал продавать некоторые собственные лекарства. Хитом, который и определил дальнейшую судьбу Ричардсона, стал Magic Salve – лекарство от ларингита. Через несколько лет он продал свою аптеку партнеру, а на вырученные средства основал Vick Family Remedies Company, которая и стала впоследствии Richardson-Vicks Inc.
С годами компания росла и к 1985 году достигла объема продаж $1,1 млрд. У компании было два основных направления бизнеса. Большую часть выручки давало подразделение потребительских продуктов. Оно включало в себя производство лекарств, таких как Formula 44, Nyquil, Sinex, VapoRub, а также производство товаров для личной гигиены, таких как шампуни Pantene, Vidal Sassoon, увлажнитель для лица Oil of Olay, очищающий гель Clearasil. Многие из продуктов компании были лидерами в своих продуктовых категориях. Например, Formula 44 занимала 25 % американского рынка сиропов от кашля, Nyquil удерживал 12 % американского рынка лекарств от простуды. В сегменте товаров для личной гигиены самым успешным продуктом был Oil of Olay с продажами по всему миру в $250 млн.
Остаток выручки давали бизнесы по производству диагностических инструментов (через дочернюю компанию J. T. Baker Co.) и товаров для обработки древесины (через Formby’s). Финансовые данные Richardson-Vicks приведены на иллюстрации. Финансовый год компании заканчивается 30 июня.

Компанией управляла семья потомков основателя. Хотя Richardson-Vicks и была публичной компанией, семья Ричардсонов владела в общей сложности 25 % акций. Представители Ричардсонов имели 5 из 17 мест в совете директоров, занимали многие топ-менеджерские посты в компании, председателем совета директоров также был один из Ричардсонов. Отношения между 135 членами семьи Ричардсон были очень близкими. Многие из них жили недалеко друг от друга рядом со штаб-квартирой компании в городе Вилтон, штат Коннектикут, или в Гринсборо, штат Северная Каролина. Ричардсоны регулярно выпускали небольшую семейную газету, где публиковались все новости членов семьи. Каждые два года практически все члены семьи Ричардсон собирались на пикник в Гринсборо, чтобы пообщаться и обсудить семейный бизнес.
Стиль управления Richardson-Vicks отражал необходимость поддержания уровня дохода членов семьи. Компания старалась избегать риска. В последние 5 лет компания существенно изменилась. В 1981 году Richardson-Vicks продала компании Dow Chemical свое подразделение по разработке и производству рецептурных лекарств Merrill National Laboratories. Рецептурные лекарства требовали существенных вложений в исследования и разработки, а также в тестирование продукта. В отличие от них безрецептурные лекарства строились на компонентах, известных в течение многих лет и уже многократно протестированных. Риск разработки и продажи безрецептурных лекарств был значительно ниже риска разработки рецептурных лекарств.
Вместе с Merrill из компании «ушли» и основные мощности по исследованиям и разработкам новых продуктов. Общие затраты на R&D в 1985 году составили $34,2 млн, из которых $14 млн ушло в работы по потребительским продуктам и $19 млн – в лекарства. Кроме того, в результате продажи Merrill остались незадействованными значительные мощности Richardson-Vicks по дистрибуции. Чтобы использовать этот момент, компания приняла стратегию, состоявшую из двух основных элементов.
Во-первых, Richardson-Vicks решила восполнить недостаток R&D за счет покупки новых продуктов, в которых вложения в исследования и разработки по большей части были завершены. Обычно такие продукты уже продавались на местном уровне. Идея Richardson-Vicks была в том, чтобы немного адаптировать эти продукты для продвижения на больших рынках и использовать для их продвижения свою обширную дистрибьюторскую сеть. В рамках воплощения в жизнь этой идеи Richardson-Vicks в 1982 году приобрела три вида шампуней: Vidal Sassoon, Pantene и Keramine. Все эти продукты к 1985 году дали прирост продаж $150 млн. Во-вторых, компания понимала, что защита и расширение позиций ее ведущих продуктов при отсутствии существенных вливаний в R&D требует увеличения затрат на рекламу и продвижение. В результате между 1981 и 1985 годами затраты Richardson-Vicks на рекламу и продвижение продуктов выросли на 32 % (см. таблицу).

Однако новая стратегия не привела к особым успехам. Между 1981 и 1985 годами прибыль упала на 13 %. Новые продукты и усиленная реклама не смогли обеспечить прирост продаж и прибыли. В течение этих четырех лет с учетом инфляции продажи упали. При этом рынок в целом во всех сегментах потребительских продуктов, где присутствовала Richardson-Vicks, показывал в этот период рост в 6–8 % в год.
Неудивительно, что акции компании в этот период не показывали существенного роста. За четыре года курс акций вырос всего на $3 и к концу июня 1985 года составлял $34 за акцию. В то же время биржевой индекс S&P 500 за этот же период вырос на 47 %. По рынку стали ходить упорные слухи о том, что Richardson-Vicks может стать объектом для недружественного поглощения.
Защитные меры
Обеспокоенные возможностью потерять контроль над компанией, топ-менеджеры Richardson-Vicks решили предпринять ряд мер по защите от враждебного поглощения. Осенью 1984 года на суд общего собрания акционеров был представлен и принят акционерами ряд поправок в устав компании. Вот выдержка из некоторых статей устава:

В качестве дополнительной меры защиты менеджеры Richardson-Vicks рассматривали продажу периферийных для ключевого бизнеса компании подразделений: Formby’s и J.T. Baker. Предварительные запросы потенциальных покупателей говорили о том, что в случае продажи компания может получить за Formby’s и J. T. Baker $116 млн.
Unilever и покупка Richardson-Vicks: и хочется, и колется
Unilever была крупнейшей в мире компанией по производству потребительских товаров. В 1985 году ее выручка составила $24,2 млрд. Ближайшим конкурентом Unilever была Procter & Gamble, продажи которой в 1985 году были в 2 раза ниже. Однако в США ситуация была иной: в США Unilever через свое американское подразделение Lever Bros получала 20 % выручки, в то время как Procter & Gamble – 85 % выручки.
Конкуренция между этими компаниями во всех секторах в США была острой. Чтобы увеличить свою долю рынка, Unilever за 1981–1985 годы увеличила свои рекламные расходы в США в два раза. Несмотря на это рыночная доля наиболее важных продуктов Unilever в США упала. Произошло это главным образом по следующим причинам.
• Конкуренты также значительно увеличили свои рекламные бюджеты. Такой высокий спрос на рекламу привел к эскалации цен на рекламное время, которые за 3 года увеличились практически наполовину. В то же время аудитория основных сетевых телеканалов особенно в прайм-тайм стала падать. В результате увеличение расходов не привело к серьезному изменению количества рекламных роликов, которые видел средний потребитель.
• Конкуренты выпустили на рынок ряд новых продуктов, которые «скушали» часть доли рынка у продуктов Unilever.
Видя значительное давление новых продуктов конкурентов и относительную неэффективность рекламы, Unilever решила изменить свою стратегию развития в США и перенаправить часть высвободившихся средств в R&D. Расходы компании на R&D увеличились с $62 млн в 1984 году до $102 млн в 1985-м. В то же время рекламный бюджет был сокращен на $50 млн.
Потенциальное поглощение Richardson-Vicks должно было принести Unilever несколько возможных областей для реализации синергий. Во-первых, дистрибьюторские сети компаний в мире существенно пересекались. По оценкам Unilever, компания могла сэкономить в год до $30 млн за счет сокращения дублирующихся затрат на дистрибуцию.
Использование обширной международной дистрибьюторской сети Unilever для распространения продуктов Richardson-Vicks, а также возможность расширения дистрибуции в США за счет использования сети Richardson-Vicks, должны были привести к росту продаж. Unilever оценивала, что в этом случае рост годовых объемов продаж Richardson-Vicks можно было увеличить с текущих 3 % до 5 % в год.
Потенциальные возможности были и в области ликвидации пересекающихся расходов по R&D, прежде всего в сегменте потребительских товаров. По мнению Unilever, использование ее R&D-базы могло помочь существенно сократить расходы на R&D потребительских товаров Richardson-Vicks, что позволило бы сэкономить до $12 млн в год.
Это позволяло дать существенную премию к текущему курсу акций Richardson-Vicks. Однако первым оставался вопрос характера сделки: делать поглощение дружественным или объявлять тендерное предложение? Конечно, дружественное поглощение было предпочтительным вариантом. Это помогло бы предотвратить возможную продажу ключевых активов Richardson-Vicks, в которых была заинтересована Unilever, таких как Pantene и Vidal Sassoon. Дружественное поглощение позволило бы избежать борьбы с отравленными пилюлями, которые Richardson-Vicks заложила в свой устав.
Однако, с другой стороны, менеджеры Unilever не были уверены в том, что они смогут сделать менеджерам Richardson-Vicks достаточно привлекательное предложение, особенно учитывая тот факт, что больше 80 лет Richardson-Vicks работала в качестве независимой компании, которую контролировала семья Ричардсонов. У Ричардсонов, очевидно, не было желания терять контроль и становиться частью Unilever. В этом случае переговоры о слиянии могли дать Richardson-Vicks время на разработку лучшей стратегии защиты и время на поиск возможного альтернативного покупателя на ее активы.
Кроме того, особенности владения акциями членов семьи Ричардсонов создавали потенциальную дополнительную возможность для враждебного поглощения через тендерное предложение. Дело в том, что большая часть владения акциями членов семьи Ричардсонов была реализована через трасты (доверительное управление). В этом случае акциями управлял не член семьи, а доверительный управляющий. Доверительный управляющий был законодательно обязан максимизировать выгоду для члена семьи, даже если решение управляющего шло вразрез с решением самого члена семьи. В этом случае при наличии достаточной премии к курсу акций (то есть если сумма, предлагаемая за акции, будет существенно выше стоимости Richardson-Vicks как независимой компании) доверительные управляющие были бы обязаны продать акции по тендерному предложению.
Еще одним моментом было возможное появление альтернативных претендентов на Richardson-Vicks. Основным возможным претендентом был ближайший конкурент – Procter & Gamble. Синергии, которые Procter & Gamble могла получить от слияния с Richardson-Vicks, практически совпадали с эффектом для Unilever. У Procter & Gamble, однако, был достаточно большой бизнес по производству и продаже лекарств, который дополнительно совпадал с продуктовыми линиями Richardson-Vicks. За счет этого Procter & Gamble могла дополнительно сэкономить на R&D-расходах в разработке лекарств. Unilever при этом лекарствами не занималась.
У Unilever уже был опыт недружественного поглощения. В конце 1983 года компания завершила поглощение британской чайной компании Brook Bond. Весной 1983 года инвестиционный банк Lazard Freres, нанятый Unilever для анализа возможностей усиления продуктового ряда Unilever, предложил Unilever поглощение Brook Bond. Оно позволило бы Unilever стать мировым лидером по производству чая. К середине июля компания уже проработала план быстрой интеграции Brook Bond в структуру Unilever, а также план продажи непрофильных подразделений Brook Bond по торговле лесом, а также мясоперерабатывающего бизнеса. Начальная стратегия подразумевала покупку на открытом рынке до 5 % акций Brook Bond, затем резкую утреннюю скупку акций, чтобы достичь 15 % и объявление в этот же день тендера на оставшиеся акции Brook Bond.
Четкому исполнению задуманного планам, однако, помешало тендерное предложение на акции Brook Bond, которое выставила британская сахарная компания Tate & Lyle. Unilever неожиданно вмешался в игру своим вечерним бидом 2 сентября 1983 года. CEO Brook Bond узнал о предложении Unilever только из вечерних новостей ВВС. К обеду следующего дня у Unilever уже было около половины всех акций Brook Bond.
Теоретически Unilever могла объявить тендерное предложение на акции Richardson-Vicks уже в середине июля. Это максимизировало бы элемент неожиданности и предотвратило бы возможное слияние Richardson-Vicks с кем-то еще. Однако общее собрание акционеров Richardson-Vicks, на котором можно было бы проголосовать за слияние компании с Unilever, было намечено только на 22 октября.
Триумвирату руководителей Unilever надо было принимать решение.
Разбор полетов Richardson-Vicks
Прежде чем говорить о стратегии поглощения, нам нужно оценить, сколько может стоить Richardson-Vicks для Unilever и сама по себе. Если дополнительная премия к акциям невелика, то игра может и не стоить свеч. Давайте попробуем это сделать (см. таблицу – модель на www.gerasim.biz).

Понятно, что наша модель весьма приблизительна, так что в ее точности есть определенный лаг. Итак, стоимость акций Richardson-Vicks для Unilever составляет порядка $65 за акцию. По сравнению с текущим курсом в $34 за акцию это премия практически в 100 % стоимости. Вполне достаточно для начала войны за контроль.
Действительно, менеджеры Richardson-Vicks потеряли контроль над эффективностью компании. Richardson-Vicks стала вкладываться в рекламу, потеряв способность выпускать на рынок новые продукты. Это привело к потере части рынка и эскалации расходов на рекламу без повышения эффективности рекламы. Как мы уже говорили, возможности поглощения – это мера для ликвидации неэффективных компаний и неэффективных менеджеров.
Кроме того, для такой оценки есть и объективные причины – возможности получения синергий в большой компании. Часто именно по этой причине большие компании поглощают меньшие по размеру, особенно те, у которых нет существенного роста курса акций и результаты которых отстают от средних в индустрии.
Что ж, мы видим, что потенциально война вполне привлекательна. Вопрос лишь в том, как структурировать поглощение. Безусловно, вариант дружественного поглощения предпочтителен. Но поглощения семейных компаний могут быть мирными, если они вызваны неким разладом в семье владельцев. В данном же случае, очевидно, Ричардсоны не спешили расставаться с компанией. К тому же недавнее враждебное поглощение Brook Bond не способствовало бы росту доверия к Unilever со стороны Ричардсонов. В такой ситуации враждебное поглощение выглядит достаточно привлекательно, чтобы забыть о неблагоприятных факторах.
Каковы основные тревожные факторы в потенциальном поглощении? Это прежде всего те отравленные пилюли и отпугиватели акул, которые «зашиты» в устав Richardson-Vicks:

Каковы могут быть возможные варианты развития событий в случае объявление тендерного предложения? Их может быть несколько:
• По тендеру Unilever получает меньше 50 % акций – это поражение, бид не стоит реализовывать. По результатам отказываемся от поглощения.
• По тендеру Unilever получает больше 80 % акций – это победа, голосуем за слияние, получаем необходимый результат. Однако этот вариант требует покупки части акций, принадлежащих семье Ричардсонов.
• По тендеру Unilever получает больше 50 %, но меньше 80 % голосов – это неполная победа. Проголосовать за слияние уже не получится, но можно получить контроль над компанией через совет директоров. В этом случае Unilever придется подождать год с момента первого собрания акционеров – на первом собрании меняем треть директоров на своих, на втором – еще треть. При 2/3 голосов директоров меняем менеджеров.
Итак, первое стратегическое соображение – бид не должен быть ступенчатым, иначе придется собирать 80 % голосов.
Второе стратегическое соображение – время выставления тендерного предложения. Тендерное предложение лучше всего выставлять так, чтобы тендер завершился как раз к проведению собрания (лучше с небольшим запасом на случай конкурирующих тендеров). Напомним, что по правилам SEC тендерное предложение действует не менее 20 рабочих дней (грубо – месяц) плюс еще две недели в случае наличия конкурирующих предложений. Далее, если не получается слить Richardson-Vicks с Unilever, можно в течение года захватить контроль через совет директоров. Поскольку собрание акционеров намечено на 22 октября, идеальным временем для тендера будет эта дата минус 6 недель, то есть примерно 10 сентября. Предварительно надо также постараться скупить часть акций Richardson-Vicks на открытом рынке.
Стратегия определена. Что же произошло в реальности? Давайте смотреть военные хроники.
Первый раунд сражения – тендерное предложение Unilever
Проведя предварительную скупку акций, 9 сентября 1985 года Unilever объявила о тендерном предложении на покупку акций Richardson-Vicks. Вот данные о торгах по акциям Richardson-Vicks за несколько дней до предложения:

Помните, на открытом рынке игроки довольно быстро начинают догадываться о возможном поглощении. Современные технологии упрощают работу арбитражеров – можно автоматически отслеживать возможные аномальные явления в объемах торгов. Так что действовать надо быстро.
В пятницу (16.09.1985) Unilever объявила о новом тендерном предложении. Предложение было двухступенчатым, но не совсем обычным. Unilever предлагала акционерам $56 за акцию в случае, если совет директоров одобряет слияние, и $48 за акцию, если совет директоров голосует против слияния. Зачем это было сделано? Очень просто – чтобы оказать давление на директоров. В этом случае, чтобы задействовать статью 17 устава, то есть вынудить Unilever собирать 80 % голосов, совету директоров пришлось бы голосовать против слияния. Но у директоров есть наложенная на них законом обязанность действовать исключительно в интересах акционеров. Если акционер продает акции, но директора голосуют против, они вполне могут «напороться» на судебные иски от рассерженных акционеров. Очень умный ход. Естественно, условием покупки Unilever поставила приобретение контрольного пакета.
Безусловно, после объявления бида отношения между Unilever и семьей Ричардсонов были полностью разрушены. Особенно этому поспособствовал тот факт, что 78-летний член семьи Ричардсон, который был членом совета директоров Richardson-Vicks 25 лет, умер от сердечного приступа, когда узнал о тендерном предложении Unilever. Стало очевидно, что это будет война до победного конца. Ответ Ричардсонов не заставил себя долго ждать.
Второй раунд сражения – скупка акций Richardson-Vicks
Первым ответом Richardson-Vicks была скупка акций. Проводила ее как компания, так и семья Ричардсон – в течение недели Ричардсоны купили 170 000 акций (всего к этому моменту семья контролировала 7,3 млн из 22,9 млн акций в обращении), компания в целом выкупила 2,6 млн акций, потратив на это более $121 млн – практически все имевшиеся «в загашнике» деньги (excessive cash). В результате в целом стороны, противящиеся поглощению (семья Ричардсон плюс компания, читай, менеджеры, то есть та же семья Ричардсон) контролировали 7,3 + 2,6 = 9,9 млн, то есть 43 % всех акций.
Третий раунд сражения – выпуск привилегированных акций
В качестве дополнительной защитной меры 17 сентября совет директоров Richardson-Vicks утвердил выплату дивиденда в виде привилегированных акций. Согласно решению, каждый владелец пяти обыкновенных акций Richardson-Vicks получал на свои акции одну привилегированную акцию. Привилегированную акцию можно было конвертировать в пять обыкновенных акций специального класса, которые будут обладать пятью правами голоса. Таким образом, владелец пяти обыкновенных акций после конвертации будет обладать 30 правами голоса (25 голосов на одну привилегированную, конвертированную в новые обыкновенные акции плюс 5 голосов его начальных акций, которые он не теряет). Однако при этом в случае продажи привилегированной акции все права голоса по ней теряются. Поскольку, согласно правилам SEC, после объявления тендера Unilever не имела права покупать акции на открытом рынке, она не могла воспользоваться новыми голосами.
Таким образом, в случае реализации плана семья Ричардсон получала большинство голосов в корпорации:

Четвертый раунд сражения – судебный иск
Положение стало критическим. Unilever обратилась в суд, утверждая, что ограничение количества голосов направлено против интересов большинства акционеров. Судья согласился с доводами Unilever и заблокировал выпуск привилегированных акций. Судья посчитал фундаментально неправильным наличие в уставе корпорации положения о том, что совет директоров может выпускать акции с произвольными условиями в ущерб части акционеров.
В этот момент стало ясно, что Ричардсонам не удастся удержать независимость компании. Согласно законодательным требованиям к доверительному управляющему трасты, которые управляли акциями Ричардсонов, должны были продать акции по тендерному предложению, так как предлагаемая сумма была значительно выше фундаментальной стоимости компании.
Единственным вариантом оставался вариант нахождения более приемлемого покупателя.
Пятый раунд сражения – белый рыцарь
23 сентября 1985 года Richardson-Vicks объявила о проведении аукциона на покупку компании. Формально директора при получении тендерного предложения, в тот момент, когда становится ясно, что компания будет продана, должны максимизировать стоимость акций для существующих акционеров. Это можно сделать и в форме аукциона.
Биды должны были приниматься в закрытом виде. Среди участников аукциона оказались Procter & Gamble (предложила $69 за акцию), Colgate ($67 за акцию) и Pfizer ($68 за акцию). Unliever дала $60 за акцию и не стала повышать бид. Война закончилась победой Procter & Gamble, что в принципе было справедливо, так как у Procter & Gamble теоретически были наибольшие синергии с Richardson-Vicks. Procter & Gamble выступила для Richardson-Vicks в качестве белого рыцаря. Интересно, насколько близки были финальные биды участников. Вы уже понимаете, что финансы – это не очень точная наука. Допустим, если в нашей модели мы чуть-чуть изменим ее основные предположения, цена акций для Unilever может сильно измениться. Например, если мы повысим прогноз роста продаж всего на один процент (с 5 до 6 %), то оценка повысится на $10 за акцию! Почему же так близки финальные биды участников аукциона? Дело в том, что обычно все участники сделок M&A для помощи нанимают инвестиционных банкиров. Например, в этой истории Unilever помогали Lazard, Freres & Company и The First Boston Corporation. Инвестиционные банкиры общаются между собой. Хотя формально они ни в коем случае не должны делиться информацией о сделках друг с другом, с другой стороны, они точно не хотят узнать при подведении итогов такого аукциона, что они выиграли, потому что предложили цену на 40 % выше ближайшего конкурента. Поэтому, хотя они никогда точно не разгласят друг другу биды своих клиентов, иногда перед подачей таких заявок на аукцион инвестиционные банкиры нескольких участвующих сторон собираются вместе на «дружеский» ужин. И там время от времени могут дать друг другу намеки о примерном диапазоне «обсуждаемых» цен, сказать что-нибудь вроде: «Знаешь, мне кажется, что справедливая стоимость компании может находиться где-нибудь в районе 70». Так это происходит в реальном мире. Надо сказать, что здесь сложно говорить о том, насколько такая практика находится в интересах клиентов инвестбанков. Формально, конечно, можно сказать, что это неприемлемо, так как разглашает определенную информацию. С другой стороны, есть известный факт – победители аукционов в среднем переплачивают за приобретаемые активы. Это называется «проклятьем победителя» (winners curse – более подробную информацию об этом эффекте можно найти в экономической литературе). В этом случае такой «ужин банкиров» позволяет предотвратить потенциальную переплату очень значительных сумм. В конечном итоге ведь победителем все равно будет тот, у кого выше оценка компании (то есть теоретически, у кого лучше синергии).
Второй момент, на который хочу обратить внимание, – правильность действий Unilever. Компания не стала переплачивать за Richardson-Vicks. Их максимальная оценка была $60 за акцию, они не стали делать ставки выше этой оценки. Это часто встречающаяся ошибка – в запале борьбы переоценить компанию и заплатить значительно дороже, чем она реально для вас стоит. Ведь M&A, особенно недружественные поглощения, – это во многом большая азартная игра. Чтобы зря не потратить деньги акционеров, нужно соблюдать дисциплину и заранее, перед началом борьбы решать, сколько максимально вы готовы заплатить. Ведь так просто немного скорректировать финансовую модель и получить уже значительно более высокую оценку акций. В самом деле, повысили прогноз роста продаж всего на 1 % – и наша оценка акций уже не $60, а $70 за акцию – можно и перебить Procter & Gamble. Только потом так сложно будет достигать этих синергий!
Кто занимается M&A в компании?
Поговорив о том, как делать M&A, нужно рассказать и о том, кто этим занимается внутри компании. Ответ на этот вопрос зависит от количества M&A-сделок, которое «переваривает» компания в год. Если это меньше 2–3 компаний в год, то обычно сделками занимаются сотрудники инвестиционного департамента или департамента стратегии. Если больше 2–3 сделок, тогда имеет смысл создать специальный департамент слияний и поглощений. Обычно этот департамент располагается в дирекции по стратегии (если такая дирекция существует в качестве отдельного структурного подразделения) или в составе финансовой дирекции (см. рисунок).

В любом случае, как уже говорилось, в ходе работы по M&A вам придется использовать помощь внешних участников – инвестиционных банкиров, аудиторов, консультантов.
M&A по-русски
Как водится, у M&A в России есть своя специфика. Во-первых, практически все внутрироссийские M&A – это либо покупки частных компаний, либо приватизации. Наш фондовый рынок находится в совершенно зачаточном состоянии. Практически нет компаний с free float (количеством акций в свободном обращении) больше 50 %, что делает бессмысленным выставление тендерных предложений с целью приобретения контрольного пакета.
Во-вторых, в силу специфики развития российской законодательной и судебной системы, а также в силу распространения коррупции, M&A в России часто приобретают вид, сильно отличающийся от традиционного понимания M&A-сделки как покупки акций. В начале XXI века M&A в России очень часто проводились путем использования несовершенства акционерного законодательства и судебной системы России. Иногда встречались и откровенно криминальные схемы, вроде подделки документов или подкупа судей. Вот некоторые примеры распространенных в прошлом схем «M&A по-русски».
• Судебный запрет голосования акциями мажоритарному акционеру под надуманным предлогом. После этого проводится собрание акционеров, на котором менеджмент и директора меняются на «ручных» путем голосования обладателя миноритарного пакета (заказчика всей схемы), размывается контрольный пакет мажоритарного акционера, основные активы продаются другой компании.
• Подделка подписей в распорядительных документах о передаче права владения акциями. Документы направляются регистратору, который в соответствии с полученными распоряжениями переводит права владения акциями на новых людей. После этого «новые люди» быстро продают акции по заниженной цене «добросовестному приобретателю» (организатору схемы).
• Злоупотребление правами со стороны менеджеров – продажа акций или активов третьим лицам, так как у генерального директора просто есть доверенность на совершение таких операций. В России пока очень тяжело доказать злоупотребления со стороны менеджеров.
• Откровенные угрозы, возбуждение уголовных дел в отношении владельцев компании-цели с помощью подкупа сотрудников органов внутренних дел. Далее под давлением собственники цели продают агрессору свои акции по заниженной цене и т. д. и т. п.
Тех, кто хочет более подробно ознакомиться с процессом «M&A по-русски», отсылаю к прекрасной книге «Слияния и поглощения – российский опыт» Александра Молотникова. Нет смысла повторять здесь все, что уже изложено хорошим языком и с массой примеров.
Уверен, что со временем с развитием российского капитализма мы постепенно будем приходить к цивилизованным методам ведения бизнеса и ведения сделок M&A. Цивилизованный метод я и описал в этой главе.
Заключение
Что ж, дорогие читатели, если вы дошли до этих строк – мои искренние поздравления. Книга получилась немаленькой по объему, но, надеюсь, знания, которые вы получили, не заставят вас пожалеть о потраченном времени.
В этой книге я постарался дать вам все знания, которые нужны финансовому менеджеру и будущему (или настоящему) CFO. В своей следующей книге я постараюсь осветить вопросы, которые интересуют операционного менеджера, управляющего бизнесом компании. В частности, вы узнаете:
• Что такое операционная стратегия?
• Как выявлять проблемы в производстве и ликвидировать их?
• Как оптимизировать бизнес-процессы?
• Каким образом можно построить эффективную организационную структуру компании?
• Каким образом лучше всего мотивировать работников?
И многое, многое другое…
Не забывайте мой сайт http://www.gerasim.biz. Там постоянно будут появляться новости и обновления.
Удачи! До связи.
Об ADE Professional Solutions
Компания ADE Professional Solutions с 2004 года оказывает консультационные услуги предприятиям в России и за рубежом. Мы помогаем нашим клиентам решать бизнес-проблемы в следующих областях:
• Подготовка отчетности по МСФО, включая помощь в прохождении аудита «Большой четверки».
• Аудит отчетности по РСБУ и МСФО.
• Проведение due diligence.
• Подготовка и проведение IPO.
• Повышение эффективности производства за счет выявления, оценки и внедрения мероприятий по сокращению затрат и поднятию производительности.
• Создание эффективных систем внутреннего контроля.
• Создание эффективных организационных структур и систем внутреннего управления компаний.
• Создание эффективных систем оценки и мотивации персонала.
• Создание эффективных бизнес-процессов.
Специалисты компании ADE Professional Solutions имеют значительный опыт работы на руководящих должностях в крупных российских и международных компаниях «реального сектора», а также в компаниях «Большой четверки». Наши сотрудники либо имеют степени АССА / CFE, либо находятся в процессе их получения.
Система обучения и управления персоналом подтверждена статусом ACCA Platinum Approved Employer.
У нас есть опыт работы с компаниями различных отраслей в нескольких странах мира (Россия, Казахстан, Румыния, Китай, Великобритания, Нидерланды). Среди наших клиентов такие известные компании, как «Русгидро», «Атомредметзолото», «Роснано», «Интегра», Vimetco, «Тривон», «Ого», «Автоваз» и многие другие.
Подробнее с нами вы можете познакомиться на веб-сайте http://www.ade-solutions.com или связавшись с нами по телефону +7 (495) 984-75-90.